Find Your Style
Women
Men
Accessories
Search for clothing, brands, styles...
×
Women
Men
Accessories
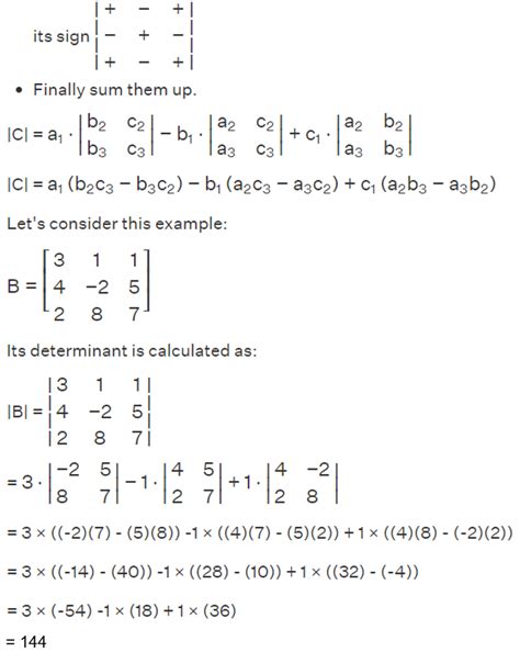
Derminante Matriz 3x3
Search
Loading...
No suggestions found
INR Full Form: What is full form of INR?
bankersadda.com
Top 10 Countries Where INR Has the Highest Value in 2025
currentaffairs.adda247.com
usd to inr sbi rate: Latest News & Videos, Photos about usd to inr sbi ...
economictimes.indiatimes.com
0.1 ETH to INR Converter, How much Convert Ethereum to Indian Rupee ...
exchanger24.org
inr usd exchange rate: Latest News & Videos, Photos about inr usd ...
economictimes.indiatimes.com
33000 euro to inr - Claim a ₹300 Bonus Today! Android IOS V- 1.79
tax.lsgkerala.gov.in
KWD to INR conversionDownload it from KWD to INR conversion for free 7.99
durslt.du.ac.in
Facts about Indian businessman who is buying Lavasa city for INR 1814 ...
timesofindia.indiatimes.com
Best whiskey under INR 1500 for a pocket-friendly drinking experience
lifestyleasia.com
Airtel 499 INR Special Prepaid Plan Price in India - Buy Airtel 499 INR ...
flipkart.com
Ugro Capital Crosses Inr 10000 crore aum milestone launches 10k ...
psuconnect.in
Dhruv Dhanraj Bahl, former CEO of BharatPe, launches an INR 120 crore ...
businessoutreach.in
Philips Remote Inr Order Form - Fill Online, Printable, Fillable, Blank ...
pdffiller.com
Determinant of a 3x3 Matrix : ExamSolutions Maths Revision Video ...
edurev.in
Determinants Formula, Definition, Calculation, Properties, Rules, Notes
pw.live
Calculating Determinant for a 3x3 Matrix Video Lecture - Mathematics ...
edurev.in
Finding the determinant of a 3x3 matrix method 1 Video Lecture ...
edurev.in
Determinants Formula, Definition, Calculation, Properties, Rules, Notes
pw.live
Buy Novos Métodos para o determinante de uma Matriz: De Ordem 3x3 Com ...
desertcart.in
View question - Find the determinant of the 3x3 matrix.
web2.0calc.com
How to solve determinant of 3 x 3 matrix Video Lecture - Crash Course ...
edurev.in
How to calculate determinant of 3x3 matrix - Brainly.in
brainly.in
Determinants Formula, Definition, Calculation, Properties, Rules, Notes
pw.live
Find the determinant of the following matrix: - Brainly.in
brainly.in
Linear Algebra: GATE CSE 2015 Set 2 | Question: 27
gateoverflow.in
Q6(v) If A is a matrix of order 3x3 and its determinant is 4, then find ...
iqclasses.in
Determinants-of-matrices - Determinants of Matrices Determinants are a ...
studocu.com
Matrices Formula: Definition, Properties, Types, Solution, Examples
pw.live
Warfarin Sodium
kmpharma.in
Anticoagulation in Acute Pulmonary Embolism: Which Drug? How Long ...
universimed.com
Matrix Multiplication: Process, Properties & Calculator | AESL
aakash.ac.in
Classic video on inverting a 3x3 matrix part 1 Video Lecture ...
edurev.in
DETERMINANT OF A SQUARE MATRIX
home.iitk.ac.in
Online Invoice Generator | Create a Bill - Wise
wise.com
Buy GAN 12 MagLev UV Coated, GAN 12 M MagLev 2022 Flagship 3x3 Magnetic ...
ubuy.co.in
D ETERNAL Kid Cube 3X3 Speedcube High Speed Stickerless Magic Puzzle ...
