Find Your Style
Women
Men
Accessories
Search for clothing, brands, styles...
×
Women
Men
Accessories
Cyclohexane Benzene Synthesis
Search
Loading...
No suggestions found
Aromatization of Hydrocarbons - Definition, Synthesis Methods, Practice ...
aakash.ac.in
Preparation of Benzene in Chemistry: Definition, Types and Importance ...
aakash.ac.in
Aromatization of Hydrocarbons - Definition, Synthesis Methods, Practice ...
aakash.ac.in
Figure 1
archive.nptel.ac.in
Design Optimization of Deep Eutectic Solvent Composition and Separation ...
mdpi.com
ELEMENTAL CHEMISTRY: Nylon 6.6
elementalchemistry.in
Aromatization of Hydrocarbons - Definition, Synthesis Methods, Practice ...
aakash.ac.in
Antimicrobially Active Zn(II) Complexes of Reduced Schiff Bases Derived ...
mdpi.com
Preparation of Benzene in Chemistry: Definition, Types and Importance ...
aakash.ac.in
Design Optimization of Deep Eutectic Solvent Composition and Separation ...
mdpi.com
Distributed Cyclohexane Video Lecture - Organic Chemistry
edurev.in
The correct statement is - Tardigrade
tardigrade.in
How to convert n hexane into cyclohexane using reagent? - Brainly.in
brainly.in
How you will Convert cyclohexane to benzene - Brainly.in
brainly.in
Reaction of benzene with cyclohexene in the presence of HF at 0 degree ...
edurev.in
The standard molar enthalpies for formation of cyclohexane (l) andamp ...
edurev.in
Design Optimization of Deep Eutectic Solvent Composition and Separation ...
mdpi.com
Electrophilic Aromatic Substitution Reactions of Benzene – Mechanism ...
aakash.ac.in
Predict the products formed when cyclohexane carbaldehyde reacts with ...
ask.learncbse.in
Preparation of Benzene in Chemistry: Definition, Types and Importance ...
aakash.ac.in
draw the structure of benzene and cyclohexane . - Brainly.in
brainly.in
Preparation of Benzene in Chemistry: Definition, Types and Importance ...
aakash.ac.in
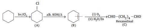
In the reaction sequence Cyclohexane text overset texthv / ( textCl)2 ...
tardigrade.in
Difference between benzene,cyclohexane and phenyl (class 11 chemistry ...
brainly.in
Preparation of Benzene in Chemistry: Definition, Types and Importance ...
aakash.ac.in
Cyclohexane when treated with Br2 in CCl4 gives
tardigrade.in
Preparation of Benzene in Chemistry: Definition, Types and Importance ...
aakash.ac.in
Preparation of Benzene in Chemistry: Definition, Types and Importance ...
aakash.ac.in
write the molecular and structural formula of cyclohexane and benzene ...
brainly.in
Why do we get iso propyl benzene on treating benzene with 1 ...
edurev.in
What is toluene used for? Preparation and Properties|Chemistry Page
chemistrypage.in
Halogenation of Benzene - Electrophilic Substitution Reaction, Addition ...
aakash.ac.in
what is the difference between cyclohexane and benzene even though both ...
brainly.in
Benzene Structure 3D Diagram, Formula, Discovered By, Properties
adda247.com
Predict the products formed when cyclohexane carbaldehyde reacts with ...
ask.learncbse.in
Class 10 Science Chapter 4 Previous Year Questions - Carbon and its ...
edurev.in
Hydrocarbons Class 11 Notes Chemistry Chapter 9 CBSE
oswalpublishers.com
Given at 298 K Δ f H °( cyclohexane )=-156.0 kJ mol - Δ f H °( benzene ...
tardigrade.in
Standard enthalpy of hydrogenation of benzene and cyclohexane in kcal ...
edurev.in
CHEMCA Free Chemistry Notes for JEE NEET Chemistry MadeEasy: REACTION ...
chemca.in
Benzene Structure 3D Diagram, Formula, Discovered By, Properties
adda247.com
Predict all the alkenes that would be formed by dehydrohalogenation of ...
allen.in
Benzene Structure 3D Diagram, Formula, Discovered By, Properties
adda247.com
What is the major product formed when methylene cyclohexane reacts with ...
