Find Your Style
Women
Men
Accessories
Search for clothing, brands, styles...
×
Women
Men
Accessories
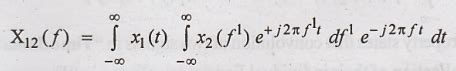
Convolution Theorem For Fourier Transform
Search
Loading...
No suggestions found
Convolution Theorem and Fourier Series Analysis (MATH 36017) - Studocu
studocu.com
Fourier Transform Pair - Definition, Properties, Proof Statement ...
mech.poriyaan.in
Fourier Transform Pair - Definition, Properties, Proof Statement ...
mech.poriyaan.in
Fourier Transform Pair - Definition, Properties, Proof Statement ...
mech.poriyaan.in
Fourier Transform Pair - Definition, Properties, Proof Statement ...
mech.poriyaan.in
Fourier Transform Pair - Inversion Formula For Fourier Transform
civil.poriyaan.in
Fourier transform theorems - Fourier Transform Theorems Addition ...
studocu.com
Problems based on Fourier Transform [Complex Fourier Transform] - Examples
civil.poriyaan.in
M3-Fourier Transform Assinment - 0 State and Prove Convolution Theorem ...
studocu.com
Fourier Transform Pair - Definition, Properties, Proof Statement ...
mech.poriyaan.in
Fourier Transform Pair - Definition, Properties, Proof Statement ...
mech.poriyaan.in
Fourier Transform Pair - Definition, Properties, Proof Statement ...
mech.poriyaan.in
Continuous Time Fourier Transform - Existence of Fourier Transform ...
ece.poriyaan.in
Continuous Time Fourier Transform - Existence of Fourier Transform ...
ece.poriyaan.in
Fourier Transform Pair - Definition, Properties, Proof Statement ...
mech.poriyaan.in
Fourier Transform Pair - Definition, Properties, Proof Statement ...
mech.poriyaan.in
Fourier Transform Pair - Definition, Properties, Proof Statement ...
mech.poriyaan.in
Fourier Transform Pair - Inversion Formula For Fourier Transform
civil.poriyaan.in
Fourier Transform Pair - Definition, Properties, Proof Statement ...
mech.poriyaan.in
How Fourier Transform is Used in Deep Learning?
icymi.in
Fourier Transform Pair - Definition, Properties, Proof Statement ...
mech.poriyaan.in
Fourier Transform Pair - Definition, Properties, Proof Statement ...
mech.poriyaan.in
Fourier Transform Pair - Definition, Properties, Proof Statement ...
mech.poriyaan.in
Fourier Transform Pair - Definition, Properties, Proof Statement ...
mech.poriyaan.in
Fourier Transform Pair - Definition, Properties, Proof Statement ...
mech.poriyaan.in
Fourier Transform Pair - Definition, Properties, Proof Statement ...
mech.poriyaan.in
Fourier Transform Pair - Definition, Properties, Proof Statement ...
mech.poriyaan.in
Fourier Transform Pair - Definition, Properties, Proof Statement ...
mech.poriyaan.in
Fourier Transform Pair - Definition, Properties, Proof Statement ...
mech.poriyaan.in
Fourier Transform Pair - Definition, Properties, Proof Statement ...
mech.poriyaan.in
Fourier Transform Pair - Definition, Properties, Proof Statement ...
mech.poriyaan.in
Fourier Transform Pair - Definition, Properties, Proof Statement ...
mech.poriyaan.in
Fourier Transform Pair - Definition, Properties, Proof Statement ...
mech.poriyaan.in
Fourier Transform Pair - Definition, Properties, Proof Statement ...
mech.poriyaan.in
Fourier Transform Pair - Definition, Properties, Proof Statement ...
mech.poriyaan.in
Fourier Transform Pair - Definition, Properties, Proof Statement ...
mech.poriyaan.in
Fourier Transform Pair - Definition, Properties, Proof Statement ...
mech.poriyaan.in
Fourier Transform Pair - Definition, Properties, Proof Statement ...
mech.poriyaan.in
Fourier Transform Pair - Definition, Properties, Proof Statement ...
mech.poriyaan.in
Fourier Transform Pair - Definition, Properties, Proof Statement ...
mech.poriyaan.in
Fourier Transform Pair - Definition, Properties, Proof Statement ...
mech.poriyaan.in
Fourier Transform Pair - Definition, Properties, Proof Statement ...
mech.poriyaan.in
Problems based on Fourier Transform [Complex Fourier Transform] - Examples
civil.poriyaan.in
Fourier Transform Pair - Definition, Properties, Proof Statement ...
