Find Your Style
Women
Men
Accessories
Search for clothing, brands, styles...
×
Women
Men
Accessories
Cosmogical Constant
Search
Loading...
No suggestions found
INR extends winning streak
msn.com
usd to inr sbi rate: Latest News & Videos, Photos about usd to inr sbi ...
economictimes.indiatimes.com
Drop2Kart Bill Counter - Automatic Counting, Supports All INR Currency ...
flipkart.com
AI16Z Token Live Price Chart, AI16Z to INR live price and Market cap
suncrypto.in
INR 1.8 After Coumadin Hold? Expert Q&A on Symptoms & Solutions
justanswer.com
Sundar Pichai: Google unveils 4-step plan for 75,000 Cr INR digital ...
economictimes.indiatimes.com
Convertește Covalent X Token în INR | Prețul Covalent X Token în rupii ...
revolut.com
Airtel 48 INR 2G Data Prepaid Plan Price in India - Buy Airtel 48 INR ...
flipkart.com
Konvertuok „Covalent X Token“ į INR | „Covalent X Token“ kaina Indijos ...
revolut.com
ASTRO 兌 INR:將 AstroVerse 轉換為 印度盧比 | 實時 ASTRO 兌 INR 價格 | MEXC
mexc.co
Cosmo First bets big on capacity surge: INR 400-cr BOPP line ...
whatpackaging.co.in
Non-Local Cosmology: From Theory to Observations
mdpi.com
Non-Local Cosmology: From Theory to Observations
mdpi.com
The Kottler-Schwarzschild-Kiselev Spacetimes | Encyclopedia MDPI
encyclopedia.pub
The Accelerating Expanding Universe: Dark Matter, Dark Energy, and ...
icts.res.in
Positive Geometry in Scattering Amplitudes and Cosmological Correlators ...
icts.res.in
Research | Physics IUT
physics.iutripura.in
Large Scale Cosmological Anomalies and Inhomogeneous Dark Energy
mdpi.com
Science
wwws.rri.res.in
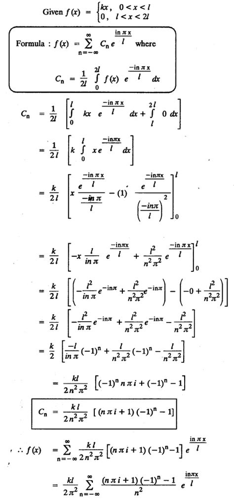
Complex Form Of Fourier Series
civil.poriyaan.in
Lecture on "The Accelerating Expanding Universe: Dark Matter, Dark ...
iitb.ac.in
Buy Einstein′s Greatest Blunder? – The Cosmological Constant & Other ...
amazon.in
Complex form of fourier series - Formula, Solved Example Problems
mech.poriyaan.in
Ligand-Promoted Surface Solubilization of TiO2 Nanoparticles by the ...
mdpi.com
Explosion Mechanism of Supernovae Providing Key Measures of ...
aries.res.in
Largest Cosmological Surveys and Big Data Science | ICTS
icts.res.in
Workshop on Geometrical and Topological Methods for Cosmological Data ...
niser.ac.in
Complex Form Of Fourier Series
civil.poriyaan.in
Introduction To Two -Fluid Cosmological Models: Buy Introduction To Two ...
flipkart.com
SRINIVASA RAMANUJAN'S CONSTANT (R) of Mathematics : IIT, IIM, UPSC and ...
amazon.in
The Accelerating Universe: Infinite Expansion, the Cosmological ...
amazon.in
the value of ideal gas constant in dm3 torr k-1 mol-1?? - Brainly.in
brainly.in
Characteristic curves of hydraulic turbines
mech.poriyaan.in
the value of universal gas constant is - Brainly.in
brainly.in
Complex Form Of Fourier Series
civil.poriyaan.in
Deduce the dimensional formula for R, using ideal gas equation PV = nRT ...
ask.learncbse.in
1-3 Arguments for the existence of God The cosmological argument - 32 1 ...
