Find Your Style
Women
Men
Accessories
Search for clothing, brands, styles...
×
Women
Men
Accessories
Cosh Inverse Formula
Search
Loading...
No suggestions found
Inverse Trigonometric Functions: cos Inverse Function Video Lecture ...
edurev.in
what is the principle value of cos inverse 1 by root 2 - Brainly.in
brainly.in
Derive cos inverse x - cos inverse y - Brainly.in
brainly.in
COS^-1(63/65) + cos^-1(12/13)inverse trigonometry chapter 12 std ...
brainly.in
Cos inverse(cos 2 pi 3)+sin inverse (sin 2 pi 3) - CBSE Class 12 Maths ...
ask.learncbse.in
COS^-1(63/65) + cos^-1(12/13)inverse trigonometry chapter 12 std ...
brainly.in
x x cos inverse formulae g i r l what are all trigonometry formula ...
brainly.in
31) if Sin inverse x - Cos inverse X is equal to pi / 6 then X is ...
brainly.in
Solve cos(tan inverse x) = sin(cot inverse 3/4)? - EduRev Class 12 Question
edurev.in
Inverse Trigonometric Function Notes for Class 12 and IIT JEE
esaral.com
Find the value of cos inverse of 1 by root3 - Brainly.in
brainly.in
how I will solve the principal value of Cos inverse cos 5 - Brainly.in
brainly.in
Drawing the graph of inverse trigonometric functions sin inverse X and ...
brainly.in
If cos inverse x plus cos inverse y is equal to two pi by three find ...
brainly.in
Inverse Trigonometric Function Notes for Class 12 and IIT JEE
esaral.com
Find value of x 2tan inverse(cos x) = tan inverse(2cosec x) - Brainly.in
brainly.in
cosCos inverse root 3 X + Cos inverse X equal to pi by 2 - Brainly.in
brainly.in
Cos inverse x/a + cos inverse y/b =अल्फा, prove that x ^2/a^2 _2xy/ ab ...
brainly.in
[Expert Answer] find the principal value of cos inverse (-1/2) - Brainly.in
brainly.in
if Cos inverse X + Cos inverse Y + Cos inverse Z is equals to pithen ...
brainly.in
Inverse Trigonometric Functions: Definition, Formulas, Domain and Range
allen.in
Q.27. the solution of the differential equation for y): y= 2 cosh ...
scoop.eduncle.com
1.draw the graph of sin inverse x and cos inverse x using the graph of ...
brainly.in
By using principal value evaluate cos inverse cos 2pi 3 - Brainly.in
brainly.in
Cos inverse X + Cos inverse y formula - Brainly.in
brainly.in
Inverse Trigonometric Function Notes for Class 12 and IIT JEE
esaral.com
If sin inverse x+sin inverse y=pie/2..find cos inverse x+ cos inverse y ...
brainly.in
If sin inverse x =cos inverse y then show that x²+y²=1 - Brainly.in
brainly.in
Draw the graph of `y=sin^(-1)(cosx)`.
allen.in
Inverse Trigonometric Function Notes for Class 12 and IIT JEE
esaral.com
Draw the graph of sin inverse x, cos inverse x and tan inverse x with ...
brainly.in
Trigonometric Functions: Definition, Formula & Properties - Maths ...
aakash.ac.in
show that: sin(inverse) (12/13) + cos(inverse) (4/5) + tan(inverse) (63 ...
brainly.in
Inverse Trigonometric Function Notes for Class 12 and IIT JEE
esaral.com
Inverse Trigonometric Functions: Domain, Range & Graphs | AESL
aakash.ac.in
Cosine Formula: Explanation, Definition And Solved Examples
pw.live
Inverse Trigonometric Function Notes for Class 12 and IIT JEE
esaral.com
Mind Maps for Inverse Trigonometric Functions Revision - Class 12, JEE
esaral.com
Inverse Trigonometric Function Notes for Class 12 and IIT JEE
esaral.com
Inverse Trigonometric Function Notes for Class 12 and IIT JEE
esaral.com
Trigonometric Table: Formula, Value, Chart, PDF
adda247.com
Drawing the graph of inverse trigonometric function sin inverse x and ...
brainly.in
Question 2: Prove 3cos¯¹ x = cos¯¹ (4x³ – 3x), x ∈ [1/2,1] Class 12 ...
brainly.in
[Answered] cos inverse x + cos inverse y + cos inverse z =π ,then prove ...
brainly.in
Inverse Matrix Formula: Examples, Properties, Method
pw.live
JEE- Inverse Trigonometry Slide 020923 - The value of cos– 1 (cos 10 ...
