Find Your Style
Women
Men
Accessories
Search for clothing, brands, styles...
×
Women
Men
Accessories
Daimler Slant Back
Search
Loading...
No suggestions found
INR Full Form: What is full form of INR?
bankersadda.com
Dlf Transport - Transport Company in India
dlftransport.in
Erste Kunden empfangen E-Lkw eActros 600 - electrive.net
electrive.net
Bus industry can halve local CO2 emissions in Europe from 2030: Daimler ...
autocarpro.in
120 Daimler 15 6 Light (1935) CLD 929 | Daimler 15 (1934-36)… | Flickr
flickr.com
Daimler India Commercial Vehicle revenues jump 50 percent in FY22 ...
autocarpro.in
Daimler Truck sells 526,053 CVs worldwide in 2023, up 1% | Autocar ...
autocarpro.in
Mercedes Benz Genuine A0045847338 Clear Daimler Back Gummed Label, 1 ...
amazon.in
How Daimler India Commercial Vehicles Leading in Commercial Transportation
royalsundaram.in
Daimler drives in more safety in heavy-duty trucks | Autocar Professional
autocarpro.in
How Daimler India Commercial Vehicles Leading in Commercial Transportation
royalsundaram.in
All Season Special Trending Slant Fashionable Sunlight Eye Protected H ...
sunglasseshub.in
How Daimler India Commercial Vehicles Leading in Commercial Transportation
royalsundaram.in
Latest News, Features, Interviews, Analysis, Opinion, Blogs & Videos ...
autocarpro.in
Superstar Set Full Set| Blue – House of Dreams
houseofdreams.in
EvoBus to be renamed Daimler Buses | Autocar Professional
autocarpro.in
Classic Park Cars | Daimler Super Eight
classicpark.com
All Season Special Trending Slant Fashionable Sunlight Eye Protected H ...
sunglasseshub.in
How Daimler India Commercial Vehicles Leading in Commercial Transportation
royalsundaram.in
How Daimler India Commercial Vehicles Leading in Commercial Transportation
royalsundaram.in
How Daimler India Commercial Vehicles Leading in Commercial Transportation
royalsundaram.in
Latest News, Features, Interviews, Analysis, Opinion, Blogs & Videos ...
autocarpro.in
Celebrating Gottlieb Daimler and Carl Benz | Autocar Professional
autocarpro.in
Latest News, Features, Interviews, Analysis, Opinion, Blogs & Videos ...
autocarpro.in
How Daimler India Commercial Vehicles Leading in Commercial Transportation
royalsundaram.in
Latest News, Features, Interviews, Analysis, Opinion, Blogs & Videos ...
autocarpro.in
Latest International Vehicles News, Special Features, Videos , Reports ...
autocarpro.in
Daimler Truck JV opens corridor of EV charging stations in the US ...
autocarpro.in
Latest News, Features, Interviews, Analysis, Opinion, Blogs & Videos ...
autocarpro.in
Daimler Names Muthumaruthachalam C As New President And COO | Times Now
timesnownews.com
Accelera by Cummins, Daimler Truck and PACCAR to localise battery cell ...
autocarpro.in
Superstar Set Full Set| Blue – House of Dreams
houseofdreams.in
Latest News, Features, Interviews, Analysis, Opinion, Blogs & Videos ...
autocarpro.in
Latest International Vehicles News, Special Features, Videos , Reports ...
autocarpro.in
Daimler plant in TN's Oragadam gets green certification for sustainable ...
dtnext.in
Black Box Metallic-Accent Slant-Heel Slingback Pumps - Black Box - Sale ...
charleskeith.in
Buy Z·Bling Slant Back Acrylic Sign Holder - A4/5/6 Premium Portrait Ad ...
desertcart.in
Feeling Hub Acrylic Earring Holder Single Pair L-Shape Jewelry Displays ...
amazon.in
Rehana Anarkali Georgette Chikankari Kurti – Chikan Kalakaari
chikankalakaari.com
Daimler India CV key contributor to Daimler’s global C02-neutral power ...
autocarpro.in
Buy Flames of War: WW2 - Daimler Armoured Car Troop Online at Lowest ...
ubuy.co.in
INTERVIEW: Why Daimler Truck is bullish on Hydrogen fuel in India ...
autocarpro.in
Latest International Vehicles News, Special Features, Videos , Reports ...
autocarpro.in
Solar System Full Set – House of Dreams
houseofdreams.in
Latest News, Features, Interviews, Analysis, Opinion, Blogs & Videos ...
