Find Your Style
Women
Men
Accessories
Search for clothing, brands, styles...
×
Women
Men
Accessories
Cumulative Equation
Search
Loading...
No suggestions found
INR Frequently Asked Questions | RCS
remotecardiacservices.com
INR Full Form: What is full form of INR?
bankersadda.com
Samunnati crosses cumulative disbursement amount of INR 37 crores for ...
agritimes.co.in
Decision to Withdraw 2,000 INR Note Won't Have Any Impact: Economist
sputniknews.in
Normal distribution-inverse cumulative distribution function table ...
brainly.in
Compound Interest Formula With Examples - India Dictionary
1investing.in
What a p-Value Tells You about Statistical Data - India Dictionary
1investing.in
A sphere of radius r is cut by a plane at a distance of h from its ...
edurev.in
Siete Bolsas Reutilizables Y Bonitas Para Llevar A La, 46% OFF
elevate.in
Annualized Returns Definition - India Dictionary
1investing.in
Probability Density Functions - India Dictionary
1investing.in
An Introduction to the International Fisher Effect - India Dictionary
1investing.in
Cumulative Causation - Cumulative Causation Roundabout aggregate ...
studocu.com
Cumulative causation theory - . The CC theory build upon two effects 1 ...
studocu.com
From the following frequency distribution, prepare less than and more ...
ask.learncbse.in
Orbital Velocity Formula: Definitions, Examples, Derivations ...
collegesearch.in
cumulative frequency formula - Brainly.in
brainly.in
Solved: Cumulative Line Formula - Page 2 - Microsoft Fabric Community
community.fabric.microsoft.com
Calculation of Constant Power Lithium Battery Discharge Curves
mdpi.com
cumulative frequency formula - Brainly.in
brainly.in
ML QB-2 - Jjjahjjjhhahh - PART A Write the formula for Discounted ...
studocu.com
Matrices and vectors math for AI with Python examples - DataChild
datachild.net
50 students enter for a school javelin throw competition. The distance ...
philoid.in
50 students enter for a school javelin throw competition. The distance ...
philoid.in
EMF Equation Of The Transformer - Due to this, the current in the ...
studocu.com
How to Calculate the RPM of a Motor - Home Teachers India
hometeachers.in
bending equation derivation in physics: Definition, Types and ...
aakash.ac.in
Accounting Equation: Definition and Formula with Example
navi.com
Solved: cumulative running total formula that doesnt conti ...
community.fabric.microsoft.com
Write less than cumulative Frequency and greater than cumulative ...
brainly.in
Cumulative vs Non Cumulative Fixed Deposit (FD) I Paisabazaar
paisabazaar.com
A sphere of radius r is cut by a plane at a distance of h from its ...
edurev.in
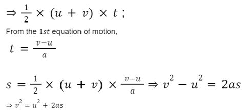
Derivation of equations and List of 3 equations of motion - Physics ...
aakash.ac.in
Survival analysis - survival function, hazard rate, cumulative hazard ...
borisburkov.net
Flexible Pavement Design | California Bearing Ratio Method with IRC ...
apsed.in
Zakat Explained With Simple Calculations | Zakat Vs Income Tax - learn ...
learnaboutislam.in
Solved: cumulative total - Microsoft Fabric Community
community.fabric.microsoft.com
50 students enter for a school javelin throw competition. The distance ...
philoid.in
Indian Rupee against US Dollar since 1947 - Insights
news.faltupana.in
Taylor Swift Weight Gain - Public Perceptions
ixd.anu.edu.in
Hotel Formula International & Puravita SPA, Rosolina, Italy - www ...
trivago.in
Derivation of equations and List of 3 equations of motion - Physics ...
aakash.ac.in
Orbital Velocity Formula: Definitions, Examples, Derivations ...
collegesearch.in
Buy Qwasdfg Products Online at Best Prices in India | Ubuy
ubuy.co.in
USD/INR Cracks Big: Falls 2% in 4 Days! | Investing.com India
in.investing.com
Analysis of EBITDA and Normalization of EBITDA
taxguru.in
Interest Rate Parity, Forward Rates & International Fisher Effect ...