studocu.com
if cos inverse (y/b) = log (x/n)" prove thatx²(y base n+2) + (2n + 1)x ...
brainly.in
Differentiation of Tan Inverse x - Explanation, Formula, Examples
adda247.com
principal value of cos inverse x - Brainly.in
brainly.in
Differentiate cos inverse (2x square -1) with respect to cos inverse ...
brainly.in
sin inverse X + Sin inverse 1 - X equal to Cos inverse X find the value ...
brainly.in
Differentiation of Tan Inverse x - Explanation, Formula, Examples
adda247.com
Cos inverse cos 7 pi by 6 - Brainly.in
brainly.in
4 cos inverse x plus sin inverse x equal to pi what is value of x ...
brainly.in
Trigonometry Formula Tricks, Identities, Trigonometric Ratio
sscadda.com
integration Sin inverse root X + Cos inverse root x dx - Brainly.in
brainly.in
if cos inverse (y/b) = log (x/n)" prove thatx²(y base n+2) + (2n + 1)x ...
brainly.in
find the value of Cos inverse 1 by 2 + 2 Sin inverse 1 by 2 - Brainly.in
brainly.in
Sin inverse 1/ root 5 + cos inverse 1/root3 - Brainly.in
brainly.in
the inverse laplace transform of s/(s^2+1)(s^2+4) is: 1. 1/3(cos t ...
brainly.in
Cos inverse minus 1 by 2 - Brainly.in
brainly.in
sin(1/2 cos inverse 4/5) ??evaluate - Brainly.in
brainly.in
Find the value of cos inverse of 1 by root3 - Brainly.in
brainly.in
cosCos inverse root 3 X + Cos inverse X equal to pi by 2 - Brainly.in
brainly.in
Fourier Transform Pair - Inversion Formula For Fourier Transform
civil.poriyaan.in
cos⁻¹(2x²-1) = 2cos⁻¹x, 0
brainly.in
Solve this..... tan inverse(1) + [cos inverse(-1/2)+ sin inverse(-1/2 ...
brainly.in
cos ( 2 sin inverse x) = 1/9 - Brainly.in
brainly.in
simplify Cos inverse into cos 121 pi by 4 minus 10 inverse into 10 129 ...
brainly.in
பயிற்சி 4.2: கொசைன் சார்பு மற்றும் நேர்மாறு கொசைன் சார்பு (The Cosine ...
brainkart.in
Cos inverse (cos7π/6) Find principal value... - Brainly.in
brainly.in
Sin(2tan inverse 2/3)+cos(tan inverse root 3) - Brainly.in
brainly.in
write sin inverse 3/5 in terms of cos inverse tan inverse and cot ...
brainly.in
How to solve 1.cos 40degree 2. Cos 70 degree 3.cos inverse(0.7) 4.cos ...
brainly.in
how to convert tan inverse to cos inverse formula - Brainly.in
brainly.in
Question: cos inverse 1/5 = ? - Brainly.in
brainly.in
50+ inverse trigonometric functions worksheets on Quizizz | Free ...
quizizz.com
prove that sin inverse [tex]\frac{3}{5}[/tex]+sin inverse [tex]\frac{-8 ...
brainly.in
Inverse Square Law Formula - Definition, Solved Questions
pw.live
cos inverse ( 3/5 cos x +4/5 sin x) - Brainly.in
brainly.in
Drawing the graph of inverse trigonometric function sin inverse x and ...
brainly.in
Cos inverse (cos7π/6) Find principal value... - Brainly.in
brainly.in
Inverse Matrix Formula: Examples, Properties, Method
pw.live
CBSE Class 12 Maths Chapter 3 Matrices Formulas List, Important ...
jagranjosh.com
Inverse Trigonometric Function Notes for Class 12 and IIT JEE
esaral.com
Inverse Trigonometric Function Notes for Class 12 and IIT JEE
esaral.com
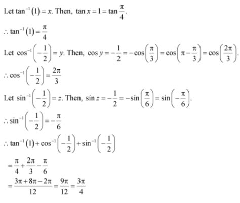
Find the principal values of tan-1(1) + cos-1(-1/2) + sin -1(-1/2 ...
ask.learncbse.in
Integration of Tan x - Explanation, Formula, Proof, Examples
adda247.com
50+ trigonometric ratios sin cos tan csc sec and cot worksheets for ...
quizizz.com
drawing the graph of inverse trigonometric functions sin inverse X and ...
brainly.in
cos inverse (15/17)+cos inverse(3/5)=cosinverse(13/85)prove it - Brainly.in
brainly.in
Show that the function u=cos x cosh y is harmonic and find its harmonic ...
scoop.eduncle.com
Physics Engineering - 3 HYPERBOLIC FUNCTIONS sech x cosh x x 1 2 3 4 − ...
