Find Your Style
Women
Men
Accessories
Search for clothing, brands, styles...
×
Women
Men
Accessories
Condensed Formula Method
Search
Loading...
No suggestions found
Table 14.1 : Representation of structural formulaCondensed formula ...
brainly.in
Name the compound and write its condensed formula. - Brainly.in
brainly.in
write condensed formula and Bond Line formula for the following ...
brainly.in
write condensed formula and Bond Line formula for the following ...
brainly.in
name the condensed formula - Brainly.in
brainly.in
what is the structural formula and the condensed structural formula of ...
brainly.in
write bound line formula and condensed formula for the following ...
brainly.in
Write the expanded form of the following condensed formulas into ...
brainly.in
3 methyl octane... write the condensed formula and bond line - Brainly.in
brainly.in
draw structure of3,3-Dimethylpentane - Brainly.in
brainly.in
write condensed formula and Bond Line formula for the following ...
brainly.in
write bond line formula and condensed formula is hept‐2‐ene - Brainly.in
brainly.in
Mastering Depreciation: Exploring Formula Derivation & Accurate Application
taxguru.in
5-ethyl-3-methyl octane . Condensed formula - Brainly.in
brainly.in
Give condensed and bond line structural formulae - CBSE Class 11 ...
ask.learncbse.in
Give condensed and bond line structural formulas and identify the ...
allen.in
Cu Electron Configuration, Copper Electron Configuration Formula ...
adda247.com
octa 14 diene write condensed formula and bond line formula - Brainly.in
brainly.in
write the condensed structural formula of pentanal - Brainly.in
brainly.in
Expand each of the following condensed formulas into their complete ...
brainly.in
Bond line structure examples - Brainly.in
brainly.in
String Theory Methods for Condensed Matter Physics : Nastase, Horatiu ...
amazon.in
Write the structure 1,2,3 propanetriol - Brainly.in
brainly.in
minimum number of teeth to avoid interference - Gears and Gear Trains ...
mech.poriyaan.in
condensed formula of C4H8? - Brainly.in
brainly.in
Alligation Rule and Mixtures and Replacements Formulas
campusgate.in
What is the condensed structural formula of 5-ethyl-3,4-dimethyl-1 ...
brainly.in
structure of 2-Chloro-3-methylpentane - Brainly.in
brainly.in
Write bond line formulae and condensed formulae for the following ...
brainly.in
Question 12.3 Write bond line formulas for: Isopropyl alcohol, 2,3 ...
brainly.in
Buy Theoretical Methods in Condensed Phase Chemistry: 5 (Progress in ...
amazon.in
Standard Costing: Easy and Simple way to learn Formula
taxguru.in
m2=2+2m. solve using formula method. - Brainly.in
brainly.in
How to do Criss cross method for finding chemical formula - Brainly.in
brainly.in
Construct index number by the simple average of price relative method ...
ask.learncbse.in
Euler and Modified Euler Method - Solved Example Problems
eee.poriyaan.in
Solve using formula method 6m^2-4m=3 - Brainly.in
brainly.in
condensed structure of ethanal - Brainly.in
brainly.in
Order of Reaction - Definition, Types, Formula and Methods
careerpower.in
Buy Neutrons, X-rays and Light: Scattering Methods Applied to Soft ...
amazon.in
Kari Pearson coefficient of correlation between two variables is ...
brainly.in
Calculate National Income by - CBSE Class 12 Economics - Learn CBSE Forum
ask.learncbse.in
methoxyethane....condensed formula and bond line formula - Brainly.in
brainly.in
Write 20 different chemical compounds name with their formula by criss ...
brainly.in
Depreciation under Companies Act, 2013 – A Practical Approach
taxguru.in
Draw structural formula for 1 - pentene - Brainly.in
brainly.in
Derivation of equations and List of 3 equations of motion - Physics ...
aakash.ac.in
What is the structural formula of 2,5 dimethyl hexane - Brainly.in
brainly.in
Give bond line structural formulas a. 2,2,4-trimethylpentane b ...
brainly.in
find roots of the following by formula method.[tex] {x}^{2} + 11x ...
brainly.in
Condensed structural formula n-alkane c25 h52 - Brainly.in
brainly.in
Factorisation -Definition, Method, Formulas, and Examples
adda247.com
The dimensional formula for Boltzmann's constant - Brainly.in
brainly.in
Standard Costing: Easy and Simple way to learn Formula
taxguru.in
Write the chemical formula for the following compounds using criss ...
brainly.in
what is step-deviation method explain with an example - Brainly.in
brainly.in
NCERT Solutions for Class 10 Science Chapter 4 - Carbon and its Compounds
edurev.in
Can I get valency table for writing chemical formula - CBSE Class 9 ...
ask.learncbse.in
write each of the following condensed formula as bond line formula. A ...
brainly.in
criss cross method of following compounds: Hydrochloric Acid, Sulphuric ...
brainly.in
3-Hexyne structural formula - Brainly.in
brainly.in
draw dot structure,structural formula,condensed formula of following ...
brainly.in
write the structural formula of -5 ethyl 3 methyl heptane - Brainly.in
brainly.in
solve 2x^2-5x+3=0 by formula method - Brainly.in
brainly.in
solve in quadratic formula method7x²+6x-1=0 - Brainly.in
brainly.in
Rules Of Algebra: Basics Of Algebra
superprof.co.in
Mind Maps for Methods of Differentiation Revision - Class 12, JEE (Main ...
esaral.com
Writing Ionic Formulas Worksheet Pdf - Fill Online, Printable, Fillable ...
