Find Your Style
Women
Men
Accessories
Search for clothing, brands, styles...
×
Women
Men
Accessories
Control Top Pantyhose Tops
Search
Loading...
No suggestions found
FIMBUL
FIMBUL High-Rise Control Top Sheer Stockings
349
myntra.com
FIMBUL
FIMBUL High-Rise Control Top Sheer Stockings
349
myntra.com
FIMBUL
FIMBUL Women High-Rise Control Top Sheer Stockings
349
myntra.com
Buy Sexy Shiny Backseam Pantyhose Ultra Sheer Seamed Tights Control Top ...
desertcart.in
Shop Wolford 3W High-Rise Control Panty | Saks Fifth Avenue
saksfifthavenue.com
Shop Wolford 3W High-Rise Control Panty | Saks Fifth Avenue
saksfifthavenue.com
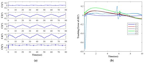
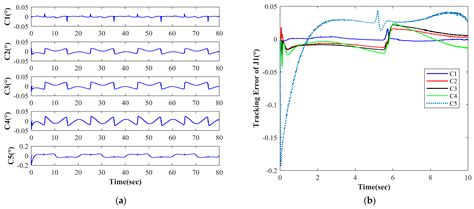
Linear-Extended-State-Observer-Based Adaptive RISE Control for the ...
mdpi.com
Linear-Extended-State-Observer-Based Adaptive RISE Control for the ...
mdpi.com
Linear-Extended-State-Observer-Based Adaptive RISE Control for the ...
mdpi.com
GLOWMODE 24" FeatherFit™ High-Rise Side Pocket Leggings for Sale ...
au.shein.com
GLOWMODE 24" FeatherFit™ High-Rise Side Pocket Leggings for Sale ...
au.shein.com
Linear-Extended-State-Observer-Based Adaptive RISE Control for the ...
mdpi.com
Sheer Curtain - Pinch Pleat - Off-White - BYM125-11 | Sedar UAE
sedarglobal.com
Linear-Extended-State-Observer-Based Adaptive RISE Control for the ...
mdpi.com
Linear-Extended-State-Observer-Based Adaptive RISE Control for the ...
mdpi.com
Linear-Extended-State-Observer-Based Adaptive RISE Control for the ...
mdpi.com
Linear-Extended-State-Observer-Based Adaptive RISE Control for the ...
mdpi.com
CCTV: Portion of a balcony roof collapses in Surat high-rise
timesofindia.indiatimes.com
Police investigating man’s death at Brockton high-rise – Boston 25 News
boston25news.com
Linear-Extended-State-Observer-Based Adaptive RISE Control for the ...
mdpi.com
Buy WISHKEY Remote Control Super High Speed Racing Car with Stylish ...
amazon.in
Diabetes Diet: Diabetes Diet Plan To Control Your Blood Sugar Levels By ...
amazon.in
Linear-Extended-State-Observer-Based Adaptive RISE Control for the ...
mdpi.com
FIMBUL Bharatanatyam Savaram & Kunjalam Kemp Ready Jada Set Hair ...
amazon.in
Buy Pure Linen Natural Beige Vertical Stripes Sheer Curtain Fabric ...
etsy.com
Healthy Directions LifeBiome Rise Confident Control - Clinically India ...
ubuy.co.in
Fire safety in high-rise façade systems
constructionworld.in
Flipkart.com - Buy FIMBUL Ear Climber Earrings Gold Crystal Earring ...
flipkart.com
Refuge areas absent in high-rise buildings – The Softcopy
thesoftcopy.in
Buy High-Rise Invasion Cosplay Sniper Tenkuu Shinpan White Smile Resin ...
desertcart.in
Black Bullet Kagetane Hiruko Mask High-Rise Invasion Mask Cosplay ...
desertcart.in
Mens Soft Sheer Mesh Ultra Low Rise Micro Mini G-String Thongs Bikini ...
desertcart.in
Eacam Remote Control Drift Car 1 16 Remote Control Car | Desertcart INDIA
desertcart.in
Tights Punishment: How to Force Your Teenage Son to Wear Pantyhose and ...