mech.poriyaan.in
Fourier Transform Pair - Definition, Properties, Proof Statement ...
mech.poriyaan.in
Fourier Transform Pair - Inversion Formula For Fourier Transform
civil.poriyaan.in
Fourier Transform Pair - Definition, Properties, Proof Statement ...
mech.poriyaan.in
Convolution Theorem - Definition
civil.poriyaan.in
Virtual Lab
lakshya.vcetputtur.ac.in
Fourier Transform Pair - Definition, Properties, Proof Statement ...
mech.poriyaan.in
Fourier Transform Pair - Definition, Properties, Proof Statement ...
mech.poriyaan.in
Fourier Transform Pair - Definition, Properties, Proof Statement ...
mech.poriyaan.in
Fourier Transform Pair - Definition, Properties, Proof Statement ...
mech.poriyaan.in
Fourier Transform Pair - Definition, Properties, Proof Statement ...
mech.poriyaan.in
Inverse Laplace Transform - Inverse Laplace Transform using Partial ...
ece.poriyaan.in
Fourier Transform Pair - Definition, Properties, Proof Statement ...
mech.poriyaan.in
Fourier Transform Pair - Definition, Properties, Proof Statement ...
mech.poriyaan.in
Fourier Transform Pair - Definition, Properties, Proof Statement ...
mech.poriyaan.in
Fourier Transform Pair - Definition, Properties, Proof Statement ...
mech.poriyaan.in
Fourier Transform Pair - Inversion Formula For Fourier Transform
civil.poriyaan.in
Fourier Transform Pair - Definition, Properties, Proof Statement ...
mech.poriyaan.in
Fourier Transform Pair - Definition, Properties, Proof Statement ...
mech.poriyaan.in
Continuous Time Fourier Transform - Existence of Fourier Transform ...
ece.poriyaan.in
Fourier Transform Pair - Definition, Properties, Proof Statement ...
mech.poriyaan.in
Continuous Time Fourier Transform - Existence of Fourier Transform ...
ece.poriyaan.in
Fourier Transform Pair - Definition, Properties, Proof Statement ...
mech.poriyaan.in
Fourier Transform Pair - Definition, Properties, Proof Statement ...
mech.poriyaan.in
Fourier Transform Pair - Definition, Properties, Proof Statement ...
mech.poriyaan.in
Fourier Transform Pair - Definition, Properties, Proof Statement ...
mech.poriyaan.in
Fourier Transform Pair - Definition, Properties, Proof Statement ...
mech.poriyaan.in
Fourier Transform Pair - Definition, Properties, Proof Statement ...
mech.poriyaan.in
Fourier Transform Pair - Definition, Properties, Proof Statement ...
mech.poriyaan.in
Problems based on Fourier Transform [Complex Fourier Transform] - Examples
civil.poriyaan.in
Convolution Theorem - Definition
civil.poriyaan.in
Fourier Transform Pair - Definition, Properties, Proof Statement ...
mech.poriyaan.in
Fourier Transform Pair - Inversion Formula For Fourier Transform
civil.poriyaan.in
Fourier Transform Pair - Definition, Properties, Proof Statement ...
mech.poriyaan.in
Fourier Transform Pair - Definition, Properties, Proof Statement ...
mech.poriyaan.in
Fourier Transform Pair - Definition, Properties, Proof Statement ...
mech.poriyaan.in
Continuous Time Fourier Transform - Existence of Fourier Transform ...
ece.poriyaan.in
Convolution Theorem - Definition
civil.poriyaan.in
Fourier Transform Pair - Definition, Properties, Proof Statement ...
mech.poriyaan.in
Fourier Transform Pair - Definition, Properties, Proof Statement ...
mech.poriyaan.in
Fourier Transform Pair - Definition, Properties, Proof Statement ...
mech.poriyaan.in
Problems Based on Fourier Transform - Inverse Fourier Transform
ece.poriyaan.in
Fourier Transform Pair - Definition, Properties, Proof Statement ...
mech.poriyaan.in
Fourier Transform Pair - Definition, Properties, Proof Statement ...
mech.poriyaan.in
Fourier Transform Pair - Inversion Formula For Fourier Transform
civil.poriyaan.in
Fourier Transform Pair - Inversion Formula For Fourier Transform
civil.poriyaan.in
Fourier Transform Pair - Definition, Properties, Proof Statement ...
mech.poriyaan.in
Fourier Transform Pair - Definition, Properties, Proof Statement ...