amazon.in
Coagulation Analyzer - Micropoint Q3 Pro Electrometer PT-INR Trader ...
r2healthcare.in
(c) 1, 54 1f the characteristic polynomial of the 3 x 3 matrix a is f(a ...
scoop.eduncle.com
10-Hydroxy Warfarin | CAS No- 83219-99-2 | Simson Pharma Limited
simsonpharma.com
Buy Bukefuno GAN 11 Air 3x3 Magic Speed Cube Puzzle Magic GAN11 Air 3x3 ...
ubuy.co.in
How to get Better at the Last layer in 3x3 (Using just OLL and PLL)
cubelelo.com
Warfarin R-Isomer | CAS No- 5543-58-8 | NA
chemicea.com
Uses and SideEffects of Warfarin: What You Need to Know
medicoverhospitals.in
Beginner's Method to Solve a 3x3 Cube
cubelelo.com
Mettler Toledo MA204 Analytical Balance, MA Series, 220g x 0.1mg with ...
coleparmer.in
India and Malaysia can now trade in Indian rupee
currentaffairs.adda247.com
USD/INR Cracks Big: Falls 2% in 4 Days! | Investing.com India
in.investing.com
Let A be a 3x3 matrix which has determinant 3 and satisfies the ...
brainly.in
8 Obat Stroke yang Efektif dan Tersedia di Apotik - Alodokter
alodokter.com
Sri Lanka and Russia in talks to use the rupee in foreign trade
currentaffairs.adda247.com
India shining: Rupee inches closer to becoming international currency ...
timesnownews.com
Warfarin Sodium | CAS No- 129-06-6 | Simson Pharma Limited
simsonpharma.com
DETERMINANT OF A SQUARE MATRIX
home.iitk.ac.in
MGT-6 Form Filing Process and Key Requirements
taxguru.in
Let A be an m x n matrix and B an n x m matrix. It is given that ...
edurev.in
Rate (INR)
erp.kohinoorpune.com
Beginner's Method to Solve a 3x3 Cube
cubelelo.com
Inverse Matrix Formula: Examples, Properties, Method
pw.live
Warfarin Impurity 1 | CAS No- 2514748-07-1 | Simson Pharma Limited
simsonpharma.com
Matrix Multiplication: Process, Properties & Calculator | AESL
aakash.ac.in
Determinant of a matrix- vol 3 - Determinant of a Matrix If A is a ...
studocu.com
Did You Know About India's Rs 10,000 Rupee Note
indiatimes.com
Get the Best Saudi Riyal to Indian Rupees Conversion Rates in India
orientexchange.in
Rupee Depreciation: Will India's Exports Stand To Gain? | Investing.com ...
in.investing.com
Zen Publications
zenpublications.com
SonicWALL Our Products - SSM Networks Website
ssmnetworks.in
Lodha Crown Khoni bypass Lodha Crown Taloja Rent - WITHOUT BROKERAGE ...
nobroker.in
How Indian Rupee Stands Against Other Major Currencies
indiatimes.com
Welingkar Institute of Management - NewsWire
newswire.nokomis.in
Beginner's Method to Solve a 3x3 Cube
cubelelo.com
Q6(vi) If A is a 3x3 matrix and |3A|=K|A|, then write the value of k
iqclasses.in
MP Govt to Award ₹239 Crore to 94,000 Top Scoring Class 12 Students ...
jagranjosh.com
How to find the inverse for a 3x3 matrix? - Brainly.in
brainly.in
Business Mathematics | Unit 1 Matrix and Determinants | B.COM 4th Sem ...
thetreasurenotes.in
Hurun India 2025: 10 billionaire Indians who entered the rich list this ...
economictimes.indiatimes.com
Did You Know About India's Rs 10,000 Rupee Note
indiatimes.com
Best Warfarin Embryopathy Specialists in India
medicoverhospitals.in
Warfarin Dose Adjustment Chart - Fill Online, Printable, Fillable ...
pdffiller.com
Business Mathematics | Unit 1 Matrix and Determinants | B.COM 4th Sem ...
thetreasurenotes.in
RAJVI ENTERPRISE in Ahmedabad
rajvibiotech.in
Warfarin : Indications, Uses, Dosage, Drugs Interactions, Side effects
medicaldialogues.in
What is the determinant of a skew symmetric matrix? - Brainly.in
brainly.in
Buy Gold Pendant Set with Earrings Online India | Latest Gold Pendant ...
manubhai.in
Buy Diamond Necklace Online | Diamond Set Online Manubhai Jewellers
manubhai.in
Size Chart – HolyHeads
holyheads.com
Buy Roxenda Speed Cube Set, Speed Cube Pack of 2x2 3x3 4x4 5x5 Megaminx ...
