Find Your Style
Women
Men
Accessories
Search for clothing, brands, styles...
×
Women
Men
Accessories
Conjugate Axis
Search
Loading...
No suggestions found
Section 115E Concessional Rate Inapplicable to INR Saving Account Share ...
taxguru.in
[Resolved] Axis Bank — 1200 inr debited from my axis bank
consumercomplaints.in
Section 115E Concessional Rate Inapplicable to INR Saving Account Share ...
taxguru.in
Bharti Enterprises Sells ICICI Lombard Shares for INR 663 Crore ...
goodreturns.in
Bain Capital Sells 1.08% Stake in Axis Bank for INR 3,574 Crore ...
goodreturns.in
Book Delhi to London Flights from INR 29,548 | Air India
airindia.com
IIM Mumbai Placements 2025: 100% Placement, Highest Package INR 54 LPA
collegesearch.in
Conjugate hyperbola the hyperbola whose transverse and conjugate axis ...
scoop.eduncle.com
Conjugate hyperbola the hyperbola whose transverse and conjugate axis ...
scoop.eduncle.com
SATHEE: Hyperbola - Equation of Hyperbola (Lecture-01)
sathee.iitk.ac.in
SATHEE: Hyperbola - Equation of Hyperbola (Lecture-01)
sathee.iitk.ac.in
Let T and C respectively be the transverse and conjugate axes of the ...
tardigrade.in
EV20/NMS-P945, a Novel Thienoindole Based Antibody-Drug Conjugate ...
mdpi.com
Match the foci, centre, transverse axis, conjugate axis and vertices of ...
tardigrade.in
EE5121 Optimization - Conjugate Gradient Methods
ee.iitm.ac.in
Site-Specific Antibody Conjugation with Payloads beyond Cytotoxins
mdpi.com
Let `H :(x^2)/(a^2)-(y^2)/(b^2)=1` , where `a gtb gt0` , be a hyperbola ...
allen.in
SATHEE: Hyperbola - Equation of Hyperbola (Lecture-01)
sathee.iitk.ac.in
SATHEE: HYPERBOLA-2 (Conjugate Hyperbola)
sathee.iitk.ac.in
SATHEE: Hyperbola
satheejee.iitk.ac.in
Examples On Propositions Of A Hyperbola: Terminology and Important ...
aakash.ac.in
If 2 a and 2 b are the lengths of transverse axis and conjugate axis ...
tardigrade.in
Find the equation of hyperbola with center at origin, conjugate axis ...
brainly.in
SATHEE: Hyperbola
satheejee.iitk.ac.in
If a hyperbola has length of its conjugate axis equal to 5 and the ...
edurev.in
What is Hyperbola: Equation, Asymptotes, Latus Rectum & Examples
allen.in
where a andgt;bandgt; 0, be a hyperbola in the xy-plane whose conjugate ...
edurev.in
Examples On Propositions Of A Hyperbola: Terminology and Important ...
aakash.ac.in
SATHEE: Hyperbola - Equation of Hyperbola (Lecture-01)
sathee.iitk.ac.in
Let H: (x2/a2) - (y2/b2) = 1 , where a > b > 0 be a hyperbola in the xy ...
tardigrade.in
Hyperbola Class 11 Notes Maths
edurev.in
A hyperbola passes through the foci of the ellipse ( x 2/25)+( y 2/16 ...
tardigrade.in
SATHEE: Hyperbola - Equation of Hyperbola (Lecture-01)
sathee.iitk.ac.in
Let H: y(3 y+4 x)=-4 is a hyperbola and y=m x+c is its conjugate axis ...
tardigrade.in
If the distance between the two foci of hyperbola is 2 c and the ...
tardigrade.in
Find the length of transverse axis, length of conjugate axis,the ...
brainly.in
IXL - Find the length of the transverse or conjugate axes of a ...
in.ixl.com
A parabola is drawn with its vertex at (0,-3), the axis of symmetry ...
tardigrade.in
The point P (-2 √6, √3) lies on the hyperbola (x2/a2)-(y2/b2)=1 having ...
tardigrade.in
Find the equation of the hyperbola whose conjugate axis is 5 and the ...
brainly.in
For the hyperbola 3x^2 - 6y^2 = - 18 , find the lengths of transverse ...
toppr.com
Stockaxis Sector Insights - Metals | stockaxis
stockaxis.com
From a point ' P ' three normals are drawn to the parabola y2=4 x such ...
tardigrade.in
Find the axis, vertex, focus, directrix and equation of latus rectum of ...
