Find Your Style
Women
Men
Accessories
Search for clothing, brands, styles...
×
Women
Men
Accessories
Covariance Example
Search
Loading...
No suggestions found
INR Full Form: What is full form of INR?
bankersadda.com
Goldstone Tech acquires 'WowTruck' at INR 8 cr
psuconnect.in
1 LTC to INR Converter, 1 Litecoin to INR in 2022 - Exchanger24
exchanger24.org
India Saves INR 35,000 Crore By Buying Discounted Oil from Russia » Car ...
carblogindia.com
Foodie Tour of the Sydney Opera House in Sydney from INR 15573 | Pelago
pelago.co
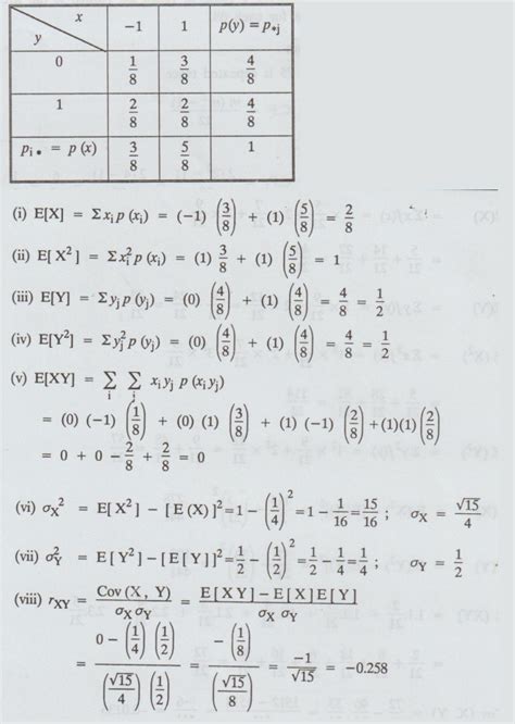
Covariance, correlation and regression: Example Solved Problems - Two ...
eee.poriyaan.in
Covariance, correlation and regression: Example Solved Problems - Two ...
eee.poriyaan.in
Covariance, correlation and regression: Example Solved Problems - Two ...
eee.poriyaan.in
Covariance, correlation and regression: Example Solved Problems - Two ...
eee.poriyaan.in
Covariance, correlation and regression: Example Solved Problems - Two ...
eee.poriyaan.in
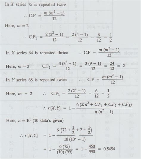
1. Covariance - Module:1 Correlation Basic statistics: mean, median ...
studocu.com
Covariance, correlation and regression: Example Solved Problems - Two ...
eee.poriyaan.in
Covariance, correlation and regression: Example Solved Problems - Two ...
eee.poriyaan.in
Covariance, correlation and regression: Example Solved Problems - Two ...
eee.poriyaan.in
GMD - Accounting for effects of coagulation and model uncertainties in ...
gmd.copernicus.org
Covariance-values
projectguru.in
Identification of Noise Covariance Matrices to Improve Orientation ...
mdpi.com
School of Stocks - Calculating Covariance Matrix and Portfolio Variance ...
fyers.in
Implementation of Two-Mode Gaussian States Whose Covariance Matrix Has ...
mdpi.com
Guidelines for Selecting the Covariance Structure in Mixed Model ...
studocu.com
Stacks | Learn Everything about Stacks in DSA
talentbattle.in
Guidelines for Selecting the Covariance Structure in Mixed Model ...
studocu.com
Qi. the wavefunction of a particle is given by = %+iowhere and are the ...
scoop.eduncle.com
Anticoagulation in Acute Pulmonary Embolism: Which Drug? How Long ...
universimed.com
Second Order Low Pass Butterworth Filter using Op-amp - Operational ...
eee.poriyaan.in
Covariance, correlation and regression: Example Solved Problems - Two ...
eee.poriyaan.in
Factor XI/XIa Inhibition: The Arsenal in Development for a New ...
mdpi.com
USD/INR Cracks Big: Falls 2% in 4 Days! | Investing.com India
in.investing.com
Matrices and vectors math for AI with Python examples - DataChild
datachild.net
Sample Abstract for International Conference 1 - Title ...
studocu.com
SBI BANK CODE SBCHQ-GEN-PUB-IND-INR MEANING.SBI DIFFERENT TYPES OF ...
digitalhelper.in
Session+Summary+-+Covariance+and+CorrelationSineflex An Sineflex ...
studocu.com
International Trade Settlement in Indian Rupee (INR)
taxguru.in
Sortino Ratio - Formula & Example | How is the Sortino Ratio Calculated?
