Find Your Style
Women
Men
Accessories
Search for clothing, brands, styles...
×
Women
Men
Accessories
Colitis Colon In Loop
Search
Loading...
No suggestions found
SAR TO INR TODAY AND FORECAST
dollarrupee.in
Buy Essence Chennile Loop Bathmat from Home Centre at just INR 399.0
homecentre.in
Buy Essence Chennile Loop Bathmat from Home Centre at just INR 399.0
homecentre.in
Buy Chennile Loop Bath Mat from Home Centre at just INR 399.0
homecentre.in
Jacqueline Fernandez moves SC to quash INR 200 Crore Money Laundering ...
lawbeat.in
Buy Essence Chennile Loop Bathmat from Home Centre at just INR 500.0
homecentre.in
Buy Essence Chennile Loop Bathmat from Home Centre at just INR 500.0
homecentre.in
mPokket Disbursed INR 3500 Cr in 2022 Expects To Disburse INR 7000 Cr ...
smestreet.in
Buy Essence Chennile Loop Bathmat from Home Centre at just INR 500.0
homecentre.in
Buy Essence Chennile Loop Bathmat from Home Centre at just INR 500.0
homecentre.in
Rising Incidence of Inflammatory Bowel Disease (IBD): A Cause for ...
iasgyan.in
In children with IBD, IV iron effectively treats iron-deficiency anemia
speciality.medicaldialogues.in
Inflammatory Bowel Disease Treatments and Predictive Biomarkers of ...
mdpi.com
Colonic Fluid and Electrolyte Transport 2022: An Update
mdpi.com
Ulcerative Colitis: Types, Symptoms, Causes, Treatment
medicoverhospitals.in
Inflammatory Bowel Disease Treatments and Predictive Biomarkers of ...
mdpi.com
التهاب القولون التقرحي: أنواعه وأعراضه وأسبابه وعلاجه
medicoverhospitals.in
Ulcerative Colitis | Best Gastro Surgeon Ahmedabad, Best ...
obesitydoctor.in
Ulcerative Colitis: Symptoms, Causes, Treatment, and Prevention
jrsh.co.in
Chronic Ulcerative Colitis | Padmavathi Gastro and Liver Hospital in ...
padmavathigastro.com
Inflammatory Bowel Diseases | Encyclopedia MDPI
encyclopedia.pub
Th17 Cells and the IL-23/IL-17 Axis in the Pathogenesis of ...
mdpi.com
Cepharanthine Alleviates DSS-Induced Ulcerative Colitis via Regulating ...
mdpi.com
Colon cancer treatment: surgery | Colectomy | Dr. Nikhil Agrawal
drnikhilagrawal.com
Barium enema showing loss of haustrations in left colon - Brainly.in
brainly.in
ATP as a Pathophysiologic Mediator of Bacteria-Host Crosstalk in the ...
mdpi.com
Pouchitis: What It Is and How to Prevent It
everydayhealth.com
Ulcerative Colitis: Taming the Inflammation Storm – Hempbuti
hempbuti.in
Treatment of ulcerative colitis is possible in Ayurveda: Dr. Harish ...
medicallyspeaking.in
Buy Colitis: A Practical Approach to Colon and Ileum Biopsy ...
amazon.in
Celiac Disease: Symptoms, Causes, Treatment & Diagnosis
medicoverhospitals.in
Ulcerative Colitis Treatment Deoria 8860455545 - Lucknow - Click.in
click.in
Anti-TNF therapy with surgery effectively heals perianal fistulas in ...
medicaldialogues.in
What Is Crohn’s Disease? Symptoms, Causes, Diagnosis, Treatment, and ...
everydayhealth.com
Crohn's disease : आंतें गलाने वाली इस बीमारी के होने से पहले शरीर देता ...
lokmatnews.in
Ulcerative Colitis: Signs and symptoms, causes, types, and treatment ...
timesnownews.com
Where Do We Stand in the Behavioral Pathogenesis of Inflammatory Bowel ...
mdpi.com
Bloating Is Common In People With Ulcerative Colitis: Expert Explains ...
onlymyhealth.com
Colitis ulcerosa: causas, síntomas, diagnóstico y tratamiento
medicoverhospitals.in
Small Bowel Obstruction Vs Large Bowel Obstruction
openmed.co.in
IBD (Ulcerative Colitis and Crohn’s Disease) Treatment Market Analysis ...
teletype.in
Study finds reason, cure for cancer in immunotherapy-induced colitis ...
ibtimes.co.in
Acute Mesenteric Ischemia - Types and management
openmed.co.in
Crohn’s Disease: Symptoms, Causes, and Risk Factors
bloodtestsathome.in
CYSTITIS
drvaidji.com
Crohn's Disease | Crohn's Disease Treatment | Crohn's Disease Treatment ...