1investing.in
1 million dong in indian rupees - Brainly.in
brainly.in
The following distribution gives the daily income of 50 workers of a ...
brainly.in
9 8 Q.IV, Solve the following simultaneous equation. 1. 1-3 - y +2 = 1 ...
brainly.in
The following data shows the weight of 35 students of class of Nivedita ...
philoid.in
What is the Golden Ratio? - Twinkl
twinkl.co.in
What is Normalization in SSC? How does it work?
sscadda.com
is the system of linear equation 2x+3y-9=0 and 4x+6y-18=0 consistent ...
brainly.in
Tangible Net Worth: Definition, Meaning, Formula, 57% OFF
iiitl.ac.in
Use the standard normal table to find the z-score that correspondents ...
ask.learncbse.in
Comprehensive Straight Line Formula Guide 2025 | CollegeSearch
collegesearch.in
from the following frequency distribution table prepare less than and ...
brainly.in
In osmotic pressure method, molecular mass of polymers can be obtained ...
scoop.eduncle.com
where to watch formula 1: FanCode secures multi-year exclusive ...
economictimes.indiatimes.com
10 High Margin Food Products to Build a Business Around - India Dictionary
1investing.in
Box Plots Worksheet: Matching Pairs | KS4 Higher Maths
twinkl.co.in
Convert Currency in Number to Words (Indian Rupees) - Version 2 | Live ...
livetolearn.in
Fixed Asset Turnover Ratio Formula - India Dictionary
1investing.in
Derive second equation of motion by calculus method? - EduRev Class 11 ...
edurev.in
Pair of Linear Equations in Two Variables - Class 10 Chapter 3 Short ...
esaral.com
Hydration Heroes: New-Age Hair Oils To Try | Grazia India
grazia.co.in
Derive the equation of adiabatic changes - CBSE Class 11 Physics ...
ask.learncbse.in
which of the following is correct for the normalized wave function ...
brainly.in
The following data shows the weight of 35 students of class of Nivedita ...
philoid.in
Find a Cartesian equation for the curve and identify it. r2 cos2θ=1 ...
ask.learncbse.in
Buy Ffggg Products Online at Best Prices in India | Ubuy
ubuy.co.in
Trigonometry Formula Tricks, Identities, Trigonometric Ratio
sscadda.com
Derivation of equations and List of 3 equations of motion - Physics ...
aakash.ac.in
Units and Dimensions
physicsadvisor.in
World Currency to Indian Rupee Exchange Rates,Foreign Currency Value in ...
goodreturns.in
Definition of Cash Reserve Ratio - India Dictionary
1investing.in
India shining: Rupee inches closer to becoming international currency ...
timesnownews.com
Buy Qwasdfg Products Online at Best Prices in India | Ubuy
ubuy.co.in
Buy Chobani Yogurt Online at Best Prices | Ubuy India
ubuy.co.in
TVS Motor Company Posts Cumulative Nine Months PAT of More than ...
aninews.in
Trigonometry Formula Tricks, Identities, Trigonometric Ratio
sscadda.com
Derive nernst distribution law and write it's application
scoop.eduncle.com
IPCC report: Global emissions must peak by 2025 to keep warming at 1.5°C
downtoearth.org.in
Fillable Online faculty sfasu Mesavage & Girard Form Class 78 Scribner ...
pdffiller.com
Buy Bissell Vacuum Cleaner And Accessories Online At Best Price | Ubuy ...
ubuy.co.in
LTV Ratio in Home Loans: Formula, Meaning, Differences, and Tips
aavas.in
Buy Sylvester Stallone Actor John Lithgow Actor Renny Harlin Director ...
ubuy.co.in
Buy Structural Equation Modelling with Partial Least Squares Using ...