groww.in
Enantiomers: Definitions, Examples, Properties, Representation ...
collegesearch.in
Fillable Online HOME INTERNATIONAL NORMALIZED RATIO (INR) MONITORING ...
pdffiller.com
Free Invoice Format | Download and Send Invoices Easily - Wise
wise.com
Country notebook example international marketing - Country Notebook ...
studocu.com
At His Son’s Wedding, Gautam Adani Commits to Seva; Sets An Example By ...
timesnownews.com
Free Invoice Format | Download and Send Invoices Easily - Wise
wise.com
International Trade Settlement in Indian Rupee (INR)
taxguru.in
Warfarin Dose Adjustment Chart - Fill Online, Printable, Fillable ...
pdffiller.com
Codominance - Definition, Ratio, Blood Group Example and Facts
careerpower.in
Resume Examples for Various Industries | Sample CV Templates
resumewritingservices.in
Please help with in-hand salary calculation Deloitte India Deloitte ...
glassdoor.co.in
Consulting Invoice Template for download
zoho.com
Mobile Shop Bill Format Download | Free Invoice Template For Mobile Shop
stockregister.in
USDINR – Is It A Price Action Pullback Or Shakeout ? | Investing.com India
in.investing.com
GST Export Invoice with Foreign Currency Billing
billingsoftware.in
Maruti dealers and showrooms in Ahmedabad | Kiran Maruti
kiranmotors.co.in
Accounting for Management: Text and Cases, 3e by S.K. Bhattacharyya ...
vikaspublishing.com
Buy Regression Analysis By Example Using R Book Online at Low Prices in ...
amazon.in
Discover The Best Brands & Recommendations For Basics | LBB
lbb.in
GST Export Invoice and Foreign Currency Billing | Sleek Bill
sleekbill.in
TechRangers_DP203
techrangers.in
Currency Exchange in Chandigarh at the Best Forex Rates Online
makemytrip.com
Codominance - Definition, Ratio, Blood Group Example and Facts
careerpower.in
Examination and Modification of Multi-Factor Model in Explaining Stock ...
mdpi.com
TechRangers_DP203
techrangers.in
Codominance - Definition, Ratio, Blood Group Example and Facts
careerpower.in
Invoice Format Templates | Customize, Print & Email - Refrens
refrens.com
5 Examples of Global Trade: Exploring Globalization's Impact
shallbd.com
GeForce.com Fallout 4 God Rays Quality (NVIDIA Volumetric Lighting ...
images.nvidia.com
Codominance - Definition, Ratio, Blood Group Example and Facts
careerpower.in
Free, Easy-To-Use, Excel Templates: Billing & stocking template for a ...
xlant.in
2006 UK NHS Home Oxygen Order Form (HOOF) Fill Online, Printable ...
pdffiller.com
GeForce.com Fallout 4 God Rays Quality (NVIDIA Volumetric Lighting ...
images.nvidia.com
GeForce.com Tom Clancy's The Division Contact Shadows Interactive ...
images.nvidia.com
Pharmaceutical Effervescent Tablets - Paracetamol 500mg with Vitamin C ...
stravahealthcare.in
GeForce.com Fallout 4 God Rays Quality (NVIDIA Volumetric Lighting ...
images.nvidia.com
Insugen R Refil 100 IU Cartridge 5 * 3 ML | Order Insugen R Refil 100 ...
truemeds.in
What Is Put – Call Ratio And What Does It Says About Nifty? | Investing ...
in.investing.com
Objectives of Research - OBJECTIVES OF RESEARCH Research is defined as ...
studocu.com
Maruti Wagon R Brochure | Download Wagon R Brochure Online
autovista.in
Cover Letter for Journal Submission: Sample & How To Write
zety.com
LRS Cash Receipt Book - 50 Sheets (Pack of 12) : Amazon.in: Office Products
amazon.in
India@2047 - PwC India
pwc.in
GeForce.com Fallout 4 uGridsToLoad Interactive Comparison: 11 uGrids vs ...
images.nvidia.com
Five Times The RBI Has Withdrawn Or Demonetised Indian Currency Notes
indiatimes.com
Warfarin Sodium
kmpharma.in
Dd 1561 Example - Fill Online, Printable, Fillable, Blank | pdfFiller
pdffiller.com
MSN Money
msn.com
GeForce.com Watch Dogs 2 Geometry Interactive Comparison: Ultra vs ...
images.nvidia.com
GST Council Newsletter for the month of July, 2022
taxguru.in
18 Professional CV Templates to Download (PDF/Word Format)
zety.com
Basic assumptions of Research - Basic assumptions of Research ...
