Find Your Style
Women
Men
Accessories
Search for clothing, brands, styles...
×
Women
Men
Accessories
Describe Arithmetic
Search
Loading...
No suggestions found
INR Full Form: What is full form of INR?
bankersadda.com
'You’re richer in INR but poorer in dollars': What an IIM alum's CAGR ...
businesstoday.in
Types of Number System: Definition, Conversion, Equations & Examples ...
collegesearch.in
Arithmetic Progression, Definition, Nth Term, Formulas, Sum, Solved ...
adda247.com
Let a1, a2, a3, andhellip;.. be a sequence of positive integers in ...
edurev.in
Arithmetic Mean - Formula, Examples, Properties
adda247.com
Virtual Labs
he-coep.vlabs.ac.in
Numerator Denominator Poster - Classroom Display Resource
twinkl.co.in
Let a1, a2, a3, andhellip;.. be a sequence of positive integers in ...
edurev.in
4-bit Arithmetic Circuit Overview and Functionality - Studocu
studocu.com
Practice Questions FOR Statistics - 3. Define and explain arithmetic ...
studocu.com
explain The step deviation method of calculating arithmetic mean taking ...
brainly.in
Explain binary arithmetic operation along with example - Brainly.in
brainly.in
Solved: Figure ABCD has been translated to become A'B'C'D' on the graph ...
gauthmath.com
Q.11. Explain Arithmetic operators with example. - Brainly.in
brainly.in
Modulo Arithmetic Important Questions Applied Maths Class 12 CBSE
appliedmaths.in
How many terms of the ap:45,39,33......must be taken so that their sum ...
brainly.in
The interior angles of a convex polygon form an arithmetic progression ...
edurev.in
describe arithmetic growth and geometric growth ? - Brainly.in
brainly.in
Virtual Labs
he-coep.vlabs.ac.in
find the nth term of this arithmetic sequence 4,7,10,13,16 Also explain ...
brainly.in
Fixed point arithmetic - 1. Explain Carry Look Ahead adders in detail A ...
studocu.com
write the formula of Arithmetic mean. By step deviation method and ...
brainly.in
Design of Arithmetic Logic Unit
vlabs.iitkgp.ac.in
What is the fundamental theorem of arithmetic?Explain. - Brainly.in
brainly.in
Explain binary arithmetic operation along with example - Brainly.in
brainly.in
Number Sentences Grade 6 - Twinkl South Africa
twinkl.co.in
What is Arithmetic? Definition, Facts, Examples - Twinkl
twinkl.co.in
Adward
thestudysolution.in
SOFTWARE TESTING METHODOLOGIES - ADITYA ENGINEERING COLLEGE
mcr.org.in
Could anyone pls explain Arithmetic progression - Brainly.in
brainly.in
Unit-3Computer Arithmetic - 1. Explain the procedure for Addition and ...
studocu.com
Multiplication - Arithmetic Operations, Computer Science and IT ...
edurev.in
SOFTWARE TESTING METHODOLOGIES - ADITYA ENGINEERING COLLEGE
mcr.org.in
Commutative Property in Math Anchor Charts | Twinkl USA
twinkl.co.in
What Are Proportions? | Proportion and Ratio | Twinkl
twinkl.co.in
👉 Maths in Everyday Life Poster | Maths Resource - Twinkl
twinkl.co.in
What are the Meanings of All Math Symbols? - Twinkl
twinkl.co.in
ASM Abdul - Maths teacher - ₹1745/h
superprof.co.in
Buy Bloomingo 123 Ride with Animals Puzzle and Math Worksheets from ...
babyshop.in
Arithmetic progression, Sum, Formula, Notes, Class 10 Ch-5
adda247.com
Arithmetic properties - India Dictionary
1investing.in
If the Arithmetic mean between two numbers is 64 and the Geometric mean ...
edurev.in
Operators in C - Syntax with Example C Programs
cse.poriyaan.in
What Is the Shape’s Position? Cut and Paste Worksheet
twinkl.co.in
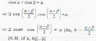
If cos a + cos b = a, sin a + sin b =b and q is the arithmetic mean ...
