Find Your Style
Women
Men
Accessories
Search for clothing, brands, styles...
×
Women
Men
Accessories
Communication Devices Matrix
Search
Loading...
No suggestions found
Eclipse® HX Digital Matrix Intercom System: FOR-A
for-a.co.in
Matrix FCT Device - Fixed Cellular Terminal - 4 Port Matrix Simado ...
teentelecommunication.in
Matrix Time Attendance and Access Control System - Matrix Cosec Path ...
teentelecommunication.in
Matrix Time Attendance and Access Control System - Matrix Cosec Path ...
teentelecommunication.in
Matrix Time Attendance and Access Control System - Matrix Cosec Path ...
teentelecommunication.in
CPLD (Complex Programmable Logic Devices) - Block Diagram, Architecture
eee.poriyaan.in
History of Communication Timeline
twinkl.co.in
How To Create A RACI Matrix To Define Your Team's Roles And, 54% OFF
elevate.in
Technologies de l'information et de la communication (tic) - a la ...
amazon.in
SocketModem Cell - MultiTech | Mouser
mouser.in
Matrix Epabx System - Matrix Epabx Intercom System Trader - Retailer ...
abcsystems.co.in
Shah Circuit Systems
shahpcb.com
Matrix Bio-metric devices - Matrix Cosec Cogniface Integra Face ...
timeattendancesystem.in
Our Products - Microsoft Computer
miorosoft.co.in
Unified Communication Solution | Grandstream
grandstreamindia.co.in
Matrix Bio-metric devices - Matrix Cosec Cogniface Integra Face ...
timeattendancesystem.in
Sree Chitra Tirunal Institute for Medical Sciences and Technology ...
sctimst.ac.in
Communication medium in Computer Networks - The medium of data ...
studocu.com
Bluarmor C50Plus Intercom Communication Device
htrzmodz.com
Digital Devices Matching Activity
twinkl.co.in
Matrix Bio-metric devices - Matrix Cosec Cogniface Integra Face ...
timeattendancesystem.in
Matrix Bio-metric devices - Matrix Cosec Cogniface Integra Face ...
timeattendancesystem.in
Matrix Bio-metric devices - Matrix Cosec Cogniface Integra Face ...
timeattendancesystem.in
Matrix SIMADO GFX44 GSM FCT Device Corded Landline Phone Price in India ...
flipkart.com
Buy AAC Device for Autism & Speech Therapy. Non Verbal Communication ...
desertcart.in
Matrix Bio-metric devices - Matrix Cosec Cogniface Integra Face ...
timeattendancesystem.in
Matrix Bio-metric devices - Matrix Cosec Cogniface Integra Face ...
timeattendancesystem.in
Non-verbal Communication Board AAC Portable Device Autism - Etsy India
etsy.com
Motorcycle Communication Devices | Helmet Communication Device
bikegear.in
Led Matrix Control Module Dc3 3 5v Industrial Led Matrix | Desertcart INDIA
desertcart.in
Buy Communication Matrix: Ways of Winning with Words Book Online at Low ...
amazon.in
Buy The Social Media Communication Matrix: A New Direction in Public ...
amazon.in
Buy Communication – The Social Matrix of Psychiatry Reissue Book Online ...
amazon.in
SHOKITECH 4x4 Matrix 16 Button Keypad Keyboard Module : Amazon.in ...
amazon.in
Retekess TW101 Window Speaker,Drive Thru Intercom System,Speak-Thru,Two ...
desertcart.in
DVR BroadBand
dvrbroadband.net
Special Supplies Aac Communication Device Speech Therapy Talker Buddy ...
desertcart.in
KS2 Digital Devices Colouring Page (teacher made) - Twinkl
twinkl.co.in
Retekess TW101 Window Speaker,Drive Thru Intercom System,Speak-Thru,Two ...
desertcart.in
India to implement 13-digit mobile number system, but not for end users ...
tech.hindustantimes.com
Hjc Smart 21B Communication Device
bikegear.in
UDCO-SAGiMEC: Joint UAV Deployment and Computation Offloading for Space ...
mdpi.com
Buy Tiny TalkerToo - Special Supplies AAC Communication Device ...
desertcart.in
ELECTRONIC DEVICES AND CIRCUIT THEORY, 11TH EDN : Boylestad / Nashelsky ...
