Find Your Style
Women
Men
Accessories
Search for clothing, brands, styles...
×
Women
Men
Accessories
Dbec Logo
Search
Loading...
No suggestions found
Logo inr Zdjęcia - darmowe pobieranie na Freepik
pl.freepik.com
RBI Allows Overseas Banks to Open INR Accounts
currentaffairs.adda247.com
INR Homes
inrhomes.in
Entry #731 by thedesigner15530 for INR 20,000 Logo Design Contest for ...
freelancer.in
Entry #659 by iliyasmm3 for INR 20,000 Logo Design Contest for ...
freelancer.in
DR.FIXIT TORCH SHIELD PRIMER (20 LT) Products at price INR 4300 in ...
curetechcivilservices.in
GIM Goa Placements 2024 – Average Package INR 15.6 LPA & Highest ...
careerchoice360.in
Bismuth subnitrate usp Products at price INR 1599 in Sao Paulo ...
indexim.in
Convert MUR to INR at best rate | Sell Mauritian Rupee (MUR)
orientexchange.in
IIT Bhubaneswar Placement 2024: Highest Package: INR 64 LPA, Average ...
zollege.in
Entry #873 by shoaibmalik34 for INR 20,000 Logo Design Contest for ...
freelancer.in
IIT Kanpur Placement 2024: Highest Package: INR 24 LPA & Average ...
zollege.in
This is the world’s most expensive mango and it costs INR 19,000 a ...
timesofindia.indiatimes.com
Entry #698 by LeonardoGhagra for INR 20,000 Logo Design Contest for ...
freelancer.in
Anand Kamalnayan Pandit — INR 8,660 Cr (Sri Lotus Developers & Realty ...
economictimes.indiatimes.com
Entry #783 by kawsarahmed21 for INR 20,000 Logo Design Contest for ...
freelancer.in
Entry #685 by alauddinh957 for INR 20,000 Logo Design Contest for ...
freelancer.in
Entry #180 by Aronno00 for INR 20,000 Logo Design Contest for ...
freelancer.in
Explore the smoothest whiskey collection: Best Scotch under INR 2000
lifestyleasia.com
Entry #735 by Mamun0909 for INR 20,000 Logo Design Contest for ...
freelancer.in
Fretting about costly tomatoes? This tomato seed variety sells for INR ...
timesofindia.indiatimes.com
Entry #784 by salina03 for INR 20,000 Logo Design Contest for ...
freelancer.in
Resound Linx 3D Rechargeable in Ghatkopar Hearing Aids at price INR 0 ...
speechtherapyclinics.in
IIT Guwahati Placement 2024: Check Highest Package: INR 2.05 Crore
zollege.in
LKR to INR Live Rate Today |Convert Sri Lankan Rupees to Indian Rupees
orientexchange.in
AUD to INR | Convert Australian Dollar to Indian Rupee
orientexchange.in
Gensol Engineering Secures INR 186 Crore Contract for 23 MWp
psuconnect.in
Anand Kamalnayan Pandit — INR 8,660 Cr (Sri Lotus Developers & Realty ...
economictimes.indiatimes.com
KAG ||ARCANE BLUE||48X24 Products at price INR 49 in Chennai | Hi Tech ...
hitechceramicsco.in
Data Science | Data scientists | Fresher MNC Jobs - INR 42K Job for 0 ...
foundit.in
Hp Elitedesk I5 6TH Gen Products at price INR 9000 in Pune | My ...
mycomputershopee.in
Anand Kamalnayan Pandit — INR 8,660 Cr (Sri Lotus Developers & Realty ...
economictimes.indiatimes.com
usd to inr hdfc bank rate today live: Latest News & Videos, Photos ...
economictimes.indiatimes.com
PVC FALSE CEILING Products at price INR 0 in Hyderabad | ARMSTRONG ...
armstrongsolutions.co.in
कोस्टा रिका - Costa Rica (1 INR = 8.65 Colon) | Navbharat Times
navbharattimes.indiatimes.com
DB Engineering Corporation
dbec.co.in
Sri Bharathi Engineering College for Women's
sbec.edu.in
Sri Bharathi Engineering College for Women's
sbec.edu.in
DBEC Hill JV Picked as Gurugram Metro General Consultant
constructionworld.in
Sri Bharathi Engineering College for Women's
sbec.edu.in
Login
schoolbook.edukee.in
SBEC International School Reviews | Glassdoor
glassdoor.co.in
SBEC Handwritten Notes - CS Executive - Studocu
studocu.com
Rupee Recovery 2025: What Triggered the Sharp Bounce Back in INR?