brahmhomeo.com
Crohn’s Disease - Signs (Mnemonic)
openmed.co.in
Best Vegetables to Include in an Ulcerative Colitis Diet
everydayhealth.com
Roles of Epigenetics in Cardiac Fibroblast Activation and Fibrosis
mdpi.com
Colitis : Cause, Symptoms and Prevention in Hindi | कोलाइटिस के कारण ...
onlymyhealth.com
Colitis : Cause, Symptoms and Prevention in Hindi | कोलाइटिस के कारण ...
onlymyhealth.com
JnJ Tremfya gets USFDA approval for subcutaneous induction in adults ...
medicaldialogues.in
Evaluation of Simplified Geboes Score in Ulcerative Colitis
jmsh.ac.in
Worrying Rise of Colon Cancer in India: What's Causing It and What You ...
health.medicaldialogues.in
USMSTF Guidelines for follow-Up after Colonoscopy and Polypectomy in ...
medicaldialogues.in
Appendectomy Significantly Reduces Relapse in Ulcerative Colitis ...
medicaldialogues.in
Surgery for Colon Cancer | Decoding GI-HPB Oncology
gioncology.in
Turmeric pill scientifically formulated for oral use for ulcerative ...
speciality.medicaldialogues.in
Detection of Q129H Immune Escape Mutation in Apparently Healthy ...
mdpi.com
5-ASA Discontinuation Associated with Higher Relapse Risk in Ulcerative ...
medicaldialogues.in
Eli Lilly Omvoh secures USFDA approval as single-injection maintenance ...
medicaldialogues.in
Loop
geeken.in
Top Ulcerative Colitis Doctor Ahmedabad – Expert Gastro Care at SN Gastro
sngastro.in
Dieta Fodmap: tratamiento del colon irritable, colitis, colon tortuoso ...
amazon.in
Anti-Cancer and Medicinal Potentials of Moringa Isothiocyanate
mdpi.com
Acute abdomen as a presentation of congenital morgagni hernia ...
pediatriconcall.com
Muscle Spasms: Causes, Symptoms & Treatment
truemeds.in
Biocon in collaboration with Equillium begins Itolizumab clinical study ...
medicaldialogues.in
Forza10 Active Colon Support Diet Phase 1 Dry Dog Food, Helps Dogs with ...
desertcart.in
Eli Lilly Omvoh gets USFDA okay for Ulcerative Colitis in adults
medicaldialogues.in
Saffron Promising in Reducing the Symptoms of Ulcerative Colitis: Study
medicaldialogues.in
Eli Lilly Gets CDSCO Panel Nod To Market Mirikizumab for ulcerative ...
medicaldialogues.in
USFDA approves Pfizer Velsipity for adults with Ulcerative Colitis
medicaldialogues.in
Evaluation of Simplified Geboes Score in Ulcerative Colitis
jmsh.ac.in
EVIS EXERA III | Products | Olympus Medical Systems India
olympusmedical.co.in
Inflammatory Bowel Disease (IBD) – Crohn’s Disease, Ulcerative Colitis ...
asterhospitals.in
Mood interventions may reduce inflammation in Crohn's and Colitis
medicaldialogues.in
ExpEYES
expeyes.in
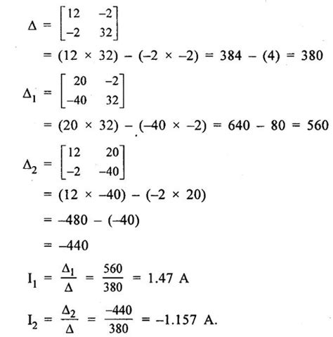
a. Define mutual inductance and write its SI unit. b. Two circular ...
iqclasses.in
Buy Corsica Burnout Set of 2 Hidden Loop Sheer Door Curtains from ...
homecentre.in
Isotretinoin May Increase Risk Of Ulcerative Colitis
medicaldialogues.in
Crohns & Colitis Walk, E Sugarhouse Park Rd S, Salt Lake City, UT 84106 ...
allevents.in
Study finds reason, cure for cancer immunotherapy-induced colitis
dtnext.in
Colon Classification (6th Edition), (Madras Library Association Papers ...
amazon.in
Problems on Matrix Method of Analysis - Electrical Circuits
mech.poriyaan.in
8 Ways to Prevent Osteoporosis if You Have Ulcerative Colitis
everydayhealth.com
Buy Blue Awareness Ribbon Hope with Butterfly Window Decal (Apraxia ...
desertcart.in
Buy Fiesta Loop Pile Textured Door Mat - 40 x 60 cm from Home Centre at ...
