Find Your Style
Women
Men
Accessories
Search for clothing, brands, styles...
×
Women
Men
Accessories
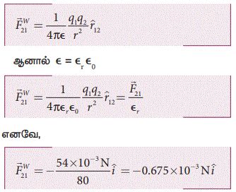
Culomb Potential
Search
Loading...
No suggestions found
INR Full Form: What is full form of INR?
bankersadda.com
vivo Declares Winners for vivo Ignite - 10 National Winners Awarded INR ...
vivonewsroom.in
Sigachi Industries aims to increase Revenue Potential by INR 250 cr ...
indiaipo.in
Facilitated the Grounding of INR 200+ Crore Investment for Indian ...
primuspartners.in
Facts about Indian businessman who is buying Lavasa city for INR 1814 ...
timesofindia.indiatimes.com
GRASS Live Price Chart, GRASS to INR live price and Market cap
suncrypto.in
Anand Kamalnayan Pandit — INR 8,660 Cr (Sri Lotus Developers & Realty ...
economictimes.indiatimes.com
Coulomb’s Law : Electric Field, Potential Difference, Volt|Chemistry Page
chemistrypage.in
Variable-Barrier Quantum Coulomb Blockade Effect in Nanoscale Transistors
mdpi.com
Coulomb’s Law : Electric Field, Potential Difference, Volt|Chemistry Page
chemistrypage.in
Defect formation energy — Tutorials 2024.1 documentation
scm.com
Variable-Barrier Quantum Coulomb Blockade Effect in Nanoscale Transistors
mdpi.com
Variable-Barrier Quantum Coulomb Blockade Effect in Nanoscale Transistors
mdpi.com
Electromagnetism: Coulomb's law, electric fields, magnetic fields ...
teletype.in
Coulomb’s Law : Electric Field, Potential Difference, Volt|Chemistry Page
chemistrypage.in
Two identical thin rings each of radius r are coaxially placed
scoop.eduncle.com
Understanding Electrostatics: Principles and Applications
allen.in
Coulomb’s Law : Electric Field, Potential Difference, Volt|Chemistry Page
chemistrypage.in
Coulomb's Law - Statement, Vector Form, Principle of Superposition ...
eee.poriyaan.in
Two equal and opposite point charges each of one coulomb are placed at ...
tardigrade.in
Understanding Electrostatics: Principles and Applications
allen.in
Variable-Barrier Quantum Coulomb Blockade Effect in Nanoscale Transistors
mdpi.com
Electric Potential Energy : Electric Dipole, Potential Gradient ...
chemistrypage.in
Coulomb's Law: Definition, Formula, Vector Form
adda247.com
Single Electron Phenomena - Coulomb - Blockade effects, Single Electron ...
ece.poriyaan.in
Coulomb's Law - Statement, Vector Form, Principle of Superposition ...
eee.poriyaan.in
Coulomb's Law - Statement, Vector Form, Principle of Superposition ...
eee.poriyaan.in
Coulomb's Law - Statement, Vector Form, Principle of Superposition ...
eee.poriyaan.in
Q.25 the normalized ground-state wave function of a one-dimensional ...
scoop.eduncle.com
Plot a graph showing the variation of coulomb force (F) versus `((1)/(r ...
allen.in
Vector form of Coulomb's Law - Definition | Examples
esaral.com
Coulomb's Law - Statement, Vector Form, Principle of Superposition ...
eee.poriyaan.in
Coulomb's Law - Statement, Vector Form, Principle of Superposition ...
eee.poriyaan.in
Buy Computation of the Transport Coefficients Using the Shielded ...
amazon.in
Coulomb's Law - Statement, Vector Form, Principle of Superposition ...
eee.poriyaan.in
Coulomb's Law - Statement, Vector Form, Principle of Superposition ...
eee.poriyaan.in
Atoms | Special Issue : Positron Scattering and Annihilation with Atoms ...
mdpi.com
Electric Potential Energy : Electric Dipole, Potential Gradient ...
chemistrypage.in
compute the heat generated while transferring 96000 coulomb of change ...
edurev.in
Coulomb's Law - Statement, Vector Form, Principle of Superposition ...
eee.poriyaan.in
how many electrons are present in one coulomb of charge? Related ...
edurev.in
Thromboembolic and Bleeding Risk in Atrial Fibrillation Patients with ...
