Find Your Style
Women
Men
Accessories
Search for clothing, brands, styles...
×
Women
Men
Accessories
Contoh Numelatur Jabatan Untuk Pranata Acara
Search
Loading...
No suggestions found
contoh susunan acara mpls sd | Enjoy ₹700 Bonus on Your First Game ...
welfarepension.lsgkerala.gov.in
Contoh Surat Declaration Kastam JK85 - Pengarah Bahagian Pengarah ...
studocu.com
Sewa Panggung Untuk Acara Indoor
suryajaya.in
Asosiasi Penulis dan Inspirator Indonesia – ASPIRASI
aspirasi.in
Pemerintah Naikkan Tunjangan PNS Jabatan Fungsional Pranata Humas ...
newsbandaaceh.com
Sewa Sofa Single Untuk Acara Karang Tengah Tangerang
suryajaya.in
Menyewakan Meja Bundar Untuk Acara Area Jakarta
suryajaya.in
Sewa Sofa Single Untuk Acara Karang Tengah Tangerang
suryajaya.in
Surat Untuk Hari Guru - Ucapan Terima kasih (teacher made)
twinkl.co.in
Sewa Sofa Single Untuk Acara Karang Tengah Tangerang
suryajaya.in
Sewa Panggung Untuk Acara Apa Saja
suryajaya.in
Disewakan Meja Dan Kursi Untuk Acara Siap Antar Pasang
suryajaya.in
Membaca Pranata Mangsa
bolehmerokok.com
Numerator Office Photos
glassdoor.co.in
sewa meja untuk berbagai acara Archives - Pusat Sewa Alat Dan ...
suryajaya.in
Sewa-Wastafel-Untuk-Acara-Harga-Murah-Di-Jakarta-19-3-2024-a - Pusat ...
suryajaya.in
Sewa-Tenda-Kerucut-Untuk-Acara-Bukber-Di-Jakarta-12-3-2024-E - Pusat ...
suryajaya.in
Numerator Denominator Poster - Classroom Display Resource
twinkl.co.in
pusat Sewa Toilet Portable Untuk Acara Outdor ramah lingkungan murah
suryajaya.in
Judy Pranata on Instagram: "B - Sauh | Initial by @tag.prasetya # ...
in.pinterest.com
Numerator Office Photos
glassdoor.co.in
Numerator Reviews in Vadodara, India | Glassdoor
glassdoor.co.in
9. The numerator of a fraction is 2 less than its denominator. If 3 is ...
brainly.in
Automatic and Rotary type Numerator
chandrikacorporation.com
The numerator of a fraction is 3 less than its denominator. If we add 1 ...
brainly.in
The denominator of a fraction is one more than twice its numerator. If ...
brainly.in
Manual Rotary Numerator,Manual Rotary Type Numerator Manufacturer in ...
kaleenterprises.in
13 Gaya Rambut Undercut Slick Back yang Modern, Coba Yuk! | AllThingsBeauty
allthingsbeauty.com
A fraction is such that if the numerator is multiplied by 3 and the ...
brainly.in
The Essential Vitamin K Foods Lists for Warfarin Users: With More Than ...
amazon.in
Natrium Diklofenak untuk Meredakan Nyeri Sendi - Alodokter
alodokter.com
Numerator: Un juego para aprender la numeración y las cuatro ...
amazon.in
TopMate C5 Laptop Cooling Pad with 5 Quiet Fans and India | Ubuy
ubuy.co.in
I want immediately answer - Brainly.in
brainly.in
30 first term of negative integers divisible by 3 - Brainly.in
brainly.in
포텐간 김c 불륜썰을 보고.JPG - 포텐 터짐 최신순 - 에펨코리아
fmkorea.com
Top Companies in Vadodara | Glassdoor
glassdoor.co.in
Buy Pigeon Baby Powder with Fragrance (500g) Online at Low Prices in ...
amazon.in
7 Variasi Wolf Cut Pria yang Bikin Tampilanmu Makin Keren | AllThingsBeauty
allthingsbeauty.com
1. Multiple choice questions ao Numerator of a proper fradion is than ...
brainly.in
Numerator Marking System Manufacturer, Supplier From New Delhi, Delhi ...
rubberstampindia.in
6x^2 +28x -72 solve it using splitting the middle term method - Brainly.in
brainly.in
Payroll Coordinator APAC + LATAM Job for 3 - 5 Year of Exp In Numerator ...
foundit.in
5th Anniversary Gifts - 5 Year Anniversay Ideas For Couple & Wife ...
giftalove.com
Numerator Client Service Associate Interview Questions | Glassdoor
glassdoor.co.in
What is a Denominator? | How to Find The Denominator
twinkl.co.in
identify the rational number and then write the numerator and ...
brainly.in
the numerator of a fraction is 3 less than the denominator if both the ...
brainly.in
The denominator of a rational number is greater than its numerator by 8 ...
ask.learncbse.in
the denominator of a fraction is 3 more than the numerator. if the ...
