Find Your Style
Women
Men
Accessories
Search for clothing, brands, styles...
×
Women
Men
Accessories
Coefficient Balance
Search
Loading...
No suggestions found
2024 06 10 13 37 23 - bba - ACCOUNT STATEMENT Closing Balance - INR ...
studocu.com
BCCI is now worth INR 14,489.80 crore
sportskeeda.com
Bang For The Buck: Best Everyday Watches Under INR 2 Lakh
ethoswatches.com
INR Full Form: What Is The Full Form Of INR?
samco.in
Amazfit Balance Review: The Complete Smartwatch In India At INR 14,999?
msn.com
Amazfit Balance Review: A Complete Smartwatch at INR 14,999
mensxp.com
Amazfit Balance Review: A Complete Smartwatch at INR 14,999
mensxp.com
Stake India Minimum Deposit in INR and Crypto (2025)
bettingguide.com
Watch Video | Best mobile phones under INR 15000 in July 2022 - TechGig
content.techgig.com
Stake Bonuses in India 2026: Get up to 100,000 INR
sportscafe.in
INR 5000 Steam Wallet Code Only (Code Only-Smart Delivery) [video game ...
amazon.in
(d) let v be the vector space of all polynomials in x with coefficients ...
scoop.eduncle.com
Mettler Toledo MA204 Analytical Balance, MA Series, 220g x 0.1mg with ...
coleparmer.in
STAR Housing Finance Limited, a rural focused home finance company ...
aninews.in
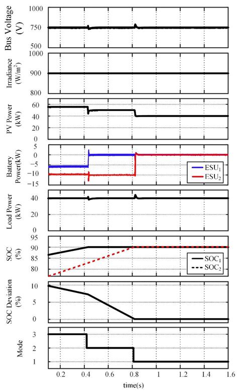
SOC Balancing and Coordinated Control Based on Adaptive Droop ...
mdpi.com
Balance the equation C2H6 O2. -> H2O CO2 heat and light? - EduRev Class ...
edurev.in
SOC Balancing and Coordinated Control Based on Adaptive Droop ...
mdpi.com
SOC Balancing and Coordinated Control Based on Adaptive Droop ...
mdpi.com
SOC Balancing and Coordinated Control Based on Adaptive Droop ...
mdpi.com
SOC Balancing and Coordinated Control Based on Adaptive Droop ...
mdpi.com
SOC Balancing and Coordinated Control Based on Adaptive Droop ...
mdpi.com
When the equation Fe+Cl2→FeCl3 is balanced, what is the coefficient for ...
brainly.in
SOC Balancing and Coordinated Control Based on Adaptive Droop ...
mdpi.com
Modeling and Optimization of Assembly Line Balancing Type 2 and E (SLBP ...
mdpi.com
SOC Balancing and Coordinated Control Based on Adaptive Droop ...
mdpi.com
Nutrient Management :: An Introduction
agritech.tnau.ac.in
Trial Balance
vedcrm.vedantsoft.in
SOC Balancing and Coordinated Control Based on Adaptive Droop ...
mdpi.com
Schedule III Additional Requirements – Checklist with Referencer
taxguru.in
Balance the following in acid solution: VO2^+ + Cu(s) -> VO^2+ + Cu^2 ...
brainly.in
SOC Balancing and Coordinated Control Based on Adaptive Droop ...
mdpi.com
A solid cylinder of mass `m` is kept in balance on a fixed incline of ...
allen.in
SOC Balancing and Coordinated Control Based on Adaptive Droop ...
mdpi.com
Rate Equation from Flow vs Conversion Data of PFR
msubbu.in
Multi-Objective Optimization of Low Reynolds Number Airfoil Using ...
mdpi.com
Identify the correct coefficients to balance the equation NH3+CuO—> Cu ...
brainly.in
Stopping Distance Formula: Definition And Examples
pw.live
When the equation Fe+Cl2→FeCl3 is balanced, what is the coefficient for ...
brainly.in
What are the coefficients needed to balance the chemical equation below ...
brainly.in
Determine the balanced chemical equation for this reaction. C8H18(g)+O2 ...
ask.learncbse.in
SOC Balancing and Coordinated Control Based on Adaptive Droop ...
mdpi.com
iOS: Cash / Bank Balance :: Biz Analyst Docs
docs.bizanalyst.in
Arbitrage Funds – Meaning, Basics, Things to Consider and More
cleartax.in
Gini Coefficient, Definition, Formula, Importance, Calculation
studyiq.com
Rupee climbs to 5-week high on US dollar inflows: Report - Hindustan Times
hindustantimes.com
Find the mean deviation and coefficient of mean deviation - CBSE Class ...