ubuy.co.in
Thalapathy Vijay net worth: Movie fee, properties & other luxury assets
lifestyleasia.com
20 Stunning Haldi Ceremony Outfits & Dresses to Wear in 2025
bhasinbrothers.com
Diamond Necklace Designs | Buy Diamond Necklace Set Online at Best ...
manubhai.in
Buy Coogam GAN 11 M PRO Cube 3x3 Stickerless Gans 11M Puzzle Cube ...
desertcart.in
Buy Drift Gear 3x3 Cube | Unique Rugged Magic Puzzle | Cubelelo
cubelelo.com
Warfarin: View Uses, Side Effects and Medicines
truemeds.in
Latest Car & Bike News & Reviews | BBC Topgear India Magazine
topgearmag.in
Hurun India 2025: 10 billionaire Indians who entered the rich list this ...
economictimes.indiatimes.com
Indonesian Rupiah - Buy IDR Currency Online in India
makemytrip.com
Warfarin EP Impurity B
kmpharma.in
Soft Magnetic Alloys and Their Properties – Permanent Magnets Ltd
pmlindia.com
to solve the simultaneous equation by determinant method fill in the ...
brainly.in
Buy Diamond Necklace Online | Diamond Set Online Manubhai Jewellers
manubhai.in
Gold Necklace Set for Women | Buy Gold Necklace Set Online India ...
manubhai.in
USD/INR forecast: Indian rupee analysis ahead of RBI decision By Invezz
in.investing.com
USD/INR at Record High! Why RBI is Failing to Curb the Rupee’s Fall ...
in.investing.com
Tatcha Indigo Overnight Repair: Benefits & Full Review - Epicfashion
epicfashion.in
Buy Absolute Anticoagulant Journal: A Comprehensive logbook for ...
desertcart.in
Buy Rubik’s Cube | The Starter Pack - The Original 3x3 Cube and Edge ...
desertcart.in
Gold Necklace Set for Women | Buy Gold Necklace Set Online India ...
manubhai.in
Details:- Hackling (Combing): Refining the Flax Fibers for Linen Produ
regalrarities.com
Premium Heritage Saree HT26
ssptex.com
Wedding Gold & Diamond Jewellery set with Price | Buy Bridal Gold ...
manubhai.in
Buy INR's Farm Fresh Premium Pellets Food for Rabbits | 1 KG Advanced ...
amazon.in
Certifications
pasteljade.com
Wedding Gold & Diamond Jewellery set with Price | Buy Bridal Gold ...
manubhai.in
Cameras under 10000: Buy top digital cameras online in India (2024)
lifestyleasia.com
EPR Registration and Compliance
taxguru.in
Ducati – Motoaggrandize
motoaggrandize.in
USD/INR Breaking Imp. Trendline; Is Nifty 50 Topping Out? | Investing ...
in.investing.com
Top 100 Most Visited Websites in the World
fastcolors.in
Corporate T Shirt – Vanji Vogue
vanjivogue.com
Buy Gold Set Online | Gold Set by Manubhai.
manubhai.in
ROUND BAG | Baglo
baglo.co
Related Searches
Cofactor Matrix 3X3
Determinante Matrix
Cramer 3X3
Matrices 3X3
Matriz 3X3
Determinante De Uma Matriz 3X3
Matriz 3X2
Cofactor Expansion 3X3
2 by 3 Matrix
Matriz 3X1
Determinante De Una Matriz 3X3
Det Matriz 3X3
Regla De Sarrus 3X3
Matriz 3X4
Matrizes 3X3
Cofactores Matriz
3X3 Ecuaciones
Inverse Matrix 3X3
Resolver Matriz 3X3
Determinante Matriz 4x4
Sarrus Method
Matriz Transposta 3X3
Matrices 2 X 3
Inverse Matrix Formula 3X3
Determinan 3X3 Sarrus
Matriz De Co-Fatores 3X3
Shift Matrix 3X3
Determinante Von Matrix
Metodo De Cramer 3X3
Determinante Expandiendo Matriz
Determinant 3X3 Matrix Sarrus
Determinante Matriz 3X3 Con Ceros
Matriz Cero
Matriz De 4 X 3
Adjacence Matriz 3X3
Determinante Einer 3X3 Matrix
Finding the Determinant of a 3X3 Matrix
Determinante De Una Marriz 3X2
Determinant Bereken 3X3 Matrix
Determinante Matriz 2X2
Exemplo De Determinante De Matriz 3X3
Matriz 3 X 6
Sarrus Regel 3X3
Determinante De Una Matriz 3X3 Ejemplos
Como Multiplicar Matriz 3X3
3X3 Matrix C1 C2
Sistema De Ecuaciones 3X3
Permutar Matriz Determiantne
Determinantes De Matrices 3X3
Determinante Block Matrix
Search
×
Search
Loading...
No suggestions found