brainly.in
Numbering machine Products at Best Price
rapiddeliveryservices.in
the numerator of a rational number is 3 less than the denominator. if ...
brainly.in
what is integes what is quadritaterals please draw diagram and showwhat ...
brainly.in
A fraction is such that if the numerator is multiplied by 3 and the ...
brainly.in
A fraction is such that if the numerator is multiplied by 3 and the ...
brainly.in
A fraction becomes 1/3 when 2 is subtracted from the numerator and it ...
brainly.in
A fraction becomes 1/3 if I is subtracted from both of its numerator ...
brainly.in
The sum of numerator and denominator of a fraction is 4 more than twice ...
brainly.in
express -16/-24 (a) standard form (b) denominator 15(c) numerator -22 ...
brainly.in
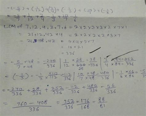
(-5)/(7)+(1)/(12)+(3)/(4)+(-1)/(3)+(10)/(7)+(-1)/(6) - Brainly.in
brainly.in
The numerator of a fraction is four less than its denominator. It'l is ...
brainly.in
In a fraction twice the numerator is 2 more than the denominator if 3 ...
brainly.in
When 0.48 is written in simplest form of it's terms, the sum of it's ...
brainly.in
a fraction is such that the numerator is multiplied by 3and the ...
brainly.in
theopenbook.in | Online worksheets for kids | CBSE
theopenbook.in
the sum of the numerator and denominator of a fraction is 12 if 1 is ...
brainly.in
2 3/4 - [3 1/8÷{5-(4 2/3 - 11/12)}] - Brainly.in
brainly.in
if 1 is subtracted from the numerator of a fraction becomes 2 by 3 but ...
brainly.in
The denominator of a rational number is greater than its numerator by 8 ...
brainly.in
in a given fraction, if '1' is subtracted from the numerator and 2 is ...
brainly.in
if we add 1 to the numerator . and subtract 1 from . the denominator a ...
brainly.in
simplify (1/x-a)³ ÷ (1/x)³a - Brainly.in
brainly.in
13. The numerator of a fraction is 2 less than the denominator. If one ...
brainly.in
अरुणाचल प्रदेश और मेघालय राज्य की विशेषताए संवाद के रूप में लिखिए ...
brainly.in
how did the numerator become this in the 2nd step? - Brainly.in
brainly.in
sum of numerator and denominator of a fraction is 1 less than thrice ...
brainly.in
an equivalent fraction of 3by 5 with numerator 18 is - Brainly.in
brainly.in
numerator of a rational number is 3 less than its denominator if 5 is ...
brainly.in
Q. the sum of numerator and denominator of a fraction is three less ...
brainly.in
3 is added to the denominator and numerator of a fraction, the ...
brainly.in
The numerator of a fraction is 3 less than denominator. If numerator is ...
brainly.in
simply fraction value of 83.33.!? - Brainly.in
brainly.in
a fraction has the denominator greater than it's numerator by 6 but if ...
brainly.in
answer plzz question - Brainly.in
brainly.in
28. Find the quotient of 93 ÷ 3.21. Sainik School 2008 - Brainly.in
brainly.in
How many download words are of brainly and when did brainly launch ...
brainly.in
Directions for questions 1 to 5: The following pie chart shows the ...
brainly.in
Fill in the blanks. Wherever necessary, reduce the fraction to its ...
brainly.in
Answer this question - Brainly.in
brainly.in
what is 2¹+2²+2³+2⁴+.....2^infinity - Brainly.in
brainly.in
ascending order of 1/5,6/4,7/12,2/10 - Brainly.in
brainly.in
Please Answer This. I Will Mark You As Brainliest. - Brainly.in
brainly.in
cordinate of point A is 4 cordinate of point B is 7 Than D(AB) =?a) -11 ...
brainly.in
if x=2-√3, find the value of x³+1/x³ - Brainly.in
brainly.in
Verify that -1/2+[(-4/3)+3/7] and [(-1/2)+3/7]+ (-4/3) ate they Same ...
brainly.in
draw the graph of linear equation in two variable X - 2y = 6please help ...
brainly.in
12 upon 6 + 4 upon 3 is equal to - Brainly.in
brainly.in
Determine k and solve the equation 2x^3-6x^2+3x+k=0 if one of its roots ...
brainly.in
write the decimal form of the following rational numbers_1_ 11 _13_ 4 ...
brainly.in
Measure of two adjacent angle of Parellogram in ratio 5:4 find measure ...
brainly.in
what number should (-2/9)^-2 be divided to get 3? - Brainly.in
brainly.in
solve the following equation. 2/3 (5x- 2)-[4x - 1 - 3x / 2]=5x- 11/2 ...
brainly.in
answer the lashed questions - Brainly.in
brainly.in
See the photo to solve the question - Brainly.in
brainly.in
what is reducible fractionwith full explanation ? - Brainly.in
brainly.in
Search
×
Search
Loading...
No suggestions found