studocu.com
Complex form of fourier series - Formula, Solved Example Problems
mech.poriyaan.in
The Definition and History of Cosmology [1 min read]
fairgaze.com
The Accelerating Universe: Infinite Expansion, the Cosmological ...
amazon.in
Give numerical values of universal gas constant R - CBSE Class 11 ...
ask.learncbse.in
Value of universal gas constant (R) is same for all gases. What is its ...
brainly.in
Sell 1INCH for NZD | 1INCH to NZD Calculator
binance.com
Consistent - Home
consistent.in
Constant in C++ - C++ Tutorial
sitesbay.com
What is meant by Boltzmann constant ? Calculate its value in S.I. units ...
ask.learncbse.in
Definition of the Rate Constant and Equilibrium Constant|Chemistry Page
chemistrypage.in
Constant in C, Types of Constant in C - C Tutorial
sitesbay.com
The Anthropic Cosmological Principle : Barrow, John D., Tipler, Frank J ...
amazon.in
Some universal constants
physicsadvisor.in
Spring Constant- Definition, Formula, Value, Examples
adda247.com
The End of Everything: 5 Terrifying Ways The Universe Could End - Science
in.mashable.com
Relation Between Heat capacity at Constant Volume (CV) & Constant ...
aakash.ac.in
Complex form of fourier series - Formula, Solved Example Problems
mech.poriyaan.in
Cosmological Relativity: The Special And General Theories For The ...
flipkart.com
Express mathematically the relationship among tje resistance(R ...
brainly.in
Please give the different values of rydberg constants in different units.
scoop.eduncle.com
Buy Antique Set Online | Antique Set by Manubhai.
manubhai.in
Dynamical Systems and Cosmology (Astrophysics and Space Science Library ...
amazon.in
Manubhai Jewellers | Gold & Diamond Jewellers in Borivali, Mumbai
manubhai.in
Harvard scientist reveals formula that proves God is real
msn.com
Clapeyron Equation
home.iitk.ac.in
TL Picks: Wardrobe Items For An Aspen-Inspired Summer Retreat
travelandleisureasia.com
Fluid machinery
archive.nptel.ac.in
Find the expression of universal gas constant R in SI System in terms ...
brainly.in
Bias Compensation Techniques - Bipolar Junction Transistors (BJT)
eee.poriyaan.in
The Accelerating Universe: Infinite Expansion, the Cosmological ...
amazon.in
Strategic Analysis of amended Corporate Tax Rate Regime
taxguru.in
Complex Form Of Fourier Series
civil.poriyaan.in
TL Picks: Wardrobe Items For An Aspen-Inspired Summer Retreat
travelandleisureasia.com
TL Picks: Wardrobe Items For An Aspen-Inspired Summer Retreat
travelandleisureasia.com
International Normalized Ratio (INR) Test Meter Market Trends Report 2026
thebusinessresearchcompany.com
Faraday’s Law and Lenz’s Law
eee.poriyaan.in
Complex Form Of Fourier Series
civil.poriyaan.in
Relation Between Heat capacity at Constant Volume (CV) & Constant ...
aakash.ac.in
MSN Money
msn.com
TL Picks: Wardrobe Items For An Aspen-Inspired Summer Retreat
travelandleisureasia.com
One mole of an ideal gas is taken along the process in which PVx ...
tardigrade.in
check the dimensional consistency of escape velocity v = sq root of 2GM ...
brainly.in
Dynamical solution to the problem of a small cosmological constant and ...
ai.updf.com
In the given figure, A B is an incident wavefront and E C is refracted ...
tardigrade.in
Buy Gold Pendant Set with Earrings Online India | Latest Gold Pendant ...
manubhai.in
LEC5
home.iitk.ac.in
Power System Analysis
arctest.dev.nptel.ac.in
Manubhai Jewellers | Gold & Diamond Jewellers in Borivali, Mumbai
manubhai.in
A particle is moving in a uniform circular motion on a horizontal ...
tardigrade.in
Entropy
home.iitk.ac.in
Integrals: Moment of Inertia - Worked Examples, Exercise with Answers
mech.poriyaan.in
The dimensional formula for Boltzmann's constant - Brainly.in
brainly.in
what is dimensional formula of universal gas constant? - Brainly.in
brainly.in
Astronomers Claim The Universe Is Expanding More Rapidly Than Believed ...