brainly.in
CHEMCA Free Chemistry Notes for JEE NEET Chemistry MadeEasy ...
chemca.in
Organic Reactions Types: Substitution, Elimination & Addition Reaction ...
aakash.ac.in
Design Optimization of Deep Eutectic Solvent Composition and Separation ...
mdpi.com
Draw structure for benzene and cyclohexane - Brainly.in
brainly.in
How benzene is converted into hexachlorobenzene - Brainly.in
brainly.in
Design Optimization of Deep Eutectic Solvent Composition and Separation ...
mdpi.com
Plz explain this ..... question\n\n\n\n the standard molar enthalpies ...
scoop.eduncle.com
Organic Reactions Types: Substitution, Elimination & Addition Reaction ...
aakash.ac.in
Cyclohexanone convert into cyclohexane by zinc amalgam in presence of ...
tardigrade.in
Coumarins Synthesis and Transformation via C–H Bond Activation—A Review
mdpi.com
Design Optimization of Deep Eutectic Solvent Composition and Separation ...
mdpi.com
Aromatization of Hydrocarbons - Definition, Synthesis Methods, Practice ...
aakash.ac.in
Hydrocarbons Class 11 Notes Chemistry Chapter 9 CBSE
oswalpublishers.com
Design Optimization of Deep Eutectic Solvent Composition and Separation ...
mdpi.com
draw the electron dot structure of cyclohexane and benzen - Brainly.in
brainly.in
How will you convert benzene into aniline? - CBSE Class 12 Chemistry ...
ask.learncbse.in
Design Optimization of Deep Eutectic Solvent Composition and Separation ...
mdpi.com
Draw Structural Formula For given Compounds 1. cyclohexane 2. benzene 3 ...
brainly.in
Sulfonation - Electrophilic Aromatic Substitution, Sulfonation of ...
aakash.ac.in
Versatile Fluorine-Containing Building Blocks: β-CF3-1,3-enynes
mdpi.com
Antimicrobially Active Zn(II) Complexes of Reduced Schiff Bases Derived ...
mdpi.com
In reaction of bromobenzene with liquid NH3 which intermediate is ...
brainly.in
Design Optimization of Deep Eutectic Solvent Composition and Separation ...
mdpi.com
Antimicrobially Active Zn(II) Complexes of Reduced Schiff Bases Derived ...
mdpi.com
Alcohols and Phenols: Chemical Reactions - Chemistry Class 12 - NEET ...
edurev.in
Antimicrobially Active Zn(II) Complexes of Reduced Schiff Bases Derived ...
mdpi.com
Hydrocarbons Class 11 Notes Chemistry Chapter 9 CBSE
oswalpublishers.com
[Best Answer] How to convert ANILINE to Bromo BENZENe - Brainly.in
brainly.in
Design Optimization of Deep Eutectic Solvent Composition and Separation ...
mdpi.com
Design Optimization of Deep Eutectic Solvent Composition and Separation ...
mdpi.com
Antimicrobially Active Zn(II) Complexes of Reduced Schiff Bases Derived ...
mdpi.com
Design Optimization of Deep Eutectic Solvent Composition and Separation ...
mdpi.com
Benzene Structure 3D Diagram, Formula, Discovered By, Properties
adda247.com
What happened when bromocyclohexane is treated with magnesium in ...
brainly.in
What happens when benzene is subjected to Friedel-Crafts reaction using ...
brainly.in
ELEMENTAL CHEMISTRY: Nylon 6.6
elementalchemistry.in
Write the structure of the alkene formed by dehydrohalogenation of 1 ...
brainly.in
CHEMCA- Chemistry Made Easy
chemca.in
Layer-by-Layer (LbL) Surface Augmented Modification of Poly(Styrene ...
mdpi.com
Design Optimization of Deep Eutectic Solvent Composition and Separation ...
mdpi.com
Organic Compounds: History, Hybridisation & Classification - Chemistry ...
aakash.ac.in
Antimicrobially Active Zn(II) Complexes of Reduced Schiff Bases Derived ...
mdpi.com
draw the structure of benzene and cyclohexane . - Brainly.in
brainly.in
Cholorobenzene is formed by reaction of chlorine with benzene in the ...