studocu.com
GeForce.com Tom Clancy's The Division Object Detail Interactive ...
images.nvidia.com
18 Printable fedex shipping forms Templates - Fillable Samples in PDF ...
pdffiller.com
What is commercial invoice in exports?
sell.amazon.in
English CAPS Planning and Record Sheet - Grade R
twinkl.co.in
GeForce.com Gears of War 4 Scaled Resolution Interactive Comparison ...
images.nvidia.com
GeForce.com Assassin's Creed Syndicate Environment Quality Interactive ...
images.nvidia.com
GeForce.com Titanfall 2 Sun Shadow Detail Interactive Comparison: High ...
images.nvidia.com
GeForce.com Assassin's Creed Syndicate Ambient Occlusion-Only ...
images.nvidia.com
GeForce.com Fallout 4 Actor Fade Interactive Comparison: Detail Level ...
images.nvidia.com
The Wire: The Wire News India, Latest News,News from India, Politics ...
thewire.in
How to Generate High Dividend Returns from Investments? – Lateral Thinking
garao.in
Mini Skirts & Eclectic Metallics Get Our Vote This Month | Grazia India
grazia.co.in
GeForce.com Assassin's Creed Syndicate Ambient Occlusion Interactive ...
images.nvidia.com
NTPC Bongaigaon sets a remarkable example on International Women’s Day
psuconnect.in
GeForce.com Assassin's Creed Syndicate Ambient Occlusion-Only ...
images.nvidia.com
GeForce.com Gears of War 4 Light Scattering Quality Interactive ...
images.nvidia.com
International Business Plan Sample Pdf Deca - Fill and Sign Printable ...
uslegalforms.com
Newton's First Law of Motion: Definition, Formulas, Examples
careerpower.in
How to Write a Memo [Template & Examples] - Blog
appsmanager.in
18 Printable paper survey template Forms - Fillable Samples in PDF ...
pdffiller.com
GeForce.com Call of Duty: Black Ops 3 Order Independent Transparency ...
images.nvidia.com
GeForce.com Rise of the Tomb Raider Ambient Occlusion Interactive ...
images.nvidia.com
A testimonial is one of the propaganda techniques used majorly in the ...
brainly.in
18 Printable fedex shipping forms Templates - Fillable Samples in PDF ...
pdffiller.com
GeForce.com Fallout 4 Anti-Aliasing Interactive Comparison: TAA vs ...
images.nvidia.com
34+ Free Editable Travel Letter Templates in MS Word [DOC] | pdfFiller
pdffiller.com
Loading TMS..
tms.wify.co.in
GeForce.com Gears of War 4 Temporal AA Sharpening Interactive ...
images.nvidia.com
GeForce.com Tom Clancy's Rainbow Six Siege Anti-Aliasing Interactive ...
images.nvidia.com
18 Printable statutory declaration for sick leave Forms and Templates ...
pdffiller.com
Maruti Suzuki Wagon R VXI price, specs, mileage, colours, photos and ...
carz4sale.in
CoverageEligibilityRequest/auth-requirement-example-01 - TTL ...
nrces.in
Best Betting Apps in India (November 2024)
bettingguide.com
Back To Black: | Grazia India
grazia.co.in
Related Searches
Covariance Matrix Example
Covariance Graph
Covariance Plot
Covariance Scale
Covariance Equation
Covariance Structure
Covariance Symbol
Covariance Range
Covariance Chart
Covariance Units
Covariance Types
Covariance Matrix Formula
Covariance Vector
ANCOVA
Covariance Formula Examples
Covariance Matrix R
Diagonal Covariance
Covariance Matrix Form
Sample Covariance Matrix
Covariance Matrix 3X3
R Correlation Matrix
Variance-Covariance Matrix
Covariance Matrix Symmetric
Covariates
Covarian
Coefficient of Variation Equation
Least Squares Regression Equation
Orthogonal Matrix Example
Cumulative Normal Table
Example of Binomial Theorem
Graphical Representation of Covariance
Correlation Statistics Examples
Least Squares Regression Line Equation
Statistical Inference Examples
Line Graph ABA
Slope Formula
Sample of Communication Matrix
Permutation Combination Examples
Covariance Formula PNG
Sample Matrix in Research Paper
Examples of Discrete Random Variables
Negative Correlation Graph
Adjusted Trial Balance Sheet Example
Covariance Graph for PPT
Binomial Distribution Examples
Covariance Examples Graphs
Example of Bayesian Statistics
Examples of Tables and Graphs
Covariance Measures Examples
Different Types of Correlation
Search
×
Search
Loading...
No suggestions found