in.mashable.com
TL Picks: Wardrobe Items For An Aspen-Inspired Summer Retreat
travelandleisureasia.com
The Sabarmati Report movie ending explained: What occurred in Godhra?
lifestyleasia.com
Buy Ethereal Glamorous Drop Earrings Online | Ethereal Glamorous Drop ...
manubhai.in
Bias Compensation Techniques - Bipolar Junction Transistors (BJT)
eee.poriyaan.in
Steady State Molecular Diffusion In Fluids Under Stagnant And Laminar ...
edurev.in
Figure 14.1 T cell receptor complex:
archive.nptel.ac.in
4 Huge Mistakes That Einstein Made In His Entire Life - MobyGeek.com
mobygeek.com
Introduction to Cosmology South Asia Edition: Buy Introduction to ...
flipkart.com
Integrals: Moment of Inertia - Worked Examples, Exercise with Answers
mech.poriyaan.in
Integrals: Moment of Inertia - Worked Examples, Exercise with Answers
mech.poriyaan.in
School of Physics
sop.uohyd.ac.in
TL Picks: Wardrobe Items For An Aspen-Inspired Summer Retreat
travelandleisureasia.com
Virtual labs - IIT Kanpur
home.iitk.ac.in
Derive expression for force of attraction between two bodies and then ...
ask.learncbse.in
In the above figure, a circuit is placed perpendicular to a magnetic ...
tardigrade.in
For the graph of collector plate potential versus photo electric ...
tardigrade.in
Digital image processing
archive.nptel.ac.in
Complex form of fourier series - Formula, Solved Example Problems
mech.poriyaan.in
Buy Measurement of the Universal Gas Constant R Using a Spherical ...
amazon.in
TL Picks: Wardrobe Items For An Aspen-Inspired Summer Retreat
travelandleisureasia.com
Relation Between Heat capacity at Constant Volume (CV) & Constant ...
aakash.ac.in
Understanding constant voltage & current | Rohde & Schwarz
rohde-schwarz.com
p3d.in - R
p3d.in
Buy Antique Set Online | Antique Set by Manubhai.
manubhai.in
TL Picks: Wardrobe Items For An Aspen-Inspired Summer Retreat
travelandleisureasia.com
SHREE RAM - Cosmogical Timeline by Shashtras and Science - in Hindi ...
amazon.in
The variation of electric potential with distance from a fixed point is ...
tardigrade.in
Constants and Literals - Constants and Literals Constants refer to ...
studocu.com
Clapeyron Equation
home.iitk.ac.in
Related Searches
Cosmological Constant Symbol
Cosmology Model
Einstein Quantum Physics
Cosmological Constant Equation
Dark Energy Theory
Cosmological Domain Wall
Cosmological Principle
Dark Matter Theory
Dark Energy Universe
General Relativity Field Equation
Universe Evolution
Cosmological Map
Time Constant Equation
Big Crunch
Cosmological Horizon
Hubble's Law
Cosmological Redshift
Anthropic Principle
Einstein Tensor
Cosmological Reference Frame
Universal Constant
What Is Quantum Mechanics
Lambda Equation
Einstein's Biggest Blunder
Einstein Equations with Cosmological Constant
Static Universe
Cosmological Diagram
Minkowski Diagram
Cosmological Constant Triangle Square Number
Cosmological Graph
Dark Matter Formula
Earth Galaxy Universe
God and the Cosmological Constant
Sign for Cosmological Constant
Accelerating Universe
Tee Shirt Change the Cosmological Constant
Fine Structure Constant
Cosmology Scale
Density Universes
Universe Expansion Constant
Standard Model
Einstein Hilbert with Cosmological Constant
13 Dimensions of the Universe
Dark Electricity
Equation of State Cosmology
Open Closed and Flat Universe
End of the Universe
Cosmological Event Horizon
Scalar Field
Cosmic Acceleration
Search
×
Search
Loading...
No suggestions found