Find Your Style
Women
Men
Accessories
Search for clothing, brands, styles...
×
Women
Men
Accessories
Contribution Certificate
Search
Loading...
No suggestions found
INR 25 Lakh Cash Contribution by Directors Treated as Unexplained: ITAT ...
taxscan.in
India tourism’s economic contribution to reach INR 22tn in 2025; WTTC ...
traveltrendstoday.in
PM Modi's Office Thanks A 10-Year-Old Who Donated INR 1000 To His Fund ...
indiatimes.com
INR Full Form: What is full form of INR?
bankersadda.com
INR 25 Lakh Cash Contribution by Directors Treated as Unexplained: ITAT ...
taxscan.in
Gift Card - 1500 INR | buy e gift card - gift certificate, the most ...
thealmirah.com
2006-alumini.jpg
iasetamilnadu.ac.in
RBI to detail SOP for banks to help expedite rupee trade
currentaffairs.adda247.com
Buy Editable Donation Certificate Template. Printable Certificate ...
etsy.com
Fillable Online TENANT INCOME AND RENT CERTIFICATION FORM (HCD) Fax ...
pdffiller.com
EPF Form 10D: Instructions, How to Download & Filling Procedure
paisabazaar.com
Assam Don Bosco University
web.dbuniversity.ac.in
Certificate of Content Contribution | Pondicherry University
backup.pondiuni.edu.in
What is Employees’ Pension Scheme (EPS): Eligibility, Calculation & Formula
paisabazaar.com
Honouring journalistic excellence: Reflecting on emergency at Devarshi ...
newindian.in
A Complete Guide on Taxation of Interest on EPF Contribution Exceeding ...
cleartax.in
MERN Stack Developer Course with Placement Support
ccbp.in
February 2020 | APTEACHERS Website
apteachers.in
Why Modison for Electrical Contacts & High Performance Copper Products
modisonltd.com
Kerala Labour Welfare Fund Board
labourwelfarefund.in
Fillable Online co clatsop or PC 7 Certificate of Limited Contributions ...
pdffiller.com
Why Modison for Electrical Contacts & High Performance Copper Products
modisonltd.com
Rent Receipt Format Made Simple: A Step-by-Step Guide 2025
nobroker.in
ICAI UDIN Generation Process
taxguru.in
Inhouse Courses KHDA – Dubai
greenwgroup.co.in
Gaushala Donation Online|Cow Donation In India: Shri Krishnayan Desi ...
krishnayangauraksha.org
PF ESIC Registration Process, Benefits, Documents Required
e-startup.in
Fillable Online Application for Contributions Compliance Certificate ...
pdffiller.com
Taxability of contribution made to PF fund and Interest thereon
taxguru.in
Fillable Online vocespr Certificate of Recognition certificate to ...
pdffiller.com
Download Digital Certificate Template PSD Files: A Multipurpose Solution
rkdgtalgraphic.in
Download Digital Certificate Template PSD Files: A Multipurpose Solution
rkdgtalgraphic.in
IIT Roorkee's Silver Jubilee Reunion: 1998 (inc. 1999 B. Arch ...
eduadvice.in
30 Tushar 30 - Useful - Date: 01-09- Summer Training Certificate This ...
studocu.com
Comprendre les documents importants quand vous investissez dans un REER ...
fondsftq.com
Fillable Online Certificate of Limited Contributions and Expenditures ...
pdffiller.com
ಬಾಡಿಗೆ ರಶೀದಿಯ ಸ್ವರೂಪ | Housing News
housing.com
2022-alumini.jpg
iasetamilnadu.ac.in
Fillable Online This certificate represents a contribution of $ in a ...
pdffiller.com
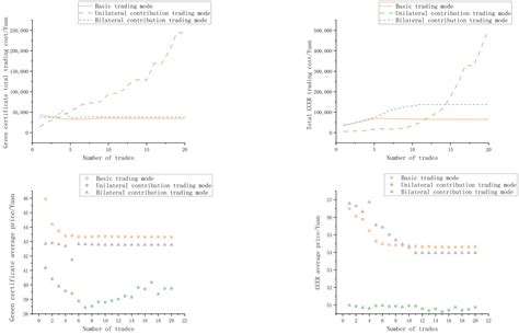
Research on the Connection Market Trading Issues of Green Certificates ...