homecentre.in
Using a Colon – Definition & Examples – Grammar
twinkl.co.in
Buy Audison Products Online at Best Prices in India | Ubuy
ubuy.co.in
Forza10 Active Colon Support Diet Phase 1 Dry Dog Food, Helps Dogs with ...
desertcart.in
Common Painkillers linked to serious diarrhoea ,Colitis
speciality.medicaldialogues.in
Buy Corsica Burnout Door Curtain Pair with Hidden Loop - 110 x 225 cm ...
homecentre.in
Buy Brighton Ceramic Loop Chain Table Accent from Home Centre at just ...
homecentre.in
Fiber-Rich Diet Found Crucial in Preventing lethal colitis in ...
medicaldialogues.in
Buy Audison Products Online at Best Prices in India | Ubuy
ubuy.co.in
Lee Je Hoon hospitalised due to Ischemic colitis
dtnext.in
Buy Rimowa High-Quality Luggage, Suitcases & Bags Online in Ubuy India
ubuy.co.in
Buy Hot Wheels Double Loop Dash Trackset with 2 Vehicles from Hot ...
babyshop.in
Buy Thomas and Friends Maintenance Yard Train Set with Carly the Crane ...
ubuy.co.in
Japanese And Korean Internet Celebrity Fat Intestine Head Rope Simple ...
au.shein.com
ACCSOON CineView HE Wireless Video Transmission India | Ubuy
ubuy.co.in
TIWWS USB HART Modem with Built-in Loop Resistor for India | Ubuy
ubuy.co.in
Ostomy (ileostomy or colostomy) | Dr. Nikhil Agrawal
drnikhilagrawal.com
Buy Audison Products Online at Best Prices in India | Ubuy
ubuy.co.in
Kiran Rao Joins Adivasi Film Humans In The Loop As Executive Producer ...
in.mashable.com
Buy Fiesta Loop Pile Textured Door Mat - 40 x 60 cm from Home Centre at ...
homecentre.in
1 million dong in indian rupees - Brainly.in
brainly.in
Community Education Presentation: Crohns & Colitis Foundation, 100 W ...
allevents.in
Crohn’s & Colitis Foundation FUN RUN, REI (1119 Industrial Rd, Suite A ...
allevents.in
INTER-LOOP | CEPT - Portfolio
portfolio.cept.ac.in
Gautam Gambhir Tipped To Take The Reins As India's Cricket Coach; Shah ...
in.mashable.com
An unusual case of charge syndrome presenting with intrathoracic kidney ...
pediatriconcall.com
Loop HS Code for Export & Import | Loop Trade HS Codes
seair.co.in
Holland & Barrett Colon Cleanse for Digestive Health, 60 Tablets ...
apollopharmacy.in
Buy Brighton Ceramic Loop Chain Table Accent from Home Centre at just ...
homecentre.in
Buy Audison Products Online at Best Prices in India | Ubuy
ubuy.co.in
Buy Corsica Burnout Set of 2 Hidden Loop Sheer Door Curtains from ...
homecentre.in
Loop Vases – www.edamame.in
edamame.in
Related Searches
Loop of Colon
Colitis Radiopaedia Colon in Loop
Ulcerative Colitis Colon
Ulcerative Colitis and Colon Cancer
Anatomi Colon in Loop
Mouse Colitis Colon
Normal Colon in Loop
Right Colon Colitis
Pediatric Collitis Colon in Loop
Colonic Loops
Colitis Colon Anatomy
Dilation of Colon Colitis
Gambaran Colon in Loop Colitis Ulcerative
Gambaran Colon in Loop Colitis Iskemik
Ulseratif Colitis Colon in Loop
Ulcerative Colitis Stool
Colonic Malposition Colon in Loop
Colon in Loop Bayi
Accordion Colon Colitis
Megakolon Colon in Loop
Ulcerative Colitis Inside Colon
Hemoroid Colon in Loop
Sphymomsnometer Untuk Colon in Loop
Sawtooth Colon in Loop
Colon in Looop
Colitis Associated Colon Cancer
Colon Colitis
Colon Looping
Colon Infection Symptoms
Cecum Colon Cancer
Colonitis
Types of Colitis
Ulcerative Colitis Poop
Dilated Colon
Colon in Loop Pediatric
Colon Disease
Different Types of Colitis
Crohn's Disease Colon
Colitis Images
Colon Casing
Ulcerative Colitis Colonoscopy
Colitis Trasnverse Colon
Images of a Colon with C Diff
Colon Cancer Resection
Gambarr LPO Post-Contrast Colon in Loop
Colon Radiograph
Ulcerative Colitis Diagram
Ascending Colon CT
Ulcerative Colitis Intestine
Ascending Colon CT Scan
Search
×
Search
Loading...
No suggestions found