desertcart.in
I-STEM-COMSOL Multiphysics
istem.gov.in
International Trade Settlement in Indian Rupee (INR)
taxguru.in
Earth's Magnetism and Magnetic Declination Class 12 Notes | EduRev
edurev.in
#1 SEBI recognised ESG Rating/ Score Provider Agency in India, Nov 2025
climate-change.in
Buy Qwasdfg Products Online at Best Prices in India | Ubuy
ubuy.co.in
India and Malaysia can now trade in Indian rupee
currentaffairs.adda247.com
Models of Gagne’s Conditions of Learning
adda247.com
Rupee Depreciation: Will India's Exports Stand To Gain? | Investing.com ...
in.investing.com
Value-at-threat - India Dictionary
1investing.in
International Trade Settlement in Indian Rupee (INR)
taxguru.in
Buy Qwasdfg Products Online at Best Prices in India | Ubuy
ubuy.co.in
Please solve it. 11th class accountancy question. Accounting equation ...
brainly.in
India’s Cumulative COVID-19 Vaccination Coverage exceeds 199.71 Cr
pib.gov.in
Back To Black: | Grazia India
grazia.co.in
Electrolysis of Water - Equation, Diagram and Experiment
sscadda.com
Effects of Mott–Schottky Frequency Selection and Other Controlling ...
mdpi.com
USD/INR Breaking Imp. Trendline; Is Nifty 50 Topping Out? | Investing ...
in.investing.com
Emf equation of Transformers - abdul@theglocaluniversity Page 1 E.M ...
studocu.com
Deepak Resume - RESUME QUALIFICATION BOARD/UNIVERSI TY SCHOOL/COLLE GE ...
studocu.com
[ 40002744 ] CoinDCX Referral Code - 10% Discount on Trading| Buy Sell ...
bigtricks.in
If one of the factors of (5x^2 + 70x - 160) is (x - 2) Find the other ...
brainly.in
Analysis: Enabling effective healthcare provision through resilient ...
sustainabilityoutlook.in
What is a Domain? How Do Domains Work?
sitechecker.pro
Partial Thromboplastin Time Wikipedia, 58% OFF
elevate.in
Best Dish Soap Online - Ubuy India
ubuy.co.in
The Law of Fundraising: 2021 Cumulative Supplement : Hopkins, Bruce R ...
amazon.in
Research
home.iitk.ac.in
C program, flowchart and algorithm to find roots of quadratic equations ...
studocu.com
APRCET | UGC NET | Research Entrance | Study Material and Guidance
aprcet.co.in
Cash Reserve Ratio, Definition, Rate, Formula, Importance
studyiq.com
USD/INR at Record High! Why RBI is Failing to Curb the Rupee’s Fall ...
in.investing.com
Related Searches
INR Table
INR Scale
Normal INR
Blood INR Chart
INR Example
Coumadin Nomogram
INR Normal Range Chart
Normal INR Levels Chart
Coumadin INR Dosing Chart
INR Diagram
PT/INR Equation
INR Adjustment Chart
Prothrombin Time and INR Chart
Home INR Monitor
INR 图像
PT/INR Sheets
INR Result Sheet
PT/INR Blood Tube
PT/INR Results Chart
PT/INR Conversion Chart
INR Chart Medical
INR Graph
Warfarin Dosage Chart
INR Oak
INR Reading Example
INR VP Chart
INR Calculation Sheet
Protime/INR Graph
Argatroban and Warfarin INR Equation
Warfarin Dose Adjustment Chart
Normal INR Neonate
INR PT/PTT Triangle
PT Measuring Chart
Meld Score Equation
INR Jenish
Warfarin Molecule
Warfarin Anticoagulant
INR and Sintrom
INR Colour
PT/INR Template
Warfarin Structure
International Normalized Ratio Chart
Hemachron PT/PTT INR
INR Extraction Chart
Normograph INR
Deep INR
INR Synthetic Factors Graph
INR Calculation Worksheet
INR Core Solid
Vitamin K Warfarin Reversal
Search
×
Search
Loading...
No suggestions found