Find Your Style
Women
Men
Accessories
Search for clothing, brands, styles...
×
Women
Men
Accessories
Cus O 4
Search
Loading...
No suggestions found
UP Warriorz buy Deepti Sharma for INR 3.2 crore; Healy unsold in first ...
msn.com
STöK (ST-MC05) Fully Automatic Note Counting Machine, can Count INR or ...
amazon.in
Arjun Tendulkar moves from MI to LSG in IPL 2026 for base price of INR ...
msn.com
ED attaches assets worth INR 11 crore of Suresh Raina, Shikhar Dhawan ...
msn.com
Hyundai Motor India Foundation Empowers 50 Artists with INR 60 Lakh ...
msn.com
MBA in USA, City University of Seattle | Save INR 25 Lakhs
upgrad.com
Storm 18 Products at price INR 38990 in Mumbai | About Us
wadbros.in
MS in CS in USA, City University of Seattle | Save INR 25 Lakhs
upgrad.com
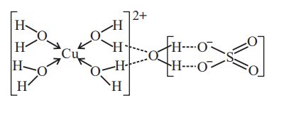
Blue Vitriol: Definition, Structure, Preparation & Uses - Chemistry ...
aakash.ac.in
What do you observe when iron nail are added to copper sulphate ...
brainly.in
write the chemical reaction between iron and copper sulphate solution ...
brainly.in
What is the heat of hydration of CuSO 4 if heat of solution of ...
tardigrade.in
Hydrous and Anhydrous Substance - Chemistry for GCSE/IGCSE - Class 10 PDF
edurev.in
Types of bond present in CuSO 4 ⋅ 5 H 2 O : - Tardigrade
tardigrade.in
3. Which of the following salt has blue colour and why ?CuSO H O or ...
brainly.in
How many water molecules present in CuSO 4 ⋅ 5 H 2 O are hydrogen bonded?
tardigrade.in
Excess of KI reacts with CuSO 4 solution and then Na 2 S 2 O 3 solution ...
tardigrade.in
In the reaction, Cu + H 2 SO 4 arrow CuSO 4+ H 2 O + SO 2
tardigrade.in
Given below are two statements . Statement I: In CuSO 4 .5 H 2 O , Cu ...
tardigrade.in
If the minimum number of moles of water to be introduced in a 2L flask ...
tardigrade.in
How many hydrogen bonded water molecule(s) are associated in CuSO 4 .5 ...
tardigrade.in
Same electric charge is passed through aqueous solution of HCl and ...
brainly.in
21. The compounds A and B according to the reaction given below are KCN ...
brainly.in
32. When a zinc rod is placed in an aqueous solution of CuSo, the ...
brainly.in
The secondary valency and the number of hydrogen bonded water molecule ...
tardigrade.in
In the following reaction mixtures, 1)Cu/CuSo 4+ Ag / Ag 2 SO 4 2) Zn ...
tardigrade.in
Fehling's solution is a mixture of two solutions. While one solution ...
tardigrade.in
The colour of light absorbed by an aqueous solution of CuSO 4 is
tardigrade.in
Fehling's solution is a mixture of two solutions. While one solution ...
tardigrade.in
please, answer it fast guys. - Brainly.in
brainly.in
Fehling's solution is a mixture of two solutions. While one solution ...
tardigrade.in
Why is plaster of Paris written as CaSO 4 . 1/2 H 2 O? How is it ...
philoid.in
Aqueous CuSO 4 changes its colour from sky blue to deep blue on ...
tardigrade.in
Synthesis of Sulfur@g-C3N4 and CuS@g-C3N4 Catalysts for Hydrogen ...
mdpi.com
Consider the Galvanic cell Zn -| ZnSO 4| | CuSO 4+ Cu ⊕ the reaction at ...
tardigrade.in
Rustico Concrete Wall Texture Wallpaper – Myindianthings
myindianthings.com
Synthesis of Sulfur@g-C3N4 and CuS@g-C3N4 Catalysts for Hydrogen ...
