Find Your Style
Women
Men
Accessories
Search for clothing, brands, styles...
×
Women
Men
Accessories
Condensador Expression
Search
Loading...
No suggestions found
Delicious blended whisky picks in India at price points under INR 1200
lifestyleasia.com
Capacitors in Combinations: Principles, Series and Parallel Combination
allen.in
Capacitor and Its Working Investigatory Project PDF class 12
knowledgecycle.in
derive expression for the capacitance when capacitor connected in ...
brainly.in
The expression for the capacity of the capacitor formed by compound ...
allen.in
Lighting Capacitor
halcap.in
i. Derive an expression for the capacitance of a parallel plate ...
iqclasses.in
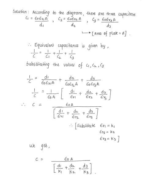
Derive an expression for the effective capacitance of three capacitors ...
allen.in
Class12 ISC Physics Chapter Capacitors and Dielectrics
iqclasses.in
4700uF 25V Electrolytic Capacitor (Pack of 5) – Robocraze
robocraze.com
In the given circuit as shown in figure, in the steady state, obtain ...
allen.in
how does a capacitor store energy? derive an expression for the energy ...
brainly.in
How does Ampere-Maxwell law explain the flow of current through a ...
allen.in
Derive an expression for the energy stored in the charged capacitor ...
brainly.in
Briefly explain the principle of a capacitor. Derive an expression for ...
ask.learncbse.in
For the LCR circuit, shown here, the current is observed to lead the ...
tardigrade.in
Derive an expression for the effective capacitance of three capacitors ...
allen.in
Master capacitors for NEET: Learn concepts, formulas, and applications.
allen.in
i. Derive an expression for the capacitance of a parallel plate ...
iqclasses.in
A `200 Omega` resistor is connected in series with a `5(mu)F` capacitor ...
allen.in
i. Derive an expression for the capacitance of a parallel plate ...
iqclasses.in
Analysis of Transistor Amplifier Configurations using Simplified h ...
eee.poriyaan.in
Derive the expression for the capacity of a cylindrical capacitor ...
brainly.in
Find the voltage ? V1 across the first capacitor. Express your answer ...
ask.learncbse.in
i. Derive an expression for the capacitance of a parallel plate ...
iqclasses.in
A parallel-plate capacitor has plates of area `A` and separation `d ...
allen.in
(i) An a.c. Source of voltage `V = V_(0) " sin " omegat` is connected ...
allen.in
Derive an expression for the capacitance of a parallel plate capacitor ...
brainly.in
Briefly explain the principle of a capacitor. Derive an expression for ...
ask.learncbse.in
Energy Stored in a Capacitor - Energy Density | Solved Example Problems
eee.poriyaan.in
derive an expression of the energy stored in a parallel plate capacitor ...
brainly.in
Show that the energy stored in a parallel plate capacitor is 1/2 CV^2 ...
ask.learncbse.in
The expression for the capacity of the capacitor formed by compound ...
toppr.com
Obtain the expression for the energy stored per unit volume in a ...
ask.learncbse.in
Write the expression for capacitance of parallel plate capacitor with ...
brainly.in
In the reported figure, a capacitor is formed by placing a compound ...
allen.in
Half Wave Rectifier Formulas with Derivation - Mango Engineer
mangoengineer.in
The expression for the capacity of the capacitor formed by compound ...
brainly.in
Initiation of Transcription by RNA Polymerase - Understanding Gene ...
pressbooks.justwrite.in
22) a) Obtain an expression for energy stored in a capacitor. b) A ...
brainly.in
derive an expression for the energy stored in a capacitor. show that ...
edurev.in
A parallel plate capacitor is being charged by a time varying current ...
ask.learncbse.in
What is Parallel Plate Capacitor? Obtain an expression for www the ...
brainly.in
Derive an expression for the voltage across the capacitor during ...
gtu-paper-solution.com
define capacitance of a capacitor. drive an expression for energy ...
brainly.in
1000 uf capacitor in Basic Components & IC | Electro Boat - Online ...
electroboat.in
Derive an expression for capacitance of parallel plate capacitor ...
brainly.in
principle of a capacitor and derivation of an expression for the ...
brainly.in
22) a) Obtain an expression for energy stored in a capacitor. b) A ...
brainly.in
capacitance of a parallel plate capacitor with compound dielectric ...
brainly.in
22) a) Obtain an expression for energy stored in a capacitor. b) A ...
brainly.in
Buy DNA and RNA Gene Expression Watercolor Art 8x10 Unframed Print Set ...
ubuy.co.in
derive an expression for equivalent capacitance for capacitors ...
brainly.in
Ripple factor of half and full wave rectifier in frequency or load ...
edurev.in
Deduce the expression for electrostaticenergy stored in capacitor ...
brainly.in
Full Wave Rectifier all Formulas with Derivation - Mango Engineer
mangoengineer.in
Derive the expression for the energy stored in a parallel plate ...
brainly.in
Capacitor - 500V, Axial Lead Electrolytic, 80uF : Amazon.in: Electronics
amazon.in
Half Wave Rectifier Formulas with Derivation - Mango Engineer
mangoengineer.in
Derive the expression for the capacitance of a parallel plate capacitor ...
ask.learncbse.in
Derive an expression for the capacitance of a parallel plane capacitor ...
brainly.in
11)derive the expression for capacity of parallel plate capacitor when ...
brainly.in
An alternating voltage v=v0sinwt is applied across a capacitor c ...
brainly.in
define capacitance of a capacitor. drive an expression for energy ...
brainly.in
Derive an expression for the capacitance of a parallel plate capacitor ...
ask.learncbse.in
Derive an expression for capacitance of parallel plate capacitor ...