mech.poriyaan.in
Buy Fast Fourier Transform and Convolution Algorithms: 002 (Springer ...
amazon.in
Continuous Time Fourier Transform - Existence of Fourier Transform ...
ece.poriyaan.in
Continuous Time Fourier Transform - Existence of Fourier Transform ...
ece.poriyaan.in
Convolution Theorem - Definition, Statement, Proof, Solved Example ...
mech.poriyaan.in
Continuous Time Fourier Transform - Existence of Fourier Transform ...
ece.poriyaan.in
Fourier Transform Pair - Definition, Properties, Proof Statement ...
mech.poriyaan.in
Convolution - Concept of convolution, Properties of Convolution
ece.poriyaan.in
Properties of Laplace Transforms
ece.poriyaan.in
Continuous Time Fourier Transform - Existence of Fourier Transform ...
ece.poriyaan.in
Fourier Transform Pair - Definition, Properties, Proof Statement ...
mech.poriyaan.in
Convolution - Concept of convolution, Properties of Convolution
ece.poriyaan.in
Convolution Theorem - Vector Calculus, Differential Equations And ...
studocu.com
Fourier Transform Pair - Definition, Properties, Proof Statement ...
mech.poriyaan.in
Fourier Transform Pair - Definition, Properties, Proof Statement ...
mech.poriyaan.in
Fourier Transform Pair - Definition, Properties, Proof Statement ...
mech.poriyaan.in
Continuous Time Fourier Transform - Existence of Fourier Transform ...
ece.poriyaan.in
Continuous Time Fourier Transform - Existence of Fourier Transform ...
ece.poriyaan.in
Fourier Transform Pair - Definition, Properties, Proof Statement ...
mech.poriyaan.in
Convolution - Concept of convolution, Properties of Convolution
ece.poriyaan.in
Convolution Theorem - Definition, Statement, Proof, Solved Example ...
mech.poriyaan.in
Fourier Transform Pair - Definition, Properties, Proof Statement ...
mech.poriyaan.in
Continuous Time Fourier Transform - Existence of Fourier Transform ...
ece.poriyaan.in
Fourier Transform Pair - Inversion Formula For Fourier Transform
civil.poriyaan.in
Convolution - Concept of convolution, Properties of Convolution
ece.poriyaan.in
Convolution Theorem - Definition
civil.poriyaan.in
Fourier Transform Pair - Definition, Properties, Proof Statement ...
mech.poriyaan.in
Fourier Transform Pair - Inversion Formula For Fourier Transform
civil.poriyaan.in
Continuous Time Fourier Transform - Existence of Fourier Transform ...
ece.poriyaan.in
Continuous Time Fourier Transform - Existence of Fourier Transform ...
ece.poriyaan.in
Related Searches
Convolution in Fourier Transform
Fourier Convolution Theorem
Convolution Formula
Fourier Integral Theorem
Shifting Theorem Fourier Transform
Convolution Equation
Fourier Transform Matrix Convolution
Dirac Delta Function Fourier Transform
Convolution Theorem Formula for Fourier Transform
Fourier Series Convolution Theorem
Fourier Transform Table
Convolution Example
Parseval Theorem
Fourier Transform of the Derivative
Discrete Convolution Theorem
Fourier Transform of Triangle Function
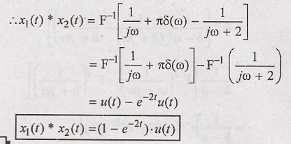
State and Prove Convolution Theorem
Fourier Transform of Convolution Proof
Convolution Laplace Transform
Fourier Transform of Polynomial
Fourier Transform Properties Table
Double Fourier Transform
PDE Fourier Transform
Inverse Convolution Theorem
Plancherel's Theorem
Complex Fourier Transform
Fourier Theorum
FFT Convolution
Modulation Theorem
Box Function Fourier Transform
Convolution of Polynomials
Fourier Transform Pair Convolution
What Is Convolution Theorem
Three-Dimensional Fourier Transform
Numerical Convolution
Fourier Transform Dirac Comb
Convolution Theorem DFT
Pulse Train Fourier Transform
Convoution Theorem
Fourier Convolution Theorem Derivation
Convolution Theorem Examples
Common Fourier Transforms
Fourier-Transformation
FFT Convolution Excel Example
Fast Fourier Transforms Convolution
Frequency Convolution Theorem
Convolution Thm Fourier
Fourier Transform Convolutio
Classical Music Fourier Transform
Forier Tranfsorm Convolution
Search
×
Search
Loading...
No suggestions found