mdpi.com
Class 12 ISC Physics Chapter Electric Potential
iqclasses.in
Mohr-Coulomb Failure theory - Shear Strength of Soil, Soil Mechanics
edurev.in
Mohr-Coulomb Failure theory - Shear Strength of Soil, Soil Mechanics
edurev.in
Draw a plot of potential energy between a pair of nucleons - CBSE Class ...
ask.learncbse.in
1 coulomb is equal to? - EduRev UPSC Question
edurev.in
compute the heat generated while transferring 96000 coulomb of change ...
edurev.in
The unit of charge is coulomb in SI system and esu (stat coul) in CGS ...
prepp.in
Coulomb's Law and Its Applications - Physics Class 12 - NEET PDF Download
edurev.in
USD/INR Cracks Big: Falls 2% in 4 Days! | Investing.com India
in.investing.com
Coulomb's Law and Its Applications - Physics Class 12 - NEET PDF Download
edurev.in
AEC Computing and Applied Mathematics center; AEC Reseach and ...
amazon.in
Coulomb’s Law : Electric Field, Potential Difference, Volt|Chemistry Page
chemistrypage.in
Coulomb's Law - Statement, Vector Form, Principle of Superposition ...
eee.poriyaan.in
calculate the number of electrons consisting one coulomb of charge ...
brainly.in
Mohr-Coulomb Failure theory - Shear Strength of Soil, Soil Mechanics
edurev.in
(a) In Rutherford scattering experiment, draw the trajectory - cbse ...
ask.learncbse.in
Mohr-Coulomb Failure theory - Shear Strength of Soil, Soil Mechanics
edurev.in
Single Electron Phenomena - Coulomb - Blockade effects, Single Electron ...
ece.poriyaan.in
Usi ed effetti collaterali del warfarin: cosa devi sapere
medicoverhospitals.in
Draw a plot showing the variation of (i) electricfield (E) and (ii ...
ask.learncbse.in
Atoms | Special Issue : Positron Scattering and Annihilation with Atoms ...
mdpi.com
Plot a graph between coulomb force f and r^2 where r is the distance ...
brainly.in
Graphically represent the variation of electric potential and electric ...
allen.in
Five point charges, each of value +q coulomb, are placed on five ...
tardigrade.in
What is Deviation Settlement Mechanism in Power Sector of India?
ceew.in
Permittivity and Relative Permittivity for Coulomb's Law - Physics for JEE
edurev.in
Virtual Labs
nsvl-au.vlabs.ac.in
Atoms | Special Issue : Positron Scattering and Annihilation with Atoms ...
mdpi.com
what is the dimension of coulomb's constant? - Brainly.in
brainly.in
A Comparative Analysis of Newton’s Law of Gravitation and Coulomb’s Law
prepmed.in
Warfarin Toxicity and Individual Variability—Clinical Case
mdpi.com
1 coulomb is equal to? - EduRev UPSC Question
edurev.in
Atoms | Special Issue : Positron Scattering and Annihilation with Atoms ...
mdpi.com
International Trade Settlement in Indian Rupee (INR)
taxguru.in
Two Marks Questions with Answers - Coulomb's Law and Electric Field ...
eee.poriyaan.in
Atoms | Special Issue : Positron Scattering and Annihilation with Atoms ...
mdpi.com
Cupid Limited Posts Best-Ever Quarterly Performance in Q2 FY26 ...
aninews.in
Plot a graph showing the variation of coulomb force (F) verses (1/r^2 ...
brainly.in
The ratio of Coulomb's electrostatic force to the gravitational force ...
edurev.in
compute the heat generated while transferring 96000 coulomb of change ...
edurev.in
In SI units, a unit of charge is called aa)ampereb)milli coulombc)milli ...
edurev.in
Electrostatics (Coulomb's Law of Electrostatics) - Definition, Example ...
mygurukulacademy.in
Coulomb's Law - Statement, Vector Form, Principle of Superposition ...
eee.poriyaan.in
Mohr-Coulomb Failure theory - Shear Strength of Soil, Soil Mechanics
edurev.in
Determine the charge(in coulomb) on the capacitor in the following circuit:
tardigrade.in
Atoms | Special Issue : Positron Scattering and Annihilation with Atoms ...
mdpi.com
Coulomb's Law - Electrostatics | Electric Force | Force Pairs - PhET ...