autocarpro.in
Returning to 'Kyunki' not just step back in role but to story that ...
english.varthabharati.in
Daimler India Commercial Vehicles to foray into electric truck market ...
autocarpro.in
Daimler Truck, Mitsubishi Fuso, Hino and Toyota to accelerate CASE tech ...
autocarpro.in
Solar System Full Set – House of Dreams
houseofdreams.in
Daimler Truck JV breaks ground on e-CV charging corridor in US ...
autocarpro.in
Latest News, Features, Interviews, Analysis, Opinion, Blogs & Videos ...
autocarpro.in
Nutella Notched Collar Full Set – House of Dreams
houseofdreams.in
Cricket Notched Collar Full Set – House of Dreams
houseofdreams.in
Latest International Vehicles News, Special Features, Videos , Reports ...
autocarpro.in
22072024074506_Web_story__(51).png
awazthevoice.in
Cricket Notched Collar Full Set – House of Dreams
houseofdreams.in
Colour Me Happy Full Set – House of Dreams
houseofdreams.in
3.5x5 Slant Back Acrylic Sign Holder – Laser Cut Studio
lasercutstudio.in
Evil Eye Notched Collar Full Set – House of Dreams
houseofdreams.in
Daimler acquires stake in Sila Nanotech, aims to accelerate R&D in li ...
autocarpro.in
Celebrating Gottlieb Daimler and Carl Benz | Autocar Professional
autocarpro.in
Automobile Industry latest Features News Updates Reports | Autocar ...
autocarpro.in
CONWAY THE MACHINE SEPT 20TH "SLANT FACE KILLAH TOUR" @ CROWBAR - TAMPA ...
allevents.in
Latest News, Features, Interviews, Analysis, Opinion, Blogs & Videos ...
autocarpro.in
11x8.5 Slant Back Premium Break-Resistant Sign Holder Pack of 4pcs ...
acrylicsheetsindia.com
Daimler India sold 29,470 trucks, buses in 2022
thenewsmen.co.in
Latest International Vehicles News, Special Features, Videos , Reports ...
autocarpro.in
Latest News, Features, Interviews, Analysis, Opinion, Blogs & Videos ...
autocarpro.in
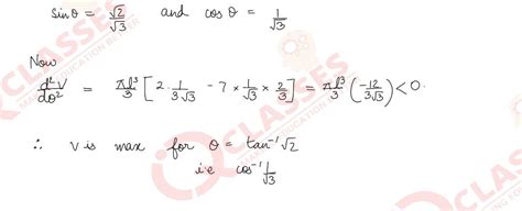
Q31 Show that the semi-vertical angle of a cone of the maximum volume ...
iqclasses.in
Daimler India Commercial Vehicles posts record year in 2023, sales and ...
autocarpro.in
Q31 Show that the semi-vertical angle of a cone of the maximum volume ...
iqclasses.in
Daimler opens 400-acre production plant in Chennai - Overdrive
overdrive.in
Cricket Notched Collar Full Set – House of Dreams
houseofdreams.in
Latest News, Features, Interviews, Analysis, Opinion, Blogs & Videos ...
autocarpro.in
LegFlex | Slant Board, Recommended by Physiotherapists – Legflex
legflex.in
Latest International Vehicles News, Special Features, Videos , Reports ...
autocarpro.in
Latest News, Features, Interviews, Analysis, Opinion, Blogs & Videos ...
autocarpro.in
What is Stock Culture, Definition, Preparation and Inportance - Biology ...
biologynotes.in
Latest News, Features, Interviews, Analysis, Opinion, Blogs & Videos ...
autocarpro.in
Unicorn Full Set – House of Dreams
houseofdreams.in
‘Hardly Any VCs In India Back Then,’ Anupam Mittal Shares How He ...
in.mashable.com
Champagne Satin PJ Set – House of Dreams
houseofdreams.in
Pagan Portals - Living Fairy eBook by Morgan Daimler | Official ...
simonandschuster.co.in
Water is dripping out at a steady rate of 1 cm 3 / s through a tiny ...
tardigrade.in
Daimler looks to reduce staff costs by upto € 1.4 billion by 2022 ...
autocarpro.in
Buy Hgfyg Products Online at Best Prices in India | Ubuy
ubuy.co.in
Best Calf Stretch Board in India | Slant Board for Calf Stretching ...