mdpi.com
SEBI proposes Review of Total Expense Ratio for Mutual Fund Schemes
taxguru.in
Star of the Week Class Contribution Certificate - Twinkl
twinkl.co.in
Spanish End of Year Contribution Award Certificate - Twinkl
twinkl.co.in
Welcome to All India Computer Technical Education, Delhi
aicteindia.in
India’s Intended Nationally Determined Contributions (INDC) | CEEW
ceew.in
French End of Year Contribution Award Certificate-French
twinkl.co.in
Buy Advanced Defined Contribution Plans Audit Certificate Book Online ...
amazon.in
Why Modison for Electrical Contacts & High Performance Copper Products
modisonltd.com
Research on the Connection Market Trading Issues of Green Certificates ...
mdpi.com
Gas Cylinder Tracking & Inventory Management Software
sahiwala.com
IIM Kashipur Certificate
nulearn.in
RMK ENGINEERING COLLEGE
rmkec.ac.in
Online MBA Degree Courses, Fees, Syllabus & Admission 2026
onlinecu.in
HNLU, Certificate Of Appreciation, The Indian Red Cross Society
livelaw.in
Why Modison for Electrical Contacts & High Performance Copper Products
modisonltd.com
Certificate of Accreditation
iasetamilnadu.ac.in
How to Submit FATCA Declaration For NPS
paisabazaar.com
alumini-fund.jpg
iasetamilnadu.ac.in
IIM Lucknow HR Analytics Programme | HR Analyst Certification Course
vcnow.in
Research on the Connection Market Trading Issues of Green Certificates ...
mdpi.com
Understanding Stamp Duty on Share Certificates - LegalWiz.in
legalwiz.in
Compounding Interest: Formulas and Examples - Sensexindia.in
sensexindia.in
PEC Alumni & Faculty, Prof. Umesh made a generous Scholarship ...
pec.ac.in
Why Modison for Electrical Contacts & High Performance Copper Products
modisonltd.com
Custom Certificates Printing Service Online | ARC Print India
arcprint.in
₹100 Bond Paper: Uses, Legal Importance & Buying Guide
hexahome.in
Best Ac Technician Training Institute in Hyderabad,Delhi, Guntur ...
electricaltraininginstitute.co.in
Why Modison for Electrical Contacts & High Performance Copper Products
modisonltd.com
End-of-Year Conjugation Award Certificates - Spanish
twinkl.co.in
PGInvIT
pginvit.in
Madhya Pradesh Governor Mangubhai C. Patel bestowed the World Book of ...
aninews.in
CHLites Lauded for Contribution to #OneDayForFuture, Receive ...
crystalhues.com
Buy Editable Church Certificate of Appreciation Award, Religious Honor ...
etsy.com
Research on the Connection Market Trading Issues of Green Certificates ...
mdpi.com
KARUNA DHAM - TREE PLANTATION DONATION
karunadham.org.in
PEC Alumni & Faculty, Prof. Umesh made a generous Scholarship ...
pec.ac.in
Why Modison for Electrical Contacts & High Performance Copper Products
modisonltd.com
CHRIST UNIVERSITY
lavasa.christuniversity.in
TKM College Of Engineering
tkmce.ac.in
Why Modison for Electrical Contacts & High Performance Copper Products
modisonltd.com
Why Modison for Electrical Contacts & High Performance Copper Products
modisonltd.com
Amazon.in: Thank you for your contribution - Amazon Pay eGift Card ...
amazon.in
PEC Alumni & Faculty, Prof. Umesh made a generous Scholarship ...
pec.ac.in
India shining: Rupee inches closer to becoming international currency ...
timesnownews.com
Why Modison for Electrical Contacts & High Performance Copper Products
modisonltd.com
VAAR offer certification services based on the documents, facts etc ...
vaarindia.com
Download Digital Certificate Template PSD Files: A Multipurpose Solution
rkdgtalgraphic.in
Online MBA Degree Courses, Fees, Syllabus & Admission 2026
onlinecu.in
AFM Full Form: ACCA Advanced Financial Management Guide – Eduyush
eduyush.com
Sonata Software - International Services Revenue grew by 3.5% QoQ (38.3 ...