edurev.in
Virtual Labs
he-coep.vlabs.ac.in
SOFTWARE TESTING METHODOLOGIES - ADITYA ENGINEERING COLLEGE
mcr.org.in
If cos a + cos b = a, sin a + sin b =b and q is the arithmetic mean ...
edurev.in
Inequalities Math Visual Posters for 6th-8th Grade
twinkl.co.in
Unit-4 pps imp with answers - Unit – 4 1. Define pointer. Explain about ...
studocu.com
Arithmetic growth rate formula. - Brainly.in
brainly.in
Math at Henry Ford's Factory: Identify and Explain Patterns in ...
amazon.in
Using Point Evidence Explain Poster (teacher made) - Twinkl
twinkl.co.in
Modulo Arithmetic Important Questions Applied Maths Class 12 CBSE
appliedmaths.in
Modulo Arithmetic Important Questions Applied Maths Class 12 CBSE
appliedmaths.in
What is the Translation of Shapes? Definition - Twinkl
twinkl.co.in
COA-UNIT-III - NOTES on COA - 19 UNIT-III COMPUTER ARITHMETIC 1 the ...
studocu.com
Arithmetic: Buy Arithmetic by Aggarwal R. S. at Low Price in India ...
flipkart.com
A To Z Quant - Arithmetic: Buy A To Z Quant - Arithmetic by Abhinay ...
flipkart.com
How many term of arithmetic progression 45 39 33 must be taken so that ...
brainly.in
explain why 5×7×11+13×17 is a composite Number. also find smallest ...
brainly.in
CTC Calculator | Salary Breakdown for Indian Employees
ctccalculator.in
Modulo Arithmetic Important Questions Applied Maths Class 12 CBSE
appliedmaths.in
write the formula to find arithmetic mean for grouped data by the step ...
brainly.in
what is the fundamental theorem of arithmetic - Brainly.in
brainly.in
the solution of given linear equation 6m+7/m+2=4m+5/2m+3 is - Brainly.in
brainly.in
Standard Deviation- Definition, Formula, Examples
adda247.com
substract 4m-n from -6m+n - Brainly.in
brainly.in
plz solve this equation (2m+3)-( m-5) / (6m-1) - (4m+1) = 2/3 - Brainly.in
brainly.in
Modulo Arithmetic Important Questions Applied Maths Class 12 CBSE
appliedmaths.in
Job Title: Field Sales Officer Location: Hyderabad, India Job Type ...
glassdoor.co.in
2015- ARITHMETIC TEST
lrnr.in
Job Title: Field Sales Officer Location: Hyderabad, India Job Type ...
glassdoor.co.in
S Chand Objective Arithmetic (R. S Aggarwal, English Medium)
shop.exam360.in
Types et méthodes de chiffrement des données : une introduction | Splunk
splunk.com
Obtuse Angle | Definition, Facts, and Examples - Twinkl
twinkl.co.in
write the formula of Arithmetic mean. By step deviation method and ...
brainly.in
Fundamentals and Branches of Mathematics [1 min read]
fairgaze.com
NCERT Solutions for Class 10 Science – All Chapters (2025-26) PDF Download
jagranjosh.com
Three distinct numbers a, b and c are in geometric progression, and ...
edurev.in
Arithmetic Class Notes: Buy Arithmetic Class Notes by RAJASHEKAR SIR at ...
flipkart.com
The Central Processing Unit (CPU) consists ofa)ALU and Control unit ...
edurev.in
Arithmatic Operators In Java – CertifiKation
certifikation.com
write the formula of Arithmetic mean. By step deviation method and ...
brainly.in
A ________ arithmetic circuit adds two binary digits, giving a sum bit ...
edurev.in
Skool Guru - Best Online Tuition Platform For Academic Classes KG - 12
skoolguru.in
An Affine Arithmetic-Based Power Flow Algorithm Considering the ...
mdpi.com
SS LAB Manual 18CSL66 - 1(a) Lex program to recognize a valid ...
studocu.com
Arithmetic and Logic Microoperations - Arithmetic and Logic Micro ...