allen.in
Design Optimization of Deep Eutectic Solvent Composition and Separation ...
mdpi.com
Cyclohexane, Caprolactam, Nylon 6 Adipic Acid (Part - 2) - Chemical ...
edurev.in
Design Optimization of Deep Eutectic Solvent Composition and Separation ...
mdpi.com
give reaction mechanism for preparation of benzaldehyde from benzene ...
brainly.in
Among the following, reaction(s) which gives(give) tert-butyl benzene ...
tardigrade.in
Organic Compounds: History, Hybridisation & Classification - Chemistry ...
aakash.ac.in
Design Optimization of Deep Eutectic Solvent Composition and Separation ...
mdpi.com
[Solved] Convert benzene to benzaldehyde? - Brainly.in
brainly.in
If benzene reacts with Cl2 in presence of ultraviolet light then which ...
tardigrade.in
Benzene: Structure, Formula, Characteristics & Properties | AESL
aakash.ac.in
Benzene Structure 3D Diagram, Formula, Discovered By, Properties
adda247.com
What is the difference between cyclohexatriene and benzene ? Chemistry ...
edurev.in
What is electron dot structure of cyclohexane - Brainly.in
brainly.in
draw the structure of benzene and cyclohexane . - Brainly.in
brainly.in
Explain boat and chair isomers of cyclohexane in detail? - Brainly.in
brainly.in
The reaction of benzene with CO and HCl in the presence of anhydrous ...
shaalaa.com
benzene can be converted conveinently into n-propyl benzene by ...
brainly.in
Why in this reaction the oxygen of cyclohexane group reduces to alcohol ...
brainly.in
Design Optimization of Deep Eutectic Solvent Composition and Separation ...
mdpi.com
Design Optimization of Deep Eutectic Solvent Composition and Separation ...
mdpi.com
Electrophilic Aromatic Substitution Reactions of Benzene – Mechanism ...
aakash.ac.in
Given at 298 K Δ f H °( cyclohexane )=-156.0 kJ mol - Δ f H °( benzene ...
tardigrade.in
Design Optimization of Deep Eutectic Solvent Composition and Separation ...
mdpi.com
NCERT Summary: Summary of Chemistry - 3 - Science and Technology for ...
edurev.in
For the following isomerisation reaction Cyclohexane leftharpoons ...
tardigrade.in
Related Searches
Cyclohexane vs Benzene
Cyclohexane vs Cyclohexene
Structure of Benzene and Cyclohexane
1-Cyclohexene
Cyclohexane 3D Model
Cyclohexane Structural Formula
Cyclohexane Reactions
Cyclohexane Chair Form
Tert-Butyl Cyclohexane
Cyclohexane Isomers
Benzene Cyclohexane Txy
Cyclohexane Molecule
Benzene to Cyclohexane Reaction
Cyclohexane and Bromine
Benzene Substituents
Cyclohexatriene vs Benzene
1 1 Dimethyl Cyclohexane
Cyclohexane Bond Angles
Cyclohexane with Double Bonds
1-Methylcyclohexane
Naming Benzene Rings
Cyclohexane Geometry
Hydrogenation of Benzene to Cyclohexane
Combustion of Cyclohexane
Benzene vs Hexene
Cyclohexane Molecular Structure
Cyclohexane Amide
Cyclohexane with Oxygen
Cyclohexane Ring
Benzene Connected to Cyclohexane
Cyclohexane with Oh
Cyclohexane Aromatic
Cyclohexane with One Double Bond
Separation of Cyclohexane From Benzene
Hydrogenation of Benzene Mechanism
Benzyl Cyclohexane
Benzene Hexane
Benzene Bonded to Cyclohexane
Oxidize Cyclohexane to Benzene
C15 H25 Benzene Cyclohexane
AlkylBenzene
Benzene and Cyclohexane Attached Together
Cyclohexane Conformations
Cyclohexane Propyl Benzene
Cyclohexane MW
Cyclohexane 3D Drawing
Cyclohexane Phenyl Benzene
Cyclohexadiene to Benzene
Benzene Chemical Structure
Halogens in Cyclohexane
Search
×
Search
Loading...
No suggestions found