elearn.psgcas.ac.in
Voltage Transformer | Potential Transformer Manufacturers in India
erevatransformer.in
dimensional formula for coulomb so law - Brainly.in
brainly.in
There are two equipotential surface as shown in figure. The distance ...
tardigrade.in
Photoelectric Effect: Definition & Experimental Study | AESL
aakash.ac.in
Electric Potential Energy : Electric Dipole, Potential Gradient ...
chemistrypage.in
Understanding Gravitation: Concepts, Principles and Application
allen.in
The electric field in a region is radially outward with magnitude E=α r ...
tardigrade.in
Coulomb Blockade - Basic Physics for IIT JAM PDF Download
edurev.in
Dual (pH- and ROS-) Responsive Antibacterial MXene-Based Nanocarrier ...
mdpi.com
Three charges each equal to +4 nano coulomb placed at the three corners ...
brainly.in
Draw a graph showing variation of potential with r distance for a ...
allen.in
The unit of charge is coulomb in SI system and esu (stat coul) in CGS ...
prepp.in
How much energy is given to each coulomb of charge passing through 6V ...
edurev.in
figure shows coulomb force (F) Vs 1/r^2 graph for two point charges ...
brainly.in
Mind Maps for Electrostatics Revision: Class XII, JEE, NEET
esaral.com
Electrode Potential - Definition, Formula, Standard Electrode Potential
careerpower.in
கூலூம் விதி - நிலை மின்னியல் | Coulomb’s Law - Electrostatics | in Tamil
brainkart.in
Electric Potential Energy : Electric Dipole, Potential Gradient ...
chemistrypage.in
Visualization of densities, orbitals potentials, … — Tutorials 2022.1 ...
scm.com
Class 12 ISC Physics Chapter Electric Potential
iqclasses.in
4 charges of 6×10^-8 coulomb are placed at the corners of a square ...
edurev.in
Plot a graph showing the variation in coulombs force f versus 1/r2 ...
ask.learncbse.in
கூலூம் விதி - நிலை மின்னியல் | Coulomb’s Law - Electrostatics | in Tamil
brainkart.in
If some charge is given to a solid metallic sphere, the field inside ...
tardigrade.in
Single Electron Phenomena - Coulomb - Blockade effects, Single Electron ...
ece.poriyaan.in
Calculate the Coulomb force between two alpha particles separated by ...
brainly.in
Value of Coulomb's Constant in Nm²/C² Explained
prepp.in
Obtain the expression for the potential due to an electric dipole of ...
ask.learncbse.in
Currency Today: Euro Finds Footing, Dollar Whipsaws, Rupee Tanks | India
btcc.com
Determine the charge(in coulomb) on the capacitor in the following circuit:
tardigrade.in
Electric Potential Energy : Electric Dipole, Potential Gradient ...
chemistrypage.in
Related Searches
Coulomb Energy
Coulomb's Law Graph
Coulomb Potential Equation
Coulomb's Law Physics
Coulomb Force
Coulomb Barrier
Coulomb Interaction
Coulomb Diamond
Coulomb Field
1 Coulomb
Coulomb's Law Experiment
Coulomb's Law Units
Screened Coulomb Potential
Coulomb Potential Formula
Coulomb Repulsion
Coulomb's Law Electric Field
Coulomb's Law Constant
Coulomb Well
Coulomb Unit
Yukawa Potential
Coulomb's Law Chemistry
Coulomb Potential Map
Electric Potential Integral
Electrons per Coulomb
NanoCoulomb
Coulomb Potential Shape
Coulomb Table
Coulombic Attraction
Electric Potential Gradient
Microcoulomb
Coulomb Potential in One Dimension
Coulomb's Law Chart
Coulomb Potential Difference Concept
V J Coulomb
Charles De Coulomb
Gauss Law
Coulomb Potential Hamiltonian
1 Coulomb Electron
Electrical Potential
Electric Potential Diagram
Coulomb Potential Wave Vector
Coulomb Potential Sketch
Coulomb Potential Energy Eigenstates
Electrostatic Potential
Nuclear Potential
Coulomb Potential Atoms
Charles Augustin De Coulomb
Coulomb Potential Energy Cartoon Chart
Coulomb Scientist
Point Charge Potential
Search
×
Search
Loading...
No suggestions found