amazon.in
Check styling ideas for「High Rise Denim Shorts」| UNIQLO IN
uniqlo.com
High Rise Apartments in Delhi | The Amaryllis by Unity Group
theamaryllis.in
Subscribe to our Wienerberger India's Newsletter
wienerberger.in
Transformers Rise of the Beasts Deluxe Class — Toycra
toycra.com
Buy Orient Electric Enamour Prime 15L Glassline Storage Water Heater ...
amazon.in
Facade Cleaning Services in Delhi NCR, Facade Glass Cleaning in Noida ...
urbancleaner.in
Oyolan Mens Low Rise Smooth Bulge Pouch Leggings Soft Thermal Underwear ...
amazon.in
D-Rise 60K Capsule 4's Price, Uses, Side Effects, Composition - Apollo ...
apollopharmacy.in
Residential projects, high rise architects | homify
homify.in
Siron LED Digital Soldering Station with 60W Soldering Iron & Stand ...
amazon.in
Graffiti artists transform Los Angeles skyscraper into street art ...
indiatoday.in
HIGH RISE SEAMED CORDUROY STEVIE FLARE | Lucky Brand
luckybrand.com
project name residential building elevation project brief it was an ...
s2astudio.in
project name residential elevation design project brief it was an ...
s2astudio.in
Dubai In June 2025: 10 Things That Make It Utterly Irresistible!
traveltriangle.com
Women's Pants Size Chart & Fit Guide
livingsocial.com
Rice for High Blood Pressure: Good or Bad? Let's find out! | Sprint Medical
sprintmedical.in
Advanced Rail Controls - Providing Rail Domain Solutions
arc.net.in
HPC 200A Connectors - TE | Mouser
mouser.in
Mindmap: Nazism and the rise of Hitler - Social Studies (SST) Class 9 ...
edurev.in
Rising sea levels pose a threat but Indian scientist says the study has ...
indiatoday.in
200 years of exploring Antarctica, the world’s most peaceful continent ...
theweek.in
- High Rise Hostel : PDEU
iqac.pdpu.ac.in
- High Rise Hostel : PDEU
iqac.pdpu.ac.in
- High Rise Hostel : PDEU
iqac.pdpu.ac.in
- High Rise Hostel : PDEU
iqac.pdpu.ac.in
India's Banana Exports: Growth, Varieties & APEDA Role
iasgyan.in
Guti Womens High Rise Ankle Length Cotton Poly Lycra Skinny Fit 4Black
guti.co.in
Check Out the list of scariest movies releasing in this month ...
bollywooddhamaka.in
Buy KNIX Super Leakproof High Rise Underwear - Period Underwear for ...
desertcart.in
Buy High Rise Invasion Cosplay Costume Maid Dress with Enis Full Sets ...
desertcart.in
Buy LTAKK Yuri High Rise Invasion Cosplay Outfits Yuri Honjo Cosplay ...
desertcart.in
Hg Power 8 Inch Exhaust Fan With Switch Powerful Kitchen | Desertcart INDIA
desertcart.in
Buy Victor High Rise Collection DC450 Dual Monitor Electric sit Stand ...
desertcart.in
List of 15 Games You Should Avoid Buying In 2019
gurugamer.com
Gen Z Is Bringing Back Y2K Fashion — And Yes, That, 60% OFF
elevate.in
Buy Men's Low Rise Bulge Pouch Backless G-String Thongs T-Back ...
desertcart.in
Types of Fire Alarm Systems with Wiring Diagrams or Loops - DEdu Labs ...
dedulabs.in
Buy Beyblade Burst Rise Hypersphere Vortex Climb Battle Set – Complete ...
desertcart.in
Uric Acid Diet and Lifestyle Tips: This will help you keep uric acid a ...
cultdesi.com
Related Searches
FIMBUL High-Rise Control Top Sheer Stockings
FIMBUL Women High-Rise Control Top Sheer Stockings
FIMBUL High-Rise Control Top Sheered Stockings
FIMBUL High-Rise Control Top Sheered Stockings
FIMBUL High-Rise Control Top Sheered Stockings
KRENOZ High Waist Control Top Sheer Stockings
Krelin High Waist Control Top Sheer Stockings
KRENOZ High Waist Control Top Sheer Stockings
Krelin High Waist Control Top Sheer Stockings
Krelin High Waist Control Top Sheer Stockings
Search
×
Search
Loading...
No suggestions found