toppr.com
RBI Enables Retail Access to FX-Retail Platform via Bharat Connect ...
taxscan.in
From a point ' P ' three normals are drawn to the parabola y2=4 x such ...
tardigrade.in
Find the length of transverse axis, length of conjugate axis,the ...
brainly.in
View question - Parabolas
web2.0calc.com
The pKa of acid X is 5 . The pH of a solution containing acid X and its ...
brainly.in
Development and characterization of RGD embellished drug-conjugate ...
ajpp.in
Axis Max Life Achieves Highest-Ever Claims Paid Ratio of 99.70% in FY25 ...
logicalindia.in
Examples On Propositions Of A Hyperbola: Terminology and Important ...
aakash.ac.in
[tex] \\ \huge \underbrace{\red{ \pink ︎Question:-}} \\ \green† \orange ...
brainly.in
Axis Bank's standard asset provisions up on one-time reclassification ...
livemint.com
Find the length of transverse axis, length of conjugate axis,the ...
brainly.in
The locus of the midpoints of the chords of an ellpse x2 + 4y2 = 4 that ...
tardigrade.in
Environmental Endocrinology: Parabens Hazardous Effects on Hypothalamic ...
mdpi.com
Consider two identical rings of mass M and radius R fixed on a ...
tardigrade.in
[tex] \\ \huge \underbrace{\red{ \pink ︎Question:-}} \\ \green† \orange ...
brainly.in
Diameters of The Pelvic Inlet
logyanlo.in
1 . Assertion (A): The rationalised form of is √√7 +2. Reason (R): The ...
brainly.in
Rsquared Practice: Practice Questions for CSIR NET Group Theory ...
practice.rsquaredmathematics.in
which statements are true for a hyperbola that has vertices at (-3,-3 ...
brainly.in
M.I of a circular loop of radius R about the axis in figure is
tardigrade.in
Axis Max Life Smart Term Plan Plus (STPP) Term Plan Review 2025
joinditto.in
[tex] \\ \huge \underbrace{\red{ \pink ︎Question:-}} \\ \green† \orange ...
brainly.in
Moment of Inertia Formula, Examples, Unit and Equations
adda247.com
Find the value
esaral.com
Axis Communications opens the first Axis Experience Center in India ...
newsroom.axis.com
Study Glance | SKILL DEVELOPMENT COURSE (DATA VISUALIZATION - R ...
studyglance.in
NIR I Coated Double-Convex (DCX) Lenses | Edmund Optics
edmundoptics.in
Planes in Crystals and Miller Indices - Crystallography
ece.poriyaan.in
What is the condition for a point to be inside a hyperbola and its ...
brainly.in
Anticoagulant Oligonucleotide–Peptide Conjugates: Identification of ...
mdpi.com
The line segment joining (2, andndash; 3) and (5, 6) is divided by x ...
edurev.in
Site-Specific Antibody Conjugation with Payloads beyond Cytotoxins
mdpi.com
Study Glance | SKILL DEVELOPMENT COURSE (DATA VISUALIZATION - R ...
studyglance.in
Design and Implementation of a Dual-Axis Solar Tracking System
mdpi.com
Axis Max Life Claim Settlement Ratio - September 2025
joinditto.in
Bioremediation of Petroleum-Contaminated Soils with Biosurfactant ...
mdpi.com
What is the equation of rectagularhyperbola? - Brainly.in
brainly.in
Axis Bank Olympus Credit Card - Apply Now
cardinsider.com
SATHEE: HYPERBOLA- 7 (Rectangular Hyperbola)
sathee.iitk.ac.in
The moment of inertia of an thin circular disc about an axis passing ...
allen.in
Point R(h,k) divides a line segment between the axes in the ratio 1: 2 ...
tardigrade.in
What is 5-Axis Machining? - Manufacturing Processes - DMG MORI India
in.dmgmori.com
Best Debit Cards with Cashback Benefits - Updated List (December 2025)
paisabazaar.com
Let `I_(1)` and `I_(2)` be the moment of inertia of a uniform square ...
allen.in
Environmental Endocrinology: Parabens Hazardous Effects on Hypothalamic ...
mdpi.com
Parallel Axis Theorem, Proof, Definition, Formula, Examples
adda247.com
Conjugate in Math - Advance Learner Course: Mathematics (Maths) Class 8 ...