finnovate.in
The Scarlet Red Slip – Maison Chérie
maisoncherie.in
Marathas Under SBEC Category Can Apply for Govt Jobs Through EWS ...
lawbeat.in
Total Environment Over the Rainbow | Over the Rainbow Total Environment ...
totalenvironment.gen.in
Infinity Natural Resources (INR) - Total assets
companiesmarketcap.com
SBEC Systems (India) Limited
sbecsystems.in
Warfarin: View Uses, Side Effects and Medicines
truemeds.in
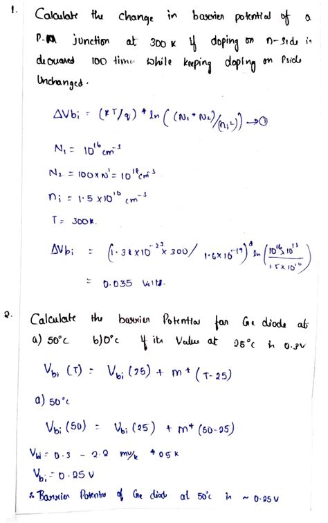
DBEC-HA6 - NOTHING - 6 Poente Ge diod al 50' Vu D - 2-2 my Vbi (50) i ...
studocu.com
DBEC HA 7 by NN36 - NOTHING - International Trade - Studocu
studocu.com
Usi ed effetti collaterali del warfarin: cosa devi sapere
medicoverhospitals.in
EXAMTIME Question Bank On (SBEC) Setting Up Of Business Entities ...
flipkart.com
Top 15 logo trends for 2023
adobe.com
How Warfarin Is Synthesized and Key Insights
medicoverhospitals.in
Nissan Launches New Magnite KURO Special Edition – The Boldest Black ...
india.nissanmotornews.com
Best Bike & Motorcycle Accessories | Helmets & Riding Gear
htrzmodz.com
Passover 2025 | Logos Church, 502 N 6th Ave, Chatsworth, GA, 12 April ...
allevents.in
ALUMINIUM LOUVER GLASS PARTITIONS AND GLASS HANDRAILS Products at price ...
zionandco.in
Stretch cotton t-shirt w/logo - Diesel Kids - Girls | Luisaviaroma
luisaviaroma.com
The Midnight Lounge Set – Maison Chérie
maisoncherie.in
University College of Engineering and Technology, Bikaner
cet-gov.ac.in
New Year, New Look — Trendy Blouse Stitching in Chennai for Party Wear ...
tailorkadai.in
Saving Pass | American Express India
americanexpress.com
Scorpion Tribunus III 14-220A ESC SBEC - Scorpion Power System
scorpionsystem.com
Logos
online.hnbgu.ac.in
Top 10 Office Stationery Essentials For A Productive Workspace
prakashsales.in
Coumadin (Warfarin): Uses, Side Effects & Interactions
medicoverhospitals.in
Scorpion Tribunus III 06-80A ESC SBEC - Scorpion Power System
scorpionsystem.com
SBEC Systems (India) Limited
sbecsystems.in
The Computer Institute
tci.org.in
LOGIN Manager
skfresh.co.in
Scorpion Tribunus III 06-80A ESC SBEC - Scorpion Power System
scorpionsystem.com
The Winners Institute
live.winnersinstitute.in
Login
egramsoft.in
8 Obat Stroke yang Efektif dan Tersedia di Apotik - Alodokter
alodokter.com
Scorpion Tribunus III 06-80A ESC SBEC - Scorpion Power System
scorpionsystem.com
PS5 DualSense Wireless Controller Black (Playstation 5) Products at ...
gamestrade.in
Cotton jersey t-shirt w/ logo - Balmain - Girls | Luisaviaroma
luisaviaroma.com
ZTW MANTIS G2 65A Brushless Regler 3-6S 6-8,4V/8A SBEC - Zeller Modellbau
zeller-modellbau.com
Cotton jersey t-shirt w/ logo - Dsquared2 - Boys | Luisaviaroma
luisaviaroma.com
logo
auth.zepto.co.in
Sony PlayStation: Horizon Forbidden West and the Last of Us Part 2 ...
in.ign.com
Indian 5 rupees coin Images - Free Download on Freepik
freepik.com
Fed’s 75 bps Hike: Rupee Falls to Record Low, Sets Eye for ‘82 ...
in.investing.com
Sleep Well - Best Alternative Supplement to Sleeping Pills/Tablets
miduty.in
Bykemania - Self Drive Bike Rentals Bangalore | Bike rental bangalore ...