ask.learncbse.in
A solid uniform cylinder of mass m=6 kg and radius r=0.1 m is kept in ...
tardigrade.in
Properties of Fourier Series - Parseval's Power Theorem
ece.poriyaan.in
Vacation Getaway Essentials That Are Having A Moment This Season ...
grazia.co.in
Debt ratio: calculation - India Dictionary
1investing.in
Login and Play Casino Slot CricketX in India
cricket-x.org
Balancing chemical equation of photosynthesis by coefficients - Brainly.in
brainly.in
SBI BANK CODE SBCHQ-GEN-PUB-IND-INR MEANING.SBI DIFFERENT TYPES OF ...
digitalhelper.in
Balance the equation with the correct coefficients. C2H2 + O2 --CO2 ...
brainly.in
On a Generalization of the Jensen–Shannon Divergence and the Jensen ...
mdpi.com
When the equation Fe+Cl2→FeCl3 is balanced, what is the coefficient for ...
brainly.in
18. Anil, and Sunil were partners in a Firm. Their Balance Sheet as on ...
brainly.in
Understanding Risk & Return
barodabnpparibasmf.in
iOS: Cash / Bank Balance :: Biz Analyst Docs
docs.bizanalyst.in
International Trade Settlement in Indian Rupees (INR)
taxguru.in
Sixth Grade Solving Single Variable Equations Word Problems
twinkl.co.in
What coefficient is needed for fluorine to balance the following ...
brainly.in
Buy Roma Balance Woven Cushion Cover - 40x40cm from Home Centre at just ...
homecentre.in
1) ___ NaNO3 + ___ PbO →___ Pb(NO3)2 + ___ Na2O 2) ___ AgI + ___ Fe2 ...
brainly.in
For balancing the given chemical equation, if the coefficient of CxHy ...
brainly.in
Buy Mettler Toledo Scales & Balances Online | Ubuy India
ubuy.co.in
(ii) In a two-digit number, the sum of the digits is 9. If the digits ...
brainly.in
write any 25 chemical reactions and it's balanced chemical equations ...
brainly.in
Channel Your Inner Olympian With The Chicest Lineup Of Sporty Styles ...
grazia.co.in
Channel Your Inner Olympian With The Chicest Lineup Of Sporty Styles ...
grazia.co.in
Distillation - Mass Transfer - GATE Questions - with Solutions at ...
msubbu.in
Buy Adora Balance Set of 40 Vanilla and Lilly Incense Sticks from Home ...
homecentre.in
Balance the equation: (Include 1's for coefficients - Brainly.in
brainly.in
Buy Adora Spa Balance Vanilla and Lily Scented Tin Candle from Home ...
homecentre.in
How to balance sodium + water = sodium hydroxide +hydrogen - Brainly.in
brainly.in
Buy Adriana Adora Balance Vanilla and Lily Fragrance Sachet - 20g from ...
homecentre.in
Buy Sharon Balance Embroidered Cushion Cover - 40x40cm from Home Centre ...
homecentre.in
Balancing Pagoda Lights– LandscapeStudio
landscapestudio.in
Buy Adora Balance Glass Vanilla and Lilly Reed Diffuser Set from Home ...
homecentre.in
Based on the chemical equation, use the drop-down menu to choose the ...
brainly.in
Determine the balanced chemical equation for this reaction. C8H18(g)+O2 ...
ask.learncbse.in
Compaction Factor Test | Civil Engineering Materials | Workability of ...
civildailyinfo.com
Buy Roma Balance Woven Cushion Cover - 40x40cm from Home Centre at just ...
homecentre.in
Karur Vysya Basic Savings - Zero Balance
myrupaya.in
CORPORATE ORDERS & GIFT HAMPERS
sageorganik.com
Buy Adora Balance Set of 40 Vanilla and Lilly Incense Sticks from Home ...
homecentre.in
Payment
copas.cidcoindia.com
Buy Adriana Adora Balance Vanilla and Lily Fragrance Sachet - 20g from ...
homecentre.in
Buy Eternity Vogue Polyresin Human Balancing on Cube Figurine from Home ...
homecentre.in
Buy Eternity Vogue Polyresin Human Balancing on Cube Figurine from Home ...
homecentre.in
Buy Mettler Toledo Scales & Balances Online | Ubuy India
ubuy.co.in
Sex Ratio in India 2024: Men and Women Population State Wise
adda247.com
To balance the following chemical equation, the values of the ...
brainly.in
Vacation Getaway Essentials That Are Having A Moment This Season ...
