Find Your Style
Women
Men
Accessories
Search for clothing, brands, styles...
×
Women
Men
Accessories
Customer Segment Free Vector
Search
Loading...
No suggestions found
Renault Duster Facelift Prices Start at INR 8.46 lacs! [Features ...
carblogindia.com
Segmentation démographique, géographique, psychographique et ...
fr.freepik.com
Stakeholder management Images - Free Download on Freepik
freepik.com
The Complete Process of Audience Segmentation 2024
htmedia.in
Customer Segmentation: Enhance Marketing Efficiency with Data
dev.botpenguin.com
10 Advantages Of Using A CRM In The Banking Sector
leadsquared.com
Centralizing Customer Data: Why It’s a Game-Changer for Businesses
ginesys.in
Customer clipart Images - Free Download on Freepik
freepik.com
Enhancing Customer Experience Through E-commerce Order Tracking
ginesys.in
How to Analyze Customer Needs and Improve Them? | HGS PH
joinhgs.com
Customer experience Images - Free Download on Freepik
freepik.com
How Ginesys One Omnichannel Software Maintains a Single Customer View
ginesys.in
Buyer persona infographics in flat design | Free Vector
freepik.com
Types of Customer Segmentation for Business Growth - Easy Reports
easyreports.in
Customer support Images - Free Download on Freepik
freepik.com
How to Implement Market Segmentation: Step-by-Step Guide - HT Media How ...
htmedia.in
Website Visitor Segmentation: What You Need to Know About It?
milesweb.in
Customer Centricity
techmahindra.com
An Environmental Perspective on Clothing Consumption: Consumer Segments ...
mdpi.com
How Can Retailers Ensure They're Ready for Future Retail Challenges
ginesys.in
Segmentation, Targeting & Positioning (STP)Marketing Weekly
marketingweekly.in
Vecteur d'icône de service client. Service client complet. Main avec ...
fr.freepik.com
Unit II - Market segmentation and consumer behaviour - Marketing ...
studocu.com
Fashion Market Segmentation: Types & Benefits with Examples
wifd.in
What Is Market Segmentation? Definition and Examples - India Dictionary
1investing.in
About Us
ecoyan.in
Cakepulse
cakepulse.com
How to segment texts for embeddings?
abdullin.com
What is a BEACHHEAD strategy in Marketing? Normandy of ...
marketingweekly.in
Dubai to India Money Transfer - 8 Options Compared
saveandtravel.in
SNAP #8: How did Ghari become the No.1 detergent brand in India?
simplanations.in
A Novel Nonlinear Equalizer for Probabilistic Shaping 64-QAM Based on ...
mdpi.com
Home [kgntorg.in]
kgntorg.in
Services | Glad U Came
gladucame.in
Buy Letter R SVG PNG JPG Digital Download Online in India - Etsy
etsy.com
Solved: 13 OACB is a parallelogram. vector OA=a and vector OB=b. The ...
gauthmath.com
Samsung Launches Galaxy F13 in India; Offers Immersive Viewing with ...
news.samsung.com
How to measure customer satisfaction and loyalty to improve business ...
projectguru.in
A Novel Gradient Vector Flow Snake Model Based on Convex Function for ...
mdpi.com
Personality or Value: A Comparative Study of Psychographic Segmentation ...
mdpi.com
Consumer Engagement|Boost Customer Engagement - Denave
denave.com
Home | Chat Sense
chatsense.in
KARAM Industries forays into consumer healthcare segment - Products ...
healthcareradius.in
Customer service png Images - Free Download on Freepik
freepik.com
Home | Chat Sense
chatsense.in
A Novel Nonlinear Equalizer for Probabilistic Shaping 64-QAM Based on ...
mdpi.com
Google To Re-Enter Smart Glasses Segment; AI-Powered Eyewear Expected ...
freepressjournal.in
ArcGIS Business Analyst | Business Analysis Tools | Esri India
esri.in
What is customer satisfaction score? (+ how to measure CSAT)
zendesk.com
Home | Chat Sense
chatsense.in
BillMe Empowers Retailers To Segment Customers With Analytical Data To ...