edurev.in
Axis Communications | Event Management Company
axisevents.in
Atm global Business
atm.edu.in
JEE Main Question Paper with Solution 2023 January 25th Shift 2 - Evening
tardigrade.in
Exports of India
thedatatalks.in
Grease for piston and guide axis Transferpette® | BRAND
shop.brand.co.in
Internships & Career Programs for Students, LabMentix
labmentix.in
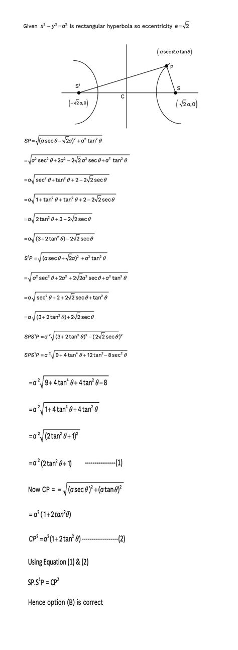
If P is a point on the rectangular hyperbola x^2 - y^2 = a^2 , \"C\" is ...
toppr.com
write the complementary, supplementry and conjugate angles for the ...
brainly.in
A thin circular disk is in the xy plane as shown in the figure. The ...
allen.in
Study Glance | SKILL DEVELOPMENT COURSE (DATA VISUALIZATION - R ...
studyglance.in
Aptamers Chemistry: Chemical Modifications and Conjugation Strategies
mdpi.com
Study Glance | SKILL DEVELOPMENT COURSE (DATA VISUALIZATION - R ...
studyglance.in
SATHEE: Hyperbola - Equation of Hyperbola (Lecture-01)
sathee.iitk.ac.in
Find the ratio in which X-axis divides the line segment joining the ...
brainly.in
Antibody–Drug Conjugates for the Treatment of Breast Cancer
mdpi.com
The Best Stocks To Buy In November 2023
lifestyleasia.com
Revision Notes: Ellipse - Mathematics (Maths) for JEE Main and Advanced ...
edurev.in
Axis Max Life Achieves Highest-Ever Claims Paid Ratio of 99.70% in FY25 ...
aninews.in
Development and characterization of RGD embellished drug-conjugate ...
ajpp.in
Buy AECEVAN Vertical Spiral Wind Power Turbine Generator, 8000W Helix ...
ubuy.co.in
Find the ratio in which the y-axis divides the line segment joining the ...
brainly.in
Axis Bank Net Banking: Registration, Login ,Transaction & How to Check ...
cleartax.in
Find the harmonic conjugate of the point R(5,1) with respect to points ...
brainly.in
Buy Axis Solid Wood 2-Seater Tea Set - Brown from Home Centre at just ...
homecentre.in
Solve the following system of linear equations graphically. 3x+y-12=0 x ...
brainly.in
Solve the following system of linear equations graphically. 3x+y-12=0 ...
brainly.in
Axis Bank Education Loan - International Student Insurance by Student Cover
studentcover.in
[tex] \\ \huge \underbrace{\red{ \pink ︎Question:-}} \\ \green† \orange ...
brainly.in
Adventure Axis is an complete outdoor shop.
adventureaxis.in
Related Searches
Conjugate Hyperbola
Conjugate Axis of Hyperbola
Transverse Axis and Conjugate Axis
Conjugate Axis Meaning
Conjugate Axis of Parabola
Conjugate Axis Length
What Is the Conjugate Axis of a Hyperbola
Conjugate Complex Numbers
Conjugate Axis of Ellipse
Conjugate Axis Definition
Unit Hyperbola
Conjugate Axis of a Sphere
Conjugate Axis Equation
Conjugate Axis of Hyperbola Formula
Semi Conjugate Axis of Hyperbola
Principal Axis Hyperbola
Endpoints of Conjugate Axis
Traverse Axis
Define Conjugate Axis
Conjugate Foci
Axis of Symmetry Hyperbola
Conjugate Calculus
Conjugate of Polar Form
Hyperbola Focus Equation
Semi Minor Axis Hyperbola
Hyperbola Diagram
Rectangular Hyperbola Graph
Major and Minor Axis of Hyperbola
Hyperbola 1
Standard Form of a Hyperbola
Conic Hyperbola
Hyperbola Math
Hyperbila
Rectangular Hyperbola Curve
Focal Axis Hyperbola
How to Find Length of Conjugate Axis
Vertical Transverse Axis
Ellipse Geometry
Directrix of Hyperbola
Hyperbola Labeled
Transverse Axis vs Conjugate Axis
Formula for Conjugate Hyperbola
Vertex Hyperbola
Hyperbola Center
Hyperbola General Equation
Hyperbola Conic Section
Hyperbola Parts
Confocal Hyperbola
Hyperbola Objects
Transverse and Conjugate Axis
Search
×
Search
Loading...
No suggestions found