grazia.co.in
helpBIOTECH
helpbiotech.co.in
Buy Adora Balance Vanilla and Lilly Fragrance Oil - 30ml from Home ...
homecentre.in
Based on the chemical equation, use the drop-down menu to choose the ...
brainly.in
Wind Turbine Technology - energypedia
energypedia.info
Buy Adora Spa Balance Vanilla and Lily Home Spray - 100ml from Home ...
homecentre.in
Lined and Unlined Canals - Irrigation Engineering - Civil Engineering ...
edurev.in
Channel Your Inner Olympian With The Chicest Lineup Of Sporty Styles ...
grazia.co.in
Buy Eternity Vogue Polyresin Human Balancing on Cube Figurine from Home ...
homecentre.in
Vacation Getaway Essentials That Are Having A Moment This Season ...
grazia.co.in
Buy Adora Balance Set of 40 Vanilla and Lilly Incense Sticks from Home ...
homecentre.in
Buy Adora Balance Vanilla and Lilly Scented Jar Candle from Home Centre ...
homecentre.in
Modeling and Optimization of Assembly Line Balancing Type 2 and E (SLBP ...
mdpi.com
Use Kirchhoff's rules to obtain conditions for the balance condition in ...
ask.learncbse.in
Party Dressing 101: All of 2023’s party dressing rules you need to know ...
grazia.co.in
Buy Eternity Vogue Polyresin Human Balancing on Cube Figurine from Home ...
homecentre.in
Buy Adora Balance Glass Vanilla and Lilly Reed Diffuser Set from Home ...
homecentre.in
3. (a) From the following balances on 31st March, 2021 prepare a Trial ...
brainly.in
Buy Mettler Toledo Products Online in India at Best Prices
ubuy.co.in
Buy Eternity Vogue Polyresin Human Balancing on Cube Figurine from Home ...
homecentre.in
SBI BANK CODE SBCHQ-GEN-PUB-IND-INR MEANING.SBI DIFFERENT TYPES OF ...
digitalhelper.in
India's Renewable Energy, Fossil Fuel & Power Subsidies 2020
ceew.in
. Ram & Rahim partners sharing profits and losses in the ratio of their ...
brainly.in
Vacation Getaway Essentials That Are Having A Moment This Season ...
grazia.co.in
Axis Bank Net Banking: Registration, Login ,Transaction & How to Check ...
cleartax.in
Party Dressing 101: All of 2023’s party dressing rules you need to know ...
grazia.co.in
Sanju and Manju were partners in a firm sharing profits and losses in ...
brainly.in
Related Searches
Balance the Following Equation
Balancing Coefficients in Chemical Equations
H20 Chemical Equation
Coefficient Chemical Equation
Balanced Equation Rules
CH4 O2 CO2 H2O Balance
Fractional Coefficients Chemical Equations
How to Balance Equations
Chemical Reaction Coefficient
Coefficient Definition Chemistry
An Example of a Chemical Equation
What Are Coefficients in Chemistry
Balance This Equation
Fe2S3
Unbalanced Chemical Equation Examples
Balancing Formulas
Where Is the Coefficient Located
Identify the Coefficients in the Reaction
Atoms in a Balanced Equation
Cao Chemical
Cao Chemical Formula
Cofficientes
Coefficents Chem
How to Find Coefficients Chemistry
Balance Chemistry Equation with Whole Number Coefficients
CA OH 2HBr
Sum of Coefficients of a Balanced Equation
Fill in the Missing Coefficients in the Integral
How to Balance Coefficients in Chemical Bonds
Coefficients to Balance the Equation for Water
What Does the Coefficient in Chemistry Mean
Where Do Coefficients Go in Material Balance Equations
How Do Coefficients Work in Chemical Equations
15 Coefficient in Balanced Equation
Balance the Given Equations by Inserting the Appropriate Coefficients
Equation Balancer
Balance Equations Addition
Balance These Chemical Equations by Adding the Proper Coefficiants
Formation of Cao Equation
Chemical Equation for Combustion
Balance Each Equation by Inserting Coefficients as Needed
Balance the Equation by Inserting Coefficients as Neede
Do Coefficient Carry in Chemistry
Balance the Chemical Equation CO2 Co
What Do the Coefficients in a Balanced Equation Tell Us
CaCl Chemical Equation
Chemical Formalawith Coefficient and Subspricts
Do Coefficients Affect Each Element in Chemical Equations
What Is the Ratio of the Coefficients
Where to Add New Coeficient Toi Balance Equation
Search
×
Search
Loading...
No suggestions found