brainly.in
derive the expression of capacitance of a parallel plate capacitor with ...
brainly.in
Briefly explain the principle of a capacitor. Derive an expression for ...
ask.learncbse.in
Derive an expression for the energy stored in charged capacitor ...
brainly.in
Derive and expression for the energy density of a parallel plate ...
brainly.in
Derive an expression for the energy stored in a capacitor. Show that ...
brainly.in
.Derive an expression for the capacity of a parallel plate capacitor ...
brainly.in
Find the expression for the energy stored in the capacitor.Also find ...
brainly.in
Find the expression for the energy stored in a capacitor also find the ...
brainly.in
The Characterization of the Electric Double-Layer Capacitor (EDLC ...
mdpi.com
Derive the expression for the energy stored in a parallel plate ...
brainly.in
(c) Derive an expression for the energy stored in a capacitor of ...
brainly.in
Buy Motor Capacitor, CBB61 Plastic Capacitor Gasoline Generator ...
ubuy.co.in
Deduce the expression for the capacitance of a parallel plate capacitor ...
brainly.in
plz answer fast !!!. Derive an expression for the energy stored in a ...
brainly.in
1uF-(105) Ceramic capacitor ( Pack of 5 ) High quality – QuartzComponents
quartzcomponents.com
Yeast Heterologous Expression Systems for the Study of Plant Membrane ...
mdpi.com
Write the expression for the generalized form of Ampere's circuital law ...
toppr.com
derive the expression for capacitor in series - Brainly.in
brainly.in
Show that the energy stored in a parallel plate capacitor is 1/2 CV^2 ...
ask.learncbse.in
Drive an expression for the energy stored in a capacitor. In what forms ...
brainly.in
derive an expression for the energy stored in a parallel plate ...
brainly.in
Define capacitance of a capacitor find thr charge on each capacitor of ...
brainly.in
Deduce the expression for the capacitance of a parallel plate capacitor ...
brainly.in
Derive an expression for the capacitance of a parallel plate capacitor ...
brainly.in
A)define the capacitance of a capacitor.obtain the expression for the ...
brainly.in
Derive an expression of Capacitance In The parallel plate capacitor ...
brainly.in
Recombinant Antibody Production Using a Dual-Promoter Single Plasmid System
mdpi.com
explain the principle of a capacitor. derive an expression for the ...
brainly.in
derive an expression for the energy stored in a capacitor. show that ...
edurev.in
470uf 25v Electrolytic Capacitor (1 Pc) – Indian Hobby Center
indianhobbycenter.com
Define capacitance of a parallel plate capacitor .Derive an expression ...
brainly.in
derive the expression for energy stored in a charged capacitor - Brainly.in
brainly.in
Derive an expression for capacity of parallel plate capacitor - Brainly.in
brainly.in
Administration of Warfarin Inhibits the Development of Cerulein-Induced ...
mdpi.com
Which among the following expressions relate charge, voltage and ...
allen.in
find the expression of the stored in the capacitor also find the energy ...
brainly.in
Safety Capacitor 275V 104 0.1uF 15mm 100nF
flyrobo.in
Derive the expression for the energy stored in a parallel plate ...
brainly.in
Derive an expression for the capacitance of a parallel plate capacitor ...
brainly.in
Derive the expression for the capacitance of spherical capacitor how ...
brainly.in
47nj100 Capacitor 100V
electricsmart.in
Derive an expression for the energy stored in parallel plate capacitor ...
brainly.in
A capacitor of capacitance C =900 pF is charged fully by 100 V battery ...
tardigrade.in
Explain the principle of capacitor. Deduce an expression for the ...
brainly.in
Describe the working of a parallel plate capacitor fimd the expression ...
brainly.in
find the expression of the stored in the capacitor also find the energy ...
brainly.in
derive an expression of equivalent capacitance for 2 parallel plate ...
brainly.in
A slab of material of dielectric constant K has the same area as that ...
ask.learncbse.in
Deduce the expression for the electrostatic energy stored in a ...
ask.learncbse.in
Warfarin Toxicity and Individual Variability—Clinical Case
mdpi.com
Derive the expression for the energy stored in a parallel plate ...
brainly.in
Write the expression for the generalized form of ampere's circuital law ...
brainly.in
Derive the expression of energy store in a capacitor - Brainly.in
brainly.in
Obtain the expression for the energy stored per unit volume in a ...
brainly.in
Related Searches
Condensador Aire Acondicionado
Condensador De Aire
Carga Electrica
Condensador Variable
Condensador Electrolitico
Condensador Ceramico
Microfono Condensador
Capacitores Ceramicos
Condensador O Capacitor
Condensador Refrigerador
Condensador Electrico
Condensador De Superficie
Condensador De Poliester
Condensador Electronico
Tipos De Capacitores
Condensador Fijo
Condensador De Motor
Que ES Un Condensador
Condensador De Bolas
Capacitador
Condensador De Liebig
Capacitadores
Condensador De Vapor
Condensador De Desacoplo
Condensador Nevera
Fan Del Condensador
Condensador Refrigeración
Condensador Sincrónico
Fan Condensador Chiller
Condensador Lado
Micro Condensador
Condensador Coaxial
Condensador 105
Passive Components
Condensador Axial
Sistema De Refrigeracion
Condensadores Electricos
Condensador De Película
Capacitor Icon
Beau Coup Condensador
Condensador De Agua
Condensador Interior
Condensador Comercial
Condensador Laboratorio De Quimica
Condensador No Polarizado
Air Variable Capacitor
Condensador De Arranque
Condensador Total
Condensador De Sellos
Condensador Componete
Search
×
Search
Loading...
No suggestions found