amazon.in
Sena Srl Mesh Intercom Communication System
bikegear.in
Engineering Mathematics I I Unit 1: Linear Algebra (Matrices) I Topic ...
edurev.in
Matrix Bio-metric devices - Matrix Cosec Cogniface Integra Face ...
timeattendancesystem.in
Fibre Optic Communication Devices: 4 (Springer Series in Photonics ...
amazon.in
PO-PSO Mapping to CO | Dept. Page Categories | FISAT | Federal ...
fisat.ac.in
Matrix Bio-metric devices - Matrix Cosec Cogniface Integra Face ...
timeattendancesystem.in
Matrix Simado GFX11 4G GSM FCT Device Corded Landline Phone Price in ...
flipkart.com
Classification of Matrices Video Lecture - Engineering Mathematics ...
edurev.in
Matrix Bio-metric devices - Matrix Cosec Cogniface Integra Face ...
timeattendancesystem.in
Matrix Bio-metric devices - Matrix Cosec Cogniface Integra Face ...
timeattendancesystem.in
Best Matrix (September, 2025)
digit.in
18EC72-solved-qp - solved question paper of vlsi 18ec72 of vtu ...
studocu.com
4Dot-Matrix R click at MG Super Labs India
mgsuperlabs.co.in
Gray Matrix Sparsh VP330E IP Phone Supplier from Delhi
cablecom.in
Matrix FCT Device - Fixed Cellular Terminal - 4 Port Matrix Simado ...
teentelecommunication.in
KPR Institute of Engineering and Technology
kpriet.ac.in
Matrix Bio-metric devices - Matrix Cosec Cogniface Integra Face ...
timeattendancesystem.in
Matrix Bio-metric devices - Matrix Cosec Cogniface Integra Face ...
timeattendancesystem.in
New network technologies to support expeditionary signal battalions ...
army.mil
Retekess TW101 Window Speaker,Drive Thru Intercom System,Speak-Thru,Two ...
desertcart.in
Matrix Bio-metric devices - Matrix Cosec Cogniface Integra Face ...
timeattendancesystem.in
Government to probe recovery of Starlink devices | India News - The ...
timesofindia.indiatimes.com
confusion matrix in machine learning
jainnews.in
Biometrics attendance system,biometrics devices,biometrics fingerprint ...
biometricattendancesystem.in
Retekess TW101 Window Speaker,Drive Thru Intercom System,Speak-Thru,Two ...
desertcart.in
Indian Scientists Discover Material That Converts Infrared Light Into ...
indiatimes.com
Study on Optical Positioning Using Experimental Visible Light ...
mdpi.com
Retekess TW101 Window Speaker,Drive Thru Intercom System,Speak-Thru,Two ...
desertcart.in
COMSEC Cryptographic Systems | Article | The United States Army
army.mil
Matrix Bio-metric devices - Matrix Cosec Cogniface Integra Face ...
timeattendancesystem.in
Consider Mxn(R) the set of n x n matrices with real entries. Define T ...
brainly.in
Matrix Bio-metric devices - Matrix Cosec Cogniface Integra Face ...
timeattendancesystem.in
Matrix Bio-metric devices - Matrix Cosec Cogniface Integra Face ...
timeattendancesystem.in
Flexible RGB full-color LED matrix 96x48 pixel panel – ThinkRobotics.com
thinkrobotics.com
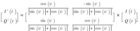
I/Q Rotation [Analog Devices Wiki]
wiki.analog.com
Matrix Bio-metric devices - Matrix Cosec Cogniface Integra Face ...
timeattendancesystem.in
Device and Process Technology for Full-Color Active-Matrix OLED ...
amazon.in
Matrix Bio-metric devices - Matrix Cosec Cogniface Integra Face ...
timeattendancesystem.in
KIET-LMS : Search results
lms.kiet.edu
Matrix Bio-metric devices - Matrix Cosec Cogniface Integra Face ...
timeattendancesystem.in
Common Configuration Documents - COSEC Devices - Matrix Wiki
wiki.matrixcomsec.com
icare solution Technology Services
itdreamz.in
Matrix X-Stream 128GB Internal Solid State Drive | Price, Key Features ...
digit.in
Matrix Bio-metric devices - Matrix Cosec Cogniface Integra Face ...