mdpi.com
Romania Golden Damask Wallpaper – Myindianthings
myindianthings.com
Curse 4: Live After Death (Unknown) - Isamini
isamini.co.in
Basic Wood Carpet Wallpaper – Myindianthings
myindianthings.com
Omega Cherry Blossom Wallpaper – Myindianthings
myindianthings.com
Tide pants – Flirtatious
flirtatious.in
Half and Half Maxi – Flirtatious
flirtatious.in
Rustico Snow Storm Wallpaper – Myindianthings
myindianthings.com
WWE Star Sheamus on a mission: Will he finally be able to end the Grand ...
msn.com
CUS CUS CUS, San Pedro Cholula - Restaurant Reviews, Phone Number ...
tripadvisor.in
Nord Sk80S/4 Tfga Ti4 And 373.1.80S/4 Tfga Ti4 Gear Motor – Aeliya ...
aeliyamarinetech.com
INR'S Farm Fresh Premium Timothy Hay for Guineapigs – My Aquarium Store
aquaticexperts.in
NCERT Exemplar: Short answer question V — task. Science CBSE, Class 10.
yaclass.in
Warf 3 MG Tablet (30): Uses, Side Effects, Price & Dosage | PharmEasy
pharmeasy.in
Omega White rough stripe background Wallpaper – Myindianthings
myindianthings.com
Rustico Blue Stone Tiles Wallpaper – Myindianthings
myindianthings.com
Max Abstract Seamless Wallpaper – Myindianthings
myindianthings.com
Midnight Leggings – Flirtatious
flirtatious.in
Displacement reaction — lesson. Science CBSE, Class 10.
yaclass.in
Denver Line Wallpaper – Myindianthings
myindianthings.com
The number of hydrogen bonded water molecule(s) associated with ...
tardigrade.in
XVI Cuso Libre de Astronomía 2024 "Estrellas Binarias", Ciudad ...
allevents.in
Buy Popcorners Products Online at Best Prices | Ubuy India
ubuy.co.in
Swiss francs to Indian rupees Exchange Rate. Convert CHF/INR - Wise
wise.com
From the following which chemical compound is contained in calamine ...
brainly.in
Free Cloud Night Set – Flirtatious
flirtatious.in
C 6 H 5 NH 2 ->[ NaNO 2 / HCl ][0°-5° C ] C 6 H 5 overset+N 2 Cl->[ KCN ...
tardigrade.in
Rustico Blue Grey Abstract Wallpaper – Myindianthings
myindianthings.com
Making drinks with Chef Cuso! 👨🏻🍳 #shorts
msn.com
Dyna Textured Marble Design Wallpaper – Myindianthings
myindianthings.com
Kinetics of Arsenic Removal in Waste Acid by the Combination of CuSO4 ...
mdpi.com
Balance the following equation: cu hno3 = cu(no3)2 no h2o - Brainly.in
brainly.in
Rustico Concrete Wall Texture Wallpaper – Myindianthings
myindianthings.com
Max Geometric Marble Wallpaper – Myindianthings
myindianthings.com
Omega White Silver texture Wallpaper – Myindianthings
myindianthings.com
Buy Whitewall Tires Online on Ubuy India at Best Prices
ubuy.co.in
A Curse For True Love: the thrilling final book in the Once Upon a ...
amazon.in
Top Vent Series,Designer Ceiling Fan,Duct Inline Series Products in ...
wadbros.in
Max Elegant Floral Wallpaper – Myindianthings
myindianthings.com
Dune Vintage Quaker Seamless Wallpaper – Myindianthings
myindianthings.com
Buy Dowells CP-3 4 Sq mm Pin Terminal Non Insulated Lugs Online
eleczo.com
BA Distance Education | Bachelor of Arts Online Degree Program
dbuodl.in
About Us in Mumbai
wadbros.in
BNB to INR: Convert BNB (BNB) to Indian Rupee (INR) | Coinbase India ...