studocu.com
show that sin inverse 2x under root 1 - x square is equal to minus 25 ...
brainly.in
GP Formula- Sum of n Terms, Sum of Infinite GP
adda247.com
Cos inverse 12/13 + sin inverse 3/5 =sin inverse 56/65 - Brainly.in
brainly.in
prove that tan inverse 1 by 1 + x square by 1 + x square minus root 1 ...
brainly.in
Show that the function u=cos x cosh y is harmonic and find its harmonic ...
scoop.eduncle.com
simplify Cos inverse into cos 121 pi by 4 minus 10 inverse into 10 129 ...
brainly.in
Sin Cos Tan Formula, Values, Use, Table, Tips, And Trick
pw.live
Prove this : Cos inverse 3/5 + cos inverse 4/5 = π/2 - Brainly.in
brainly.in
show that sin inverse 2x under root 1 - x square is equal to minus 25 ...
brainly.in
50+ derivatives of trigonometric functions worksheets for 9th Class on ...
quizizz.com
Gauss Law or Gauss Theorem : Solid Angle and Electric Flux|Chemistry Page
chemistrypage.in
Find dy/dx,if y=(cosx)^x+cos inverse √x - Brainly.in
brainly.in
Prove that cosh 3x = 4 cosh3 x — 3 cosh x - Brainly.in
brainly.in
Prove that: cos-1 12/13 + sin-1 3/5 = sin-1 56/65 - CBSE Class 12 Maths ...
ask.learncbse.in
value ofcos inverse 1 ( cos 14π/3) - Brainly.in
brainly.in
cosh x dy/ dx + y sinh2 x= 2 cosh x sinh x - Brainly.in
brainly.in
tan inverse 1 + Cos inverse minus 1 by 2 + Sin inverse minus one by two ...
brainly.in
cosCos inverse root 3 X + Cos inverse X equal to pi by 2 - Brainly.in
brainly.in
Find the value of tan inverse 2 Sin 2 Cos inverse root 3 by 2 - Brainly.in
brainly.in
draw the graph of sin inverse x using the graph of sin x demonstrate ...
brainly.in
Write the function in the simplest form: tan-1 (cos x - sin x /cos x ...
ask.learncbse.in
பயிற்சி 4.3: தொடுகோட்டுச் சார்பு மற்றும் நேர்மாறு தொடுகோட்டுச் சார்பு ...
brainkart.in
Derivative of cos inverse x square - Brainly.in
brainly.in
1.draw the graph of sin inverse x and cos inverse x using the graph of ...
brainly.in
Inverse Matrix Formula: Examples, Properties, Method
pw.live
find the value of theta .. if cos theta /1-sin theta + cos theta / 1 ...
brainly.in
cos jeans mens
bhaderwahcampus.in
Related Searches
Cosh Inverse X Formula
Cosh Inverse Graph
Inverse Cosh Function
Cosh Inverse Derivative
Cosh Inverse Integratiob
Cosh a B Formula
Tanh Inverse Formula
Cos Hyperbolic Inverse Formula
Coshx Inverse
Coth Inverse
Inverse Cosh Integral
Solving Inverse Cosh
Inverse Cosine Formula
Inverse Cosh Deri
Inverse Cosh Log Form
What Is Cosh Inverse
Cos Inverse 2X Formula
How to Inverse Cosh
Cos Inverse Integration Formula
Inverse Cos Rule
Inverse Sinh Formula
How to Get the Cosh Inverse
Hyperbolic Distance Formula in H in Form of Cosh Inverse
Cos Inverse Formula Example
3 Cos Inverse X Formula
How to Prove Inverse Cosh
Tan Inverse Formula
Hyperbolic Distance Formula in Hyperbolic Plane in Form of Cosh Inverse
Inverse Cosh Equal To
COA Inverse X+ Cos Inverse Y Formula
Can Cosh Inverse Caran Negative
Cos Inverse Differentiation Formula
Inversed Cosh Function
Cosh X and Its Inverse
Inverse Cos Answers
Subtraction Formula for Cos Inverse
What Is the Inverse of Cosh Equation
Inverse Trig Integral Table
How to Calculate Cosh Inverse X
Sin H Inverse COSHH Inverse Table
Cosh Inverse Logarithmic Form
Inverse Fourier Transform
Inverse Cos of Pi
Csch Inverse Graph
Inverse Trig Substitution
Inverse Cosine Formula to Find Angle
Inverse Cos of 0
Inverse Cos Simple Method
Complex Inverse Cosine Formula
Cosh Formula in Terms of Ln
Search
×
Search
Loading...
No suggestions found