pdffiller.com
Geometry Formulas- Perimeter, Area, Volume, Examples
adda247.com
how to write chemical formula for compound with Criss cross method ...
brainly.in
Give condensed and bond line structural formulas and identify foe ...
ask.learncbse.in
4-Methyl-1-pentyne 7154-75-8 | Tokyo Chemical Industry (India) Pvt. Ltd.
tcichemicals.com
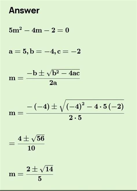
Solve 5m² - 4m - 2 = 0 Find value of m by Formula method - Brainly.in
brainly.in
write condensed formula and bond line formula for this please fast ...
brainly.in
Hexanal is a compound, which has got ___ functional group - Brainly.in
brainly.in
Give condensed formula and bondline formula of 2,2,4-trimethyl pentane ...
brainly.in
Deduce the dimensional formula for R, using ideal gas equation PV = nRT ...
ask.learncbse.in
write the molecular, electronic, and structural formula of ethyne ...
brainly.in
HCF and LCM: Formula, Definition, Methods & Examples | AESL
aakash.ac.in
Write Structures of the Following Compounds: 2-chloro-3-methylpentane ...
shaalaa.com
Diffusion in Condensed Matter: Methods, Materials, Models (Advanced ...
amazon.in
Factorisation -Definition, Method, Formulas, and Examples
adda247.com
write the structural formula of -5 ethyl 3 methyl heptane - Brainly.in
brainly.in
Trapezoidal method
vlab.andcollege.du.ac.in
Draw the structure of 2 methylbutanal - Brainly.in
brainly.in
x square+6x+5 =0 solve by formula method - Brainly.in
brainly.in
Solve quadratic eqution by formula method 2X^2+X-1/5=0 - Brainly.in
brainly.in
How to write the formula of carbon monoxide by criss cross method ...
brainly.in
show in condensed formula and bond line or zig zag formula - Brainly.in
brainly.in
structure of 2-hydroxy propanoic acid - Brainly.in
brainly.in
Quadratic Equation - JEE Main Previous Year Question with Solutions
esaral.com
formula for shortcut method and step deviation method in measures of ...
brainly.in
2)Solve the following quadratic equation by using formula method: 5m² ...
brainly.in
potassium oxide chemical formula by cris cross method - Brainly.in
brainly.in
National Income, Concept, Calculation Method, Formula, Importance
studyiq.com
Winkler method formula for dissolved oxygen analysis - Brainly.in
brainly.in
2x^2+5x-2=0 formula method - Brainly.in
brainly.in
Which of the following compounds gives a ketone with Grignards reagent
tardigrade.in
Partial Thromboplastin Time Wikipedia, 58% OFF
elevate.in
National Income, Concept, Calculation Method, Formula, Importance
studyiq.com
Genius Community | Chemical Formula
geniusteacher.in
solve x square +9x+14=0 by formula method - Brainly.in
brainly.in
Beginner's Method to Solve a 3x3 Cube
cubelelo.com
2,2-Dimethylpentane = 99 590-35-2
sigmaaldrich.com
Draw a structure for ethanoic acid molecule, CH³COOH - Brainly.in
brainly.in
if r value is less than 1 then finding the sum of infinite geometric ...
brainly.in
draw the structure of 2, 3 dimethylpentane - Brainly.in
brainly.in
Logarithm Formula- Explanation, Types, Properties, Examples
adda247.com
THE GOLDEN RATIO METHOD™ WORKBOOK FOR TRADING POWERFUL MATH FORMULAS: A ...
amazon.in
How washing soda is prepared from baking soda. write balanced chemical ...
brainly.in
Business statistics and research methods all important formulas list ...
scoop.eduncle.com
All Integration Formulas PDF and Sheet for Class 12 Students
adda247.com
Buy Formula Method Kit Includes/dosage Calculation 5e; Delmar's A-z Ndr ...
amazon.in
Mind Maps for Methods of Differentiation Revision - Class 12, JEE (Main ...
esaral.com
Decomposition Analysis for Impact of Backward Integration on Input Use ...
ndpublisher.in
50 chemical formulas of chemistry doing criss cross method - Brainly.in
brainly.in
draw the full structure of lecithin - Brainly.in
brainly.in
derive chemical formula for sodium sulphate using criss cross method ...
brainly.in
Factorisation -Definition, Method, Formulas, and Examples
adda247.com
solve the equation,x^2+2 5x+5=0, using formula method. - Brainly.in
brainly.in
Related Searches
INR Equation
PT/INR Formula
INR Ratio
INR Meaning
INR Lab Test
INR Scale
INR vs PTT
INR Calculator
Low INR
INR Calculation Formula
Blood INR Chart
INR Levels
Calculate INR
INR Goal Chart
Coumadin INR Dosing Chart
INR Medical
INR Range
Prothrombin Time and INR Chart
INR Normal Range
How to Calculate INR
INR Stands For
Isi INR
Ideal INR
INR Blood Test Machine
Elevated PT/INR
What Is INR
INR Calculation Table
PT/INR Format
INR Nomogram
Med Math Formulas
Therapeutic INR Level
PT/INR Sheets
INR Reference Range
INR Example
International Normalized Ratio INR
Calculating INR
INR Explained
PT/INR Results Chart
INR Values
High INR
How Is INR Calculated
INR Medical Abbreviation
INR Measurement
INR Diagram
INR Tube
INR Lab Value
INR Acronym
PT/INR Conversion
INR Adalah
INR 5
Search
×
Search
Loading...
No suggestions found