legflex.in
Avocado Notched Collar Full Set – House of Dreams
houseofdreams.in
If BJP Accepts Mukul Roy Back In Fold, Forgiving His Flipflop, Will CM ...
timesnownews.com
Auto news,Automobile Industry news,Latest Auto News ,Auto Reports ...
autocarpro.in
Ee Sala Cup Namde - IPL Royal Challengers Bangalore Baby Tee | IPL ...
zeezeezoo.com
Latest News, Features, Interviews, Analysis, Opinion, Blogs & Videos ...
autocarpro.in
Get Umber Orange Slant Ganesh Wall Hanging at ₹ 850 | LBB Shop
lbb.in
SNOW
csiriitrprograms.in
Latest News, Features, Interviews, Analysis, Opinion, Blogs & Videos ...
autocarpro.in
Latest International Vehicles News, Special Features, Videos , Reports ...
autocarpro.in
Do What You LOVE What You Do Collar Set – House of Dreams
houseofdreams.in
Latest News, Features, Interviews, Analysis, Opinion, Blogs & Videos ...
autocarpro.in
Latest News, Features, Interviews, Analysis, Opinion, Blogs & Videos ...
autocarpro.in
Avocado Notched Collar Full Set – House of Dreams
houseofdreams.in
Latest National Vehicles News, Special Features, Videos , Reports ...
autocarpro.in
Buy Hgfyg Products Online at Best Prices in India | Ubuy
ubuy.co.in
Wall Mount Slant Back Sign Holder 8 5 X 11 | Desertcart INDIA
desertcart.in
Latest News, Features, Interviews, Analysis, Opinion, Blogs & Videos ...
autocarpro.in
Latest National Vehicles News, Special Features, Videos , Reports ...
autocarpro.in
Go-ahead for Mercedes-Benz Cars and Daimler Truck as independent ...
group.mercedes-benz.com
Daimler Truck AG – CharIN
charin.global
BMW Mocks Mercedes-Benz, Daimler Mocks It Back On Halloween
indiatimes.com
Latest News, Features, Interviews, Analysis, Opinion, Blogs & Videos ...
autocarpro.in
Spotify Music Plaque Customized Lamp | Anniversary | Wedding | Marriage ...
myphotoprint.in
South Indian Bank signs MoU with Daimler Commercial Vehicles for ...
autocarpro.in
Daimler opens training centre in Cuttack | Autocar Professional
autocarpro.in
TopGear Magazine India
topgearmag.in
Five Not-To-Miss Slant Board Exercises – Legflex
legflex.in
Latest News, Features, Interviews, Analysis, Opinion, Blogs & Videos ...
autocarpro.in
CNC Slant Bed Turning Machine - Best Deal in Rajkot
cncturningmachine.co.in
Buy Hgfyg Products Online at Best Prices in India | Ubuy
ubuy.co.in
Solar System Full Set – House of Dreams
houseofdreams.in
Daimler India aims to become 100% carbon neutral by 2025
constructionworld.in
Latest International Vehicles News, Special Features, Videos , Reports ...
autocarpro.in
Related Searches
Slant Back Cadillac
Slant Back Faucet
Back Slant Font
Slant Back HMMWV
Slant Back Jeep
Hummer Slant Back
Slant Back Kitchen Sink Faucet
Slant Back Vents
Slant Back Prcedure
Slant Roof
Slant Back Car
Slate Truck Slant Back
Slant Back Nail
Slant Back Nail Procedure
Slant Back Duraflo
Slant Back Shells
750 Slant Back
Slant Back Toe
Slant Back German Shepherd
Slant Back Old Car
Slant Roof Homes
Slant Back White Sign
MB Slant Back
Hummer H2 Sut Slant Back
Slant Back Bone
Slant Back Receiver
Kong Slant Back Kit
Slant Back Jeep Top
Slant All Back Style
Sema Slant Back
Slant Back Toe Nail Removal
Cadillac Seville Slant Back
37 Plymouth Slant Back
Slant Back Carts
Sleeping with Back Slant
Slant Back Toenail
Slant Back for Trucks
Slant Back Lincoln
Hammer Hi Slant Slant Back
Kong Day Slant Back Kit
SLP150 Slant Back
Slant Back Toenail Trimming
Slant Back Pontiac
Jeep Slant Back Hard Top
Slant Back 550
Slant Back Sink Faucet Bathroom
Slant From Back to Front
Slant Back Roof Vent
37 Ford Slant Back
Slant Board for Back Pain Relief
Search
×
Search
Loading...
No suggestions found