studocu.com
Modulo Arithmetic Important Questions Applied Maths Class 12 CBSE
appliedmaths.in
Explain binary arithmetic operation along with example - Brainly.in
brainly.in
(a) The pattern represented in the below graph is of an Arithmetic ...
brainly.in
The sum of the first sixteen terms of an arithmetic progression is 208 ...
brainly.in
Find the HCF and LCM of 1376 and 15428 using fundamental theorem of ...
brainly.in
Shapes at the Store: Identify and Describe Shapes (Infomax Common Core ...
amazon.in
Arithmetic Classnotes | Bilingual | All Competitive Exams | Mohit Goyal ...
flipkart.com
Insert 3 arithmetic means between 8 and 24. - Brainly.in
brainly.in
Arithmetic progression
olabs.edu.in
Arithmetic Volume 1 Maths Book By Aditya Sir (Complete Class Notes ...
flipkart.com
Sports Arena In Gurgoan For Box Cricket
lbb.in
Introduction to Multiplication Video Lecture - Class 1
edurev.in
ASM Abdul - Maths teacher - ₹1745/h
superprof.co.in
Quicker Maths Part - 1, (Algebra & Arithmetic ) Including With Mcq -700 ...
flipkart.com
KS2 Describe The Monster Using Similes - Activity Sheets
twinkl.co.in
4 bit arithmetic in coa - Subject Code: 3140707 Subject Name : COA Date ...
studocu.com
Buy Vocational Arithmetic: With Lessons in Spelling, Letter Writing and ...
amazon.in
Padminee - English teacher in Bhubaneswar - ₹1033/h
superprof.co.in
Formulae from Arithmetic (At least 25) - Brainly.in
brainly.in
Complete Classnotes Arithmetic (Bilingual): Buy Complete Classnotes ...
flipkart.com
👉 Year 6 Arithmetic Challenge 4, Year 6, Sats - Twinkl
twinkl.co.in
Trump Claims Tariff Will Reduce $37 Trillion US Debt; Economists ...
msn.com
Digital Logic: NIELIT 2016 MAR Scientist B - Section C: 2
gateoverflow.in
ARITHMETIC CLASS NOTES CHANDAN LOGICS, BILINGUAL : ENGLISH - TELUGU ...
flipkart.com
OBJECTIVE ARITHMETIC (BENGALI EDITION) - R S Aggarwal in Sasroy.in ...
sasroy.in
Documents Required For Availing Input Tax Credit (ITC) Under GST
taxguru.in
Virtual Labs
he-coep.vlabs.ac.in
case study question.in mathematics relationships can be expressed in ...
brainly.in
Arithmetic Study Material Careerwill: Buy Arithmetic Study Material ...
flipkart.com
Describe the structure and functions of nephron.
esaral.com
Related Searches
Arithmetic Definition
Arithmetic Meaning
Arithmetic Math
Arithmetic Facts
Formula of Arithmetic Mean
Basic Arithmetic
Simple Arithmetic
Define Arithmetic
Arithmetic Problems
Arithmetic Nth Term
Arithmetic Numbers
Arithmetic Calculations
What Is Arithmetic
Arithmetic Mean Examples
Arithmetic Means Worksheet
What Does Arithmetic Mean
Arithmetic Def
Arithmetic Pronunciation
Arithmetical
Arithmetic Operations
Arithmetic Synonym
Arithmetic Sequence Algebra
How to Find Arithmetic Mean
Arithmetic Topics
Arithmetic Sequence Pattern
Word Arithmetic
Arithmetic in Sentence
What Are Arithmetics
Arithmet
What Is Geometric Mean
Arithmetic Explained
Arithmetic Un
Arithmetic Terms
Arethmetic Meaning
Clock Arithmetic
Arithmetic Means Problem Solving
Arthmitic Mean
Types of Arithmetic Mean
Arithmetic Notes
Arithmetic Series
Arithmetic Techniques
Advanced Arithmetic
Elementary Arithmetic
Who Is the Father of Arithmetic
Arithmetic Mean Between Two Numbers
Arithmetic Sequence General Term
Arithmetic Sample Problems
Example of Arithmetic Sequence
Arithmetic Séquence Sum Formula
Different Kinds of Arithmetic
Search
×
Search
Loading...
No suggestions found