freepressjournal.in
Buy Schaum's Outline of Vector Analysis, 2ed: Your Complete ...
amazon.in
When Classical Chinese Meets Machine Learning: Explaining the Relative ...
dh2020.adho.org
A Novel Gradient Vector Flow Snake Model Based on Convex Function for ...
mdpi.com
Bill Invoice Format in Excel | Free Download - Wise
wise.com
Comparison of Human Intestinal Parasite Ova Segmentation Using Machine ...
mdpi.com
Match the directed line segment with the image of polygon P being ...
brainly.in
Maruti Suzuki to drive past 50% market share while bolstering presence ...
freepressjournal.in
Torque: Meaning, Formula, Directions & Applications | AESL
aakash.ac.in
What is CRM process? 5 steps + main components | Zendesk India
zendesk.com
Home | Chat Sense
chatsense.in
Convert the vector r vector = 3 i cap +2 j cap into a unit vector ...
brainly.in
Birla Opus Is Making Bold Strokes In The Decorative Paints Segment
freepressjournal.in
Free Excel Templates for Vector Based Value Visualization
bengin.net
Lattice Point: Definition of Lattice Point, Bravais Lattice & Seven ...
aakash.ac.in
Consider the following schema for Order Database and draw ER diagram ...
brainly.in
A Novel Gradient Vector Flow Snake Model Based on Convex Function for ...
mdpi.com
RBL Bank Credit Card Customer Care - 24x7 Toll Free Number
bankbazaar.com
find the position vectors of the point M and n which trisect the line ...
brainly.in
IndusInd Bank Toll-Free Number for Credit Card & NRI Customers
fibe.in
1. The correct relation between vectors P, Q and R is (1) P+Q=R (3) Q=R ...
brainly.in
Indian Freedom Struggle, Swadeshi Movement and Foundation of Muslim League
iasnotes.in
multi-segment
stocksandsecurities.adityabirlacapital.com
Siemens Energy India 36.34% Rise In Net Profit At ₹246.1 Crore, Driven ...
freepressjournal.in
Letter Rza Logo Images - Free Download on Freepik
freepik.com
Most Attractive Blue Texture Background Wallpaper HD Images Free Download
imageshine.in
Maruti Suzuki India Launches All-New 'Victoris' To Enhance Presence In ...
freepressjournal.in
BSE Rule Change: Pre-Open Session Coming To F&O Segment, Effective From ...
freepressjournal.in
Mind Maps for Vectors Revision - Class XI, JEE, NEET
esaral.com
Telangana: NALSAR University Of Law Appoints Former CJI Justice B R ...
freepressjournal.in
Why Space Cyber? - Center for Space Cyber Strategy and CyberSecurity ...
buffalo.edu
Auto Sales March 2025: Maruti Suzuki Crosses 2 Million Annual Sales ...
freepressjournal.in
Omega Seiki enters passenger electric three-wheeler segment, launches ...
freepressjournal.in
Comprehensive Analysis of Collinear Points: Definitions, Examples ...
collegesearch.in
How Hyundai Exter And Tata Altroz Are Revolutionising The Compact Car ...
freepressjournal.in
Raptas Super Wide Angle Professional 26X Camera Lens Best in The ...
amazon.in
Kothari Industrial Acquires Zodiz, Jeetlo brands, Aims To Expand In ...
freepressjournal.in
Metro Rail construction: Segment work for viaduct between Super ...
freepressjournal.in
Amazon summer sale: Up to 40% off & exiting Cash backs on large ...
ibtimes.co.in
If A is a constant vector, then prove that ∇(r . A)=A. - Brainly.in
brainly.in
Pune: Progress Of Every Segment Of Society Is Crucial For India's ...
freepressjournal.in
A Novel Gradient Vector Flow Snake Model Based on Convex Function for ...
mdpi.com
Given p=q=r,if vector p+vector q= vector r then the angle between ...
brainly.in
Skoda mulls EV launch in India; green mobility segment to pick up over ...