bykemania.com
Organic cotton hoodie w/logo - Emporio Armani - Boys | Luisaviaroma
luisaviaroma.com
Coagulation Analyzer - Micropoint Q3 Pro Electrometer PT-INR Trader ...
r2healthcare.in
Scorpion Tribunus II 12-80A ESC SBEC - Scorpion Power System
scorpionsystem.com
Scorpion Tribunus III 06-80A ESC SBEC - Scorpion Power System
scorpionsystem.com
Motivational - Marwadi University
sarathi.marwadieducation.edu.in
Buy The University, Globalization, Central Europe (Dia-Logos (Frankfurt ...
amazon.in
ZTW MANTIS G2 105A Brushless Regler 3-8S 6-8,4V/8A SBEC - Zeller Modellbau
zeller-modellbau.com
Aakash
aakash.ac.in
Accelerating Vision 2030: India Investment Grid
investindia.gov.in
Virgin wool cardigan w/logo - Dsquared2 - Men | Luisaviaroma
luisaviaroma.com
BGMS Season 4: Nodwin Gaming and JioStar Announce the Upcoming BGMI ...
in.ign.com
Scorpion Tribunus III 14-220A ESC SBEC - Scorpion Power System
scorpionsystem.com
Scorpion Tribunus III 06-80A ESC SBEC - Scorpion Power System
scorpionsystem.com
Scorpion Tribunus III 06-110 ESC SBEC - Scorpion Power System
scorpionsystem.com
International Trade Settlement in Indian Rupee (INR)
taxguru.in
The Raja Saab cast salary: Who took home the biggest paycheck?
lifestyleasia.com
Jersey mini skirt w/metal logo - Versace - Women | Luisaviaroma
luisaviaroma.com
Boiler Suits with Custom Logo | Coveralls | UniformTailor.in
uniformtailor.in
Cotton jersey t-shirt w/ studded logo - MM6 Maison Margiela - Girls ...
luisaviaroma.com
Barocco print cotton sweat dress w/logo - Versace - Girls | Luisaviaroma
luisaviaroma.com
Jersey mini skirt w/metal logo - Versace - Women | Luisaviaroma
luisaviaroma.com
Color block woven basket bag w/ logo - Marni Junior - Girls | Luisaviaroma
luisaviaroma.com
Mudrex Rolls Out INR-Margined Crypto Futures, Simplifying Digital ...
aninews.in
Scorpion Tribunus III 06-110 ESC SBEC - Scorpion Power System
scorpionsystem.com
Fillable Online SBEC Certification Procedures Fax Email Print - pdfFiller
pdffiller.com
Tops | EPIC – Page 3 – EPIC CLO OFFICIAL
epiccloofficial.com
Striped cotton t-shirt w/ logo - Moncler - Women | Luisaviaroma
luisaviaroma.com
Scorpion Tribunus III 06-110 ESC SBEC - Scorpion Power System
scorpionsystem.com
SmartSign “Danger - Rat Poison” Label | 10" x 14" Laminated Vinyl ...
amazon.in
Buy BOSS Pink Logo Jersey Casual Shorts from Next India
nextdirect.com
Sonali Bendre and Yami Gautam wore the same mangalsutra on Karwa Chauth ...
timesofindia.indiatimes.com
Related Searches
DBE Logo Design
DBE Logo.png
PennDOT DBE Logo
E-Cubed DBE Logo
Florida DBE Logo
DBE Logo MD
DBE SA Logo
DBE Rp Logo
Georgia DBE Logo
DBE Insta Logo
DBE Stamp
DBE World Logo
Debc Logo
NC DBE Logo.png
White DBE Logo
MBW Inc. Logo
DBE Drawing
DBE Du Logo
DBE Education Logo
DBE Merch
Dbtc Logo.png
Wisconsin DBE Logo
DBE Logo Montana
Theek Logo Design
Coinbase Logo
PBE Logo
PDBe Logo
D/Bjk Letter Logo
DBE Lyrics
Aesthetic DBE
Don Bosco Mandaluyong Logo
Don Basko Logo
DBE Blue Logo
PBE Incorporated Logo
Daj Logo
DBE Musisians Logo
DBE Wallpaper PC
SNC ICT Logo
PBE App Latest Logo
Atehstic Logo Vector
DBE Emblem
Illinois DBE Logo
iConcept Logo
DBE HD Wallpaper
Dek It Logo
Logo SNC Indonesia
OBE Logo Transprency
DBE Banking Logo.png
Gold DBE Logo.png
SNC Corporation Logo
Search
×
Search
Loading...
No suggestions found