Find Your Style
Women
Men
Accessories
Search for clothing, brands, styles...
×
Women
Men
Accessories
Deflated Air
Search
Loading...
No suggestions found
Flights from Delhi to Canada from INR 68,559 | Air Canada
aircanada.com
Oman Air Mistake Fare(?)-Delhi-Tehran (Iran) return for INR 6800! - The ...
airlineblog.in
Chennai-Can Tho (Vietnam) 15k INR return on Air Asia! - The Airline Blog
airlineblog.in
QCare 1 Year Extended Warranty for Air Conditioner Between INR 40,001 ...
amazon.in
Air India plane landed at under-construction runway as ATC was ...
aninews.in
X AUTOHAUX 2pcs 50cm Flexible Copper Rubber Tube Tire Valve Connect ...
amazon.in
Buy Electric Battery Pump for Inflatables Portable Air Pump Inflate ...
ubuy.co.in
Buy W4W Bellows Foot Pump - Great Pump for Inflatable Pool, Tube, Air ...
ubuy.co.in
Fun Express Mini Electric Air Pump to Inflate & Deflate Air Bed, Pool ...
amazon.in
Buy SHOVIAR Electric Inflation Pump 12V Quick-Fill Smart Inflate ...
amazon.in
X AUTOHAUX 2pcs 200cm Flexible Copper Rubber Tube Tire Valve Connect ...
amazon.in
X AUTOHAUX 2pcs 25cm Flexible Copper Rubber Tube Tire Valve Connect ...
amazon.in
IAF plane aborts take off as tyre deflates
aninews.in
Oblivion Heavy Duty Tyre Inflator Gauge – Reliable Air Compressor Tool ...
amazon.in
UJEAVETTE® Car Tire Air Inflator Hose Pump Extension Adapter 30Cm Not ...
amazon.in
SHOPONIL Mini Air Pump for Inflatables Portable, Air Vacuum Pump ...
amazon.in
Mumbai Airport Advisory: Passengers Asked To Arrive 3.5 Hours Early
travelandleisureasia.com
Download Free GST Travel Bill Template in Word, Excel, PDF
busy.in
Moreiarty: Custom Sneakers India
moreiarty.in
Moreiarty: Custom Sneakers India
moreiarty.in
Air Conditioner - Daikin FTL50 Split Air Conditioner Wholesaler from Mumbai
shrepunrasarenterprises.in
Moreiarty: Custom Sneakers India
moreiarty.in
Buy Split System Air Conditioners Online on Ubuy India at Best Prices
ubuy.co.in
Moreiarty: Custom Sneakers India
moreiarty.in
Buy Aswadh Portable Foot Air Pump Mini Inflate Deflate Pump Ball ...
amazon.in
Boat Airdopes 800, Dolby Audio, Adaptive EQ by Mimi, 4Mics AI ENx, App ...
amazon.in
Moreiarty: Custom Sneakers India
moreiarty.in
Air Comfy Seat (For Cruiser Bikes only) – HELMETWALA.COM
helmetwala.com
Thai Lion Air Reviews and Flights - Tripadvisor
tripadvisor.in
GBL 650 Blower | Bosch Professional
bosch-pt.co.in
ALL COLLECTIONS – Moreiarty
moreiarty.in
Moreiarty: Custom Sneakers India
moreiarty.in
Thai Lion Air Reviews and Flights - Tripadvisor
tripadvisor.in
Moreiarty: Custom Sneakers India
moreiarty.in
iPhone 16 128 GB: 5G Mobile Phone with Camera Control, A18 Chip and a ...
amazon.in
ALL COLLECTIONS – Moreiarty
moreiarty.in
Moreiarty: Custom Sneakers India
moreiarty.in
Moreiarty: Custom Sneakers India
moreiarty.in
Moreiarty: Custom Sneakers India
moreiarty.in
Moreiarty: Custom Sneakers India
moreiarty.in
ALL COLLECTIONS – Moreiarty
moreiarty.in
Moreiarty: Custom Sneakers India
moreiarty.in
ALL COLLECTIONS – Moreiarty
moreiarty.in
ALL COLLECTIONS – Moreiarty
moreiarty.in
This Artist Creates The Most Realistic Bird Sculptures You've Ever See
travelandleisureasia.com
Electric Inflation Pump 16PSI/12V Quick-Fill Smart Inflate Deflate Air ...
amazon.in
Air Mattress - Buy Air Mattress online at Best Prices in India ...
flipkart.com
ALL COLLECTIONS – Moreiarty
moreiarty.in
Air Comfy Seat (For Cruiser Bikes only) – HELMETWALA.COM
helmetwala.com
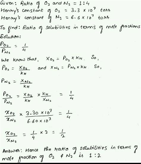
Air contains O2 and N2 in the ratio of 1:4 . Calculate the ratio of ...
edurev.in
Hillman Engineering Company in Bangalore, India
hillmanengineering.in
ALL COLLECTIONS – Moreiarty
moreiarty.in
Ola Electric slashes S1 scooter prices by up to Rs 25,000 for March
businessminutes.in
Moreiarty: Custom Sneakers India
moreiarty.in
Uni Ball Pens - Buy Uni Ball Pens Online at Best Prices In India ...
flipkart.com
A K Homes -Inflatable Pump, Air Mattress Pump Air Filling Compressor ...
amazon.in
Moreiarty: Custom Sneakers India
moreiarty.in
Buy Split System Air Conditioners Online on Ubuy India at Best Prices
ubuy.co.in
Moreiarty: Custom Sneakers India
moreiarty.in
Air India Express to operate 20 daily flights to 15 cities from Navi ...
english.varthabharati.in
Moreiarty: Custom Sneakers India
moreiarty.in
GRAND PITSTOP Motorcycle Air Seat Cushion | On-The-Go Air Fill ...
