Find Your Style
Women
Men
Accessories
Search for clothing, brands, styles...
×
Women
Men
Accessories
Collaborative Research Informants
Search
Loading...
No suggestions found
University Of Southampton Delhi Partners With Cambridge To Offer INR 2. ...
freepressjournal.in
IISER TVM- Position Opening for Research Associate, INR 54,000 + HRA ...
edubard.in
Home | Official website of Jawaharlal Nehru Centre for Advanced ...
jncasr.ac.in
Indian Institute of Management Bangalore | IIM Bangalore
iimb.ac.in
MSBLAB
msblab.in
MSBLAB
msblab.in
Indian Institute of Science
ioe.iisc.ac.in
HAL – Hindustan Aeronautics Limited
hal-india.co.in
Exploring the Role of International Research Collaboration in Building ...
mdpi.com
Diabetes Research Collaboration: Unlocking Breakthroughs Together
tap.health
Industry-Institution Collaboration Programs | Bridging Academia and ...
iferp.in
South Asia Health Research Collab Takes Bold Step - Logical India
logicalindia.in
Building Infrastructure for International Collaborative Research in the ...
amazon.in
Building Partnership or Competition: Village Business Sustainability in ...
mdpi.com
Eye Complications in Diabetes: A Collaborative Study on Optic Neuritis
tap.health
Physics Ongoing Research
iitism.ac.in
Industry-Academia Collaboration: A critical need for upskilling future ...
community.nasscom.in
IIIT Dharwad
beta.iiitdwd.ac.in
CITI, Centre for IoT and AI, CFRD, Centre for Research and Development ...
kpriet.ac.in
Building Partnership or Competition: Village Business Sustainability in ...
mdpi.com
Research & Development
kzu.ac.in
Technology Development | Human Resources | Technology Incubation ...
tih.iitr.ac.in
Role of working groups in network collaborative research - OAR@ICRISAT
oar.icrisat.org
Buy What Research Methodology Suits Collaborative Research?: No. 49 ...
amazon.in
Panimalar Engineering College
panimalar.ac.in
Chiranjeev | Pages | Research
people.iitism.ac.in
web-colaborations
cse.iitkgp.ac.in
Quantum Communication at Raman Research Institute (RRI) - Banglore ...
n-coe.in
Chiranjeev | Pages | Research
people.iitism.ac.in
Technology Development | Human Resources | Technology Incubation ...
tih.iitr.ac.in
Buy Institution as Praxis: New Curatorial Directions for Collaborative ...
amazon.in
Science research in India is flourishing despite funding cuts and ...
scroll.in
Fillable Online dhs Connecting Generations: Collaborative research ...
pdffiller.com
futurepath-compass
futurecounseling.in
Fillable Online (Draft) COLLABORATIVE RESEARCH AND DEVELOPMENT ...
pdffiller.com
Buy Collaborative Research in Developmental Therapy: A Model With ...
amazon.in
Context-Aware Task Assignment Mechanism for Collaborative Mobile | S-Logix
slogix.in
Samsung Partners Delhi Technological University to Set Up Samsung ...
news.samsung.com
Collaborative Research Advances: MGIT and DMRL Forge Path on Residual ...
mgit.ac.in
Collaborative Research Endeavor Between Dr. D. Y. Patil Medical College ...
aninews.in
Buy String Theory In Curved Space Times, A Collaborative Research ...
amazon.in
Ph.D. in Media Studies | Journalism & Mass Communication | Advertising
chitkara.edu.in
Office of Alumni & Corporate Relations
acr.iitm.ac.in
The Electronic Project Proposal Management system, for CEFIPRA
cefipraonline.in
Collaboration Image 2
opju.ac.in
Collaborative Efforts in Advancing Non-Animal Research Methods ...
paym.chitkara.edu.in
CEFIPRA : Academia-Academia
cefipra.org
Buy The Collaborative Body in Qualitative Research: Becoming ...
amazon.in
Pulse 19
thapar.edu
Srinivasan R
misochain.in
Chiranjeev | Pages | Research
people.iitism.ac.in
Prof. Archana
iitism.ac.in
Cefipra - Registration
cefipraonline.in
Building Partnership or Competition: Village Business Sustainability in ...
mdpi.com
Prof. Ajay Mandal
iitism.ac.in
CEFIPRA : Academia-Academia
cefipra.org
Dr. D. Y. Patil College Of Ayurved and Research Centre
ayurved.dpu.edu.in
Prof. Ananya Banik
iitism.ac.in
Strengthening education research collaboration
dtnext.in
Buy Summary of Flow Modulation and Fluid-Structure Interaction Findings ...
amazon.in
Pulse 19
thapar.edu
logo
iitism.ac.in
Buy Qualitative Research Methods in Mental Health: Innovative and ...
amazon.in
What is Collaborative Learning? Benefits & Strategy of Collaborative ...
iitms.co.in
High Intensity Combustors – Steady Isobaric Combustion: Final Report of ...
amazon.in
India advancing traditional medicine through stronger research, global ...
ianslive.in
Home | Somaiya Vidyavihar
somaiya.edu.in
Building Partnership or Competition: Village Business Sustainability in ...