freepressjournal.in
Indore: Metro rail work paced up, segment launchers installed
freepressjournal.in
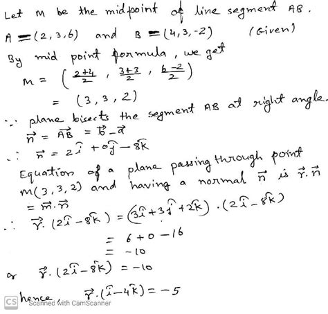
Find the vector equation of the plane which bisects the segment joining ...
brainly.in
Triangle Law of Vector Addition: Definitions, Formula, Derivations ...
collegesearch.in
Buy 7 Segment Led Display (Common Cathode) Online in India | Robocraze
robocraze.com
Kia Syros: A Look at the Top 5 Segment-First Features
freepressjournal.in
CBI Charge Sheet: R-Power & R-Infra States "Independent" Of Anil Ambani
freepressjournal.in
Yatra Online Shares Hit 52-Week High After Strong Q2 Earnings, Net ...
freepressjournal.in
The position vector ⃗r of a particle P located in an x-y plane is shown ...
brainly.in
‘We place the customer at the heart of everything we do’: Partho ...
freepressjournal.in
R & D CELL @ Siliguri Institute of Technology | Siliguri Institute of ...
sittechno.org
How Campus Activewear Became A Leader In India’s Sports and Athleisure ...
freepressjournal.in
Computer Vision Roadmap 🦝
pclub.in
Auto Sales March 2025: Maruti Suzuki Crosses 2 Million Annual Sales ...
freepressjournal.in
Customer service png Images - Free Download on Freepik
freepik.com
Catalyzing Growth Through Data: How Actionable Insights Drive Revenue ...
freepressjournal.in
Maruti dealers and showrooms in Ahmedabad | Kiran Maruti
kiranmotors.co.in
Gr. R Phonics R Flashcards (teacher made) - Twinkl
twinkl.co.in
Luxury Handbag Market Size, Outlook, Trend and Forecast 2027 — Teletype
teletype.in
Wonderchef enters diningware segment; targets Rs 50 cr revenue
freepressjournal.in
INDIA SALES ANALYSIS: OCTOBER 2016 | Autocar Professional
autocarpro.in
Baldota
baldota.co.in
Navi Mumbai Traffic Police Announces Month-Long Diversion Near Mulund ...
freepressjournal.in
Anchor Health & Beauty Care Private Limited - Mumbai 400013, 201, C Wi
in.kompass.com
Ather Energy IPO Listing To Hit Mainboard, SME Segment Stays Active ...
freepressjournal.in
India's Luxury & Premium Real Estate Soars With 36% Potential ...
freepressjournal.in
AXXIS Segment Leders Gloss Fluro Yellow Helmet– Moto Central
motocentral.in
Related Searches
Customer Segment Vector
Customer Segment Icon
Customer Segment Graphic
Customer User Segment Graphic
Customer Segmentation Icon
Picture of Customer Segment PNG
Partner Segmentations Vector Free
Customer Segment Logo Picture
Customer Segment Transparent Background
Customer Tier Vector
Customer Segment Symbol
Growing Market Segment Vector Image
Customer Segment Best Cartoon Photo
Stragers Customer Segment Icon
Customer Segment Icon Energy
New Customer Segment Icon
Customer Count Vector Image
Customer Segment Business Model Icon
3D Box Vector Chart Customer Segment MRF
Customer Segment Professional Presentation Icon
All Customer Segment Icon
Channel Segmentations Vector Free
Customer Segment Logo On Enterprenurship
Customer Pitch Vector Image
Customer Segment 3D Men Icon
Broard Customer Segment Icon
Customer Segment Potrait
Ai Customer Segmentation Icon Vector
Icon for Customer Base Segmentation Process Icon Free
Poor Quality Customer Segment Silhoutte
Customer Segments Logo.png
Customer Segmentation Copyright Free Images
African Customer Segment High Quality Image
Solid Cross Vector
Customer Metrics Vector Image
Customer Segment Text Illustration
Logo or Icon for the Customer Segment
Segment Base Customer PNG
Customer Segmentation Graphics PNG
Search
×
Search
Loading...
No suggestions found