coinbase.com
USD/INR Cracks Big: Falls 2% in 4 Days! | Investing.com India
in.investing.com
Rustico Ice Snow Marble Wallpaper – Myindianthings
myindianthings.com
Impressive Pattern Wallpaper – Myindianthings
myindianthings.com
Rustico Ice Snow Marble Wallpaper – Myindianthings
myindianthings.com
The following observations were made by a student on treating four ...
allen.in
DEM to INR: Convert Deutsche eMark (DEM) to Indian Rupee (INR ...
coinbase.com
Remdesivir Gold Liend Wallpaper – Myindianthings
myindianthings.com
Basic Stone fabric Wallpaper – Myindianthings
myindianthings.com
Tuscany Geometric Marble Wallpaper – Myindianthings
myindianthings.com
Max Modern Geometric Wallpaper – Myindianthings
myindianthings.com
Buy Takis Snacks Online | Ubuy India
ubuy.co.in
Rustico Concrete Wall Texture Wallpaper – Myindianthings
myindianthings.com
Rengha Tours & Travels - Internation Tour Packages
renghaholidays.com
Rustico Grey Veneer Wood Texture Wallpaper – Myindianthings
myindianthings.com
Rustico Concrete Wall Texture Wallpaper – Myindianthings
myindianthings.com
WARFARIN: Uses, Side Effects and Medicines | Apollo Pharmacy
apollopharmacy.in
Rustico Snow Storm Wallpaper – Myindianthings
myindianthings.com
Blood thinning Diet: Foods to eat and foods to avoid | Sprint Medical
sprintmedical.in
If the percentage of water of crystallization in CuSO4•xH2O is 56.6% by ...
brainly.in
Jasvin-Antique, Jasvin Antique numismatic items, JASVIN-ANTIQUE
jasvin-antique.in
binnance
aic.gtu.ac.in
Necklace Sets - Ready to Ship
rudradhan.com
Stellar Distressed Pattern Wallpaper – Myindianthings
myindianthings.com
Eisa Pro K686 Pro Wired+2.4Ghz+BT Mechanical Keyboard Anime Theme (Cus
redragon.in
Signature Marble Seamless Wallpaper – Myindianthings
myindianthings.com
Buy Nintendo DS Consoles, Games & Accessories Online
ubuy.co.in
Eisa Pro K686 Pro Wired+2.4Ghz+BT Mechanical Keyboard Anime Theme (Cus
redragon.in
Las Vegas Damask Wallpaper – Myindianthings
myindianthings.com
What is the phenomenon known as the 'retirement curse,' and how to avoid it
msn.com
Jasvin-Antique, Jasvin Antique numismatic items, JASVIN-ANTIQUE
jasvin-antique.in
Romania Gold Red Phulkari Wallpaper – Myindianthings
myindianthings.com
3D Wall Panel PVC (VN1NEW-D006-1-P1) – Kayra E Commerce Private Limited
kayradecor.com
Tuscany Moroccon Seamless Wallpaper – Myindianthings
myindianthings.com
Max Elegant Floral Wallpaper – Myindianthings
myindianthings.com
Max Elegant Floral Wallpaper – Myindianthings
myindianthings.com
Buy Topmate Products Online at Best Prices in India | Ubuy
ubuy.co.in
Buy Cambro Food Containers & Restaurant Supplies Online | Ubuy India
ubuy.co.in
Basic Artic Blend Wallpaper – Myindianthings
myindianthings.com
Solar Swimming Pool Light Waterproof Floating solar light – Hardoll
hardollenterprises.com
ethereum prediction in india today
aic.gtu.ac.in
Related Searches
Cus Photo
CAS Cos Cus
Cus Acronym
Cus Communication Tool
Cus Facebook
As Cus
Cus Acronym Medical
Cus Tool
ICUs
Cus Alimento
Cus Us
O Tay Cus
Cus Sr
CusCus Pret
Cos Cus CAS
Cus Demotto
ត្រា Cus
XPS Cu0
Cu LMM
Cu Edge XAFS
Search
×
Search
Loading...
No suggestions found