amazon.in
Filter Integrity Testing | Integrity Test Filters for Food & Beverage ...
pall.co.in
Gulbarga (Kalaburagi) gets second flight-Air India - The Airline Blog
airlineblog.in
Suzec Power Action Power Action TIG01 Air Tire Inflating Gun Work ...
amazon.in
Moreiarty: Custom Sneakers India
moreiarty.in
Moreiarty: Custom Sneakers India
moreiarty.in
Alien 4x4 Rapid Air Tire Deflator Offroad Pressure Gauge 0-75psi ...
amazon.in
Moreiarty: Custom Sneakers India
moreiarty.in
Pilot Salary 2024: In India for Freshers and Experienced, Per Month ...
collegesearch.in
MOHAK Mini DC Electric Vacuum Air Pump to Inflate and Deflate Sofa, Bed ...
flipkart.com
Gulbarga (Kalaburagi) gets second flight-Air India - The Airline Blog
airlineblog.in
Moreiarty: Custom Sneakers India
moreiarty.in
GRAND PITSTOP Motorcycle Air Seat Cushion for Comfortable Ride with in ...
amazon.in
Buy Football Air Pump Online From Flipkart | Free Shipping 12-Jan-26
flipkart.com
Flexible Anesthesia Masks | Tri-anim
tri-anim.com
Buy REDMAGIC Products Online at Best Prices in India | Ubuy
ubuy.co.in
Moreiarty: Custom Sneakers India
moreiarty.in
Buy Evaporative Coolers Online on Ubuy India at Best Prices
ubuy.co.in
Toy Imagine Ht-196 Electric Air Pump for Inflatable Swimming Pools, Air ...
amazon.in
Photos of Batik Air, World - Images - Tripadvisor
tripadvisor.in
Top Air,Soil/ Sediments,Waste Sludge/Solid/Semi-Solid Services in ...
hydrolabs.in
Buy REDMAGIC Products Online at Best Prices in India | Ubuy
ubuy.co.in
Buy Air Coolers Online on Ubuy India at Best Prices
ubuy.co.in
VVJ Enterprise Quickly Inflates/Deflates Sofa, Bed, Swimming Pool Tubes ...
amazon.in
Air Jordan 7 'White Infrared' (CU9307-160) Release Date . Nike SNKRS IN
nike.com
Products | Hillman Engineering Company, India
hillmanengineering.in
Elon Musk: Twitter shareholders sue Elon Musk, say he 'deflated' stock ...
timesofindia.indiatimes.com
Otto cycle problem - 8-33 An ideal Otto cycle with air as the working ...
studocu.com
Photos of Batik Air, World - Images - Tripadvisor
tripadvisor.in
Hydro Labs Pvt. Ltd. in Ahmedabad
hydrolabs.in
Toy Imagine Ht-196 Electric Air Pump for Inflatable Swimming Pools, Air ...
amazon.in
Photos of Batik Air, World - Images - Tripadvisor
tripadvisor.in
Toy Imagine Ht-196 Electric Air Pump for Inflatable Swimming Pools, Air ...
amazon.in
Portable Air Mattress With Two Pillow for Car & SUVs
techrater.in
Top Water and Wastewater,Soil/ Sediments,Air Services in Ahmedabad at ...
hydrolabs.in
Moreiarty: Custom Sneakers India
moreiarty.in
Products | Hillman Engineering Company, India
hillmanengineering.in
Ram Kapoor News: Read Latest News and Live Updates on Ram Kapoor ...
dnaindia.com
Moreiarty: Custom Sneakers India
moreiarty.in
Apple likely working on foldable iPhone, iPhone 17 Air might be the ...
msn.com
INOX Air Products announces India's largest Greenfield investment in ...
aninews.in
Top 8 Coleman Rechargeable Air Pumps of 2023 - Best Reviews Guide
in.bestreviews.guide
Our 10 Best Intex Purespa Plus in India - January 2026 ...
bestreviewsonline.in
Related Searches
Deflated Air Balloon
Air Bag Deflated
Air Dancer Deflated
Deflated Air Balloon Cartoon
Deflated Air Ballon
Deflated Air Eaft
Deflated Air Force
Air Baloon Deflated
Deflated Air Heaney's
Deflated Hot Air Balloon Falling
Inflated and Deflated Balloon
Deflated Air Mattress
Baloons Deflated
Deflated Dancing Air Man
Deflated Air Suspension
Deflated Air Beams
Deflated Hot Air Balloon Plunginf
Deflated Weather Balloon
Deflated Hot Air Balloon Clip Art
Hot Air Balloon Deflated PNG
Deflated Balloon Face
Air-Inflated Structure
Deflated Air Balloon Air Particles
Deflating Air Mattress
Water Balloon Deflated
Deflated Hot Air Balloon Drawing
Deflated Looey
Air Matress Deflated
Hot Air Balloon Deflated On the Ground
Hot Air Balloon Not Inflated
Laying On a Deflated Air Mattress
Deflated Red Baloon
Deflated Hot Air Balloon Vector Style
Air Particles Inside a Deflated Balloon
Deflated Twin Air Mattress
Yellow Hot Air Balloon Deflated
Hot Air Balloon Flags Deflated
Hot Air Balloon Basket On Ground Deflated
Green Deflated Balloon
Deflaited Air Mattress
Ancient China Hot Air Balloon That's Deflated
Rainball Ball Deflated
Inflated and Deflated Balloon Air Rushes Out
Deflated Balloon Graphic
Clip Art Hot Air Balloon Deflated Comics
Deflated Air Max
Deflated Balloon in Tree
Funny Sleeping On a Deflated Air Mattress
De Flat Drops
Balloon Muscle Deflated
Search
×
Search
Loading...
No suggestions found