aninews.in
Connecting marginalized children deprived of education in the ...
give.do
DrBiswadip - Honoured to receive a Certificate of Appreciation for my ...
facebook.com
International Trade Settlement in Indian Rupee (INR)
taxguru.in
Why Modison for Electrical Contacts & High Performance Copper Products
modisonltd.com
Why Modison for Electrical Contacts & High Performance Copper Products
modisonltd.com
International Trade Settlement in Indian Rupee (INR)
taxguru.in
Institute of Advanced Study in Education : Govt. Teacher Training ...
iasetamilnadu.ac.in
Osaka Pharmaceuticals
osakapharmaceutical.com
Tanishq – Shop the best gold and diamond jewellery designs from India’s ...
tanishq.co.in
Bug Bounty | Droom
droom.in
Welcome to ICAR-CRIDA | भाकृअनुप – केंद्रीय बारानी कृषि अनुसंधान संस्थान
icar-crida.res.in
TO WHOMSO EVER IT MAY CONCERN
iasetamilnadu.ac.in
Franking Charges: Meaning, Benefits and Difference 2025
nobroker.in
Buy Extra-thick Personalized Unique Appreciation Gift Plaque for ...
desertcart.in
Welcome [adm.edu.in]
adm.edu.in
(+91) 044-24358351. info@iasetamilnadu.ac.in www.iasetamilnadu.ac.in
iasetamilnadu.ac.in
What is Scheme certificate, explained. Scheme certificate is basically ...
glassdoor.co.in
Electrical Shop Bill Format Download | Free Invoice Template For ...
stockregister.in
CheapSSLWeb.in is Offering Cheap SSL Certificate of Globally Recognized ...
aninews.in
Awards and Recognitions
ggpamethi.in
RMK ENGINEERING COLLEGE
rmkec.ac.in
Fillable Online Ministry of Finance of The Republic of Serbia - Tax ...
pdffiller.com
Economic Survey 2023: Chapter-wise Highlights
currentaffairs.adda247.com
Teacher's Day Certificate | Grade 1 | Twinkl (teacher made)
twinkl.co.in
FCRA Renewal of Registration, FCRA Extension for renewal
harchandani.in
Dr Harmeet Kaur, CCN Principal honoured with 'Appreciation Certificate ...
chitkara.edu.in
Certificate of Authenticity Template | Authenticity Certificate ...
creativerino.com
FREE! - Michael Rosen Poetry Competition: Certificate - Twinkl
twinkl.co.in
HDFC Bank Statement - Format, View, Download, Benefits - Paisabazaar
paisabazaar.com
Affidavit
iasetamilnadu.ac.in
Related Searches
Donation Certificate Sample
PhilHealth Certificate
Donation Certificate Template
Service Appreciation Certificate
Special Recognition Certificate
Thank You Certificate for Donation
Training Award Certificate Template
Certificate of Appreciation PDF
Contribution Letter
Merit Award Certificate
Thank You for Your Donation Certificate
Appreciation Blank Certificate Templates
Retirement Certificate of Appreciation
Charity Donation Certificate
Outstanding Award Certificate Template
Capital Contribution Certificate
Church Volunteer Certificate
Donor Appreciation Certificate Template
Sample Wording Certificates Appreciation
Certificate for Appreciation Work
Contribution Card Template
Blood Donation Certificate
Leadership Award Certificate
Anniversary Certificate Template
Acknowledge Certificate
Employee Appreciation Certificate Template
Contribution Certificate Format
Contract Award Certificate
Best Employee Award Certificate
Silent Auction Certificate
Appreciation Certificate Example
Certificate for Parents
Downloadable Certificate of Appreciation Template
Excellence Certificate
Sales Award Certificate
Sponsorship Award Certificate
Certificate of Honor
Membership Certificate
Award Certificate Template Word
Exceptional Contribution Certificate
Fundraising Certificate
Art Award Certificate Template
SSS Certificate of Contribution Sample
Donation Gift Certificate Template
Create Certificate of Appreciation
Certificate of Donation
Free Printable Donation Certificates
Donation Certificate Template Free
Certificate for Donation
Volunteer Certificate of Appreciation
Search
×
Search
Loading...
No suggestions found