timeattendancesystem.in
Getting Started with STM32 - How to Use SPI
digikey.in
Matrix Bio-metric devices - Matrix Cosec Cogniface Integra Face ...
timeattendancesystem.in
Matrix MIS04THD 4TB Internal Hard Disk Drive | Price, Key Features and ...
digit.in
Breathing Apparatus (SCBA) – equipment that keeps your air breathable ...
draeger.com
Improvised Explosive Devices | Defence Matrix
thedefencematrix.in
Matrix Bio-metric devices - Matrix Cosec Cogniface Integra Face ...
timeattendancesystem.in
Matrix Bio-metric devices - Matrix Cosec Cogniface Integra Face ...
timeattendancesystem.in
Module 2 S Matrix MW Devices - MICROWAVE & ANTENNAS (15EC71) 2018 SAI ...
studocu.com
How to find the hardware version on a TP-Link device
tp-link.com
Matrix Bio-metric devices - Matrix Cosec Cogniface Integra Face ...
timeattendancesystem.in
Microwave Devices, Circuits and Subsystems for Communications ...
amazon.in
Improvised Explosive Devices | Defence Matrix
thedefencematrix.in
Buy TTGO T-Call SIM800L ESP32 Wireless Communication Module – Robocraze
robocraze.com
eSSL X990 Standalone Biometric Fingerprint Time & Attendance System ...
amazon.in
Matrix Bio-metric devices - Matrix Cosec Path RFID Compact Finger Print ...
timeattendancesystem.in
How to Write a Content Brief [Template + Examples] - Blog
appsmanager.in
Intersections Between Systems Thinking and Market Shaping for Assistive ...
mdpi.com
Communication Past and Present Word and Picture Matching Worksheet ...
twinkl.co.in
Microwave Passive Devices And its Scattering-Matrix : Surya Deo ...
amazon.in
write three difference between input and output device in computer ...
brainly.in
ASUS ROG Theta 7.1 Wired Over Ear Headphones with Mic (Black) : Amazon ...
amazon.in
Electronic Devices and Circuit Theory : Boylestad, Robert, Nashelsky ...
amazon.in
Matrix Bio-metric devices - Matrix Cosec Cogniface Integra Face ...
timeattendancesystem.in
Computer System Flashcards | Quizlet
quizlet.com
Gym Management Software With Automatic Biometric Integration | Okfit
okfit.in
Types of Communication Network - 1. Vertical Network The communication ...
studocu.com
Extended Representation of Mueller Matrices
mdpi.com
Matrix Bio-metric devices - Matrix Cosec Cogniface Integra Face ...
timeattendancesystem.in
Matrix Bio-metric devices - Matrix Cosec Cogniface Integra Face ...
timeattendancesystem.in
Input and Output devices of computer: Functions & Questions With Example
bankersadda.com
icare solution Technology Services
itdreamz.in
InVitro Diagnostics
cdsco.gov.in
Related Searches
Home INR Machine
INR Test Meter
INR Testing Machine
INR Testing Machines for Home
INR Test Strips
INR Monitoring Machine
PT/INR Device
INR Blood Test Machine
INR Machine for Home Use
Home INR Monitor
CoaguChek
POC Inr Machine
INR Point of Care Device
INR Self Testing Machine
INR Finger stick Machine
INR Measuring Device
Coag-Sense PT/INR Monitoring System
CoaguChek XS
Portable INR Meter
Medical Inr Machine
Finger Prick INR
INR Testing Kit
Normal INR
mdINR Machine
Protime INR Monitoring Device
INR Measurement Device
INR Clotting
جهاز فحص INR
INR Medical Equipment
Blood Glucose Testing Kit
INR Level Meter
INR Fingerstick
Alere INR Meter
Portable INR Device in Abu Dhabi
Personal INR Monitor
Hemosense
INR Panel
Self Testinh INR Device
Roche PT/INR Machine
INR Mesurement Device
INR Meters for Home Use
INR Monitoring Devices
Alere INRatio Test Strips
CoaguChek XS Plus
Prothrombin Machine
Individual Finger Pricking Device for INR
PT/INR Machine Brands
INR Measrument Device
Coumadin Meter
Coagucheck Device
Search
×
Search
Loading...
No suggestions found