mdpi.com
Prof. Biswajit Chowdhury
iitism.ac.in
FAQ
sparc.iitkgp.ac.in
Best QS World Ranked University in India | QS University World Rankings ...
cuchd.in
Prof. Ajit Kumar
iitism.ac.in
ICAR-DFR, Pune Signs MoU with SRM Institute of Science and Technology ...
icar.org.in
ICAR-DFR, Pune Signs MoU with SRM Institute of Science and Technology ...
icar.org.in
Encyclopaedia Of Construction Planning, Equipment And Methods: A ...
amazon.in
Research - K. Ramachandra Rao
web.iitd.ac.in
Prof. Chanchal Haldar
iitism.ac.in
IDSR
idsr.org.in
The Electronic Project Proposal Management system, for CEFIPRA
cefipraonline.in
Edge AI & Single Board Computer Research – PeachBot
peachbot.in
Research - K. Ramachandra Rao
web.iitd.ac.in
Prof. Anshumali
iitism.ac.in
Sustainable Supply Chain and Environmental Collaboration in the Supply ...
mdi.ac.in
Prof. Devendra Chack
iitism.ac.in
Sustainable Supply Chain and Environmental Collaboration in the Supply ...
mdi.ac.in
Home [ikcri.center]
ikcri.center
Awfis | LBB
lbb.in
ICMR ePMS - Intramural
i-epms.icmr.org.in
Research - K. Ramachandra Rao
web.iitd.ac.in
Life Cycle Design & Engineering of Lightweight Multi-Material ...
amazon.in
Prof. Asmita Singha
iitism.ac.in
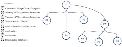
Figure 2. KSM Prangkuti Luhur Organozation Structure Source: research ...
ijcua.com
VSCON-Features
vcahs.edu.in
Prof. Alok Sinha
iitism.ac.in
Is MICAT-I on your Exam List? Know why it should not be missed.
mbarendezvous.com
NIT Srinagar
nitsri.ac.in
Prof. Abhisek Ghosal
iitism.ac.in
Samsung Partners Delhi Technological University to Set Up Samsung ...
news.samsung.com
About Indian Space Research Organisation | Official website of Indian ...
iirs.gov.in
About UOM | UNIVERSITY OF MYSORE | ಮೈಸೂರು ವಿಶ್ವವಿದ್ಯಾನಿಲಯ
uni-mysore.ac.in
Dr. S. K. Khijwania | Research Lab
fac.iitg.ac.in
Department Of Social Work - Jamia Millia Islamia
jmi.ac.in
Indian Institute of Science
iisc.ac.in
Prof. Ajay Suri
iitism.ac.in
India sets on biotech research projects with Finland
biospectrumindia.com
Certificate for International e-Seminar Collaboration – Goa Multi ...
gmfc.ac.in
1ST NATIONAL MOOT COURT COMPETITION 2021 BY LAW INFORMANTS: REGISTER NOW!!
katcheri.in
NIT Srinagar
nitsri.ac.in
Research Methodology: Research Design
legalbites.in
WEBINAR WITH MANUPATRA ON ‘(LEGAL RESEARCH: A DEFINITE GUIDE FOR LAW ...
katcheri.in
Medicaps Heritage | Legacy of Excellence & Innovation
medicaps.ac.in
How to identify research gaps and include them in your thesis?
projectguru.in
HOW YOU CAN HELP US? - Ashadeep
ashadeepindia.org
Top Engineering Colleges Chandigarh, Punjab, India | CGC Landran
cgc.edu.in
Salil Robinson
iitism.ac.in
Prof. Ashutosh Kumar
iitism.ac.in
The American Chess Magazine is here! - ChessBase India
chessbase.in
Academic Audit Committee
dypiu.ac.in
Research Process - useful - RESEARCH PROCESS Formulating the research ...
studocu.com
Panimalar Engineering College
panimalar.ac.in
Related Searches
Key Informants in Research
Key Informants in Research Example
Research Informants Examples
Key Informant Interview
Informant vs Informer
Reliable Informant
Key Informants of the Study in Research
Workplace Informants
Key Informat
Key Informants of the Study in Research Format
Paid Informants List
Types of Informants
Name of Informant
Informant Method
Sampling and Selection of Informants Example in Research Paper
Informants Profile in Research
9 Types of Informants
Informant Report
Informant Definition
Example of Research Respondents
Informants Profile in Research Table Form
List of Police Informants
Research Participants and Informants
Famous Informants
Interviewing Informants
Key Informant Approach
Research Informants Examples Reseearch Paper
3 Types of Informants
Health Informants
What Are Key Informants
How Cite Informants in Qualitative Research
Informant Synonyms
What Is Key Informants in Research Paper
How Do Informants Work
Examples of Research Information
How to Spot an Informant
Informants Data Psychology
Interdisciplinary Research
How to Find Confidential Informants
What Is Key Informants Sampling Strategy Research
Purposive Sampling
Researching Information
Mixed Method Research Design
Informant Character
Displaying Qualitative Data
Respondents of the Study Sample
Observation in Qualitative Research
Allies and Informants
Wwwi Draft Informants
How to Make a Key Informants in Research Paper
Search
×
Search
Loading...
No suggestions found