Find Your Style
Women
Men
Accessories
Search for clothing, brands, styles...
×
Women
Men
Accessories
Describe Yourself Examples In Picture
Search
Loading...
No suggestions found
INR Full Form: What is full form of INR?
bankersadda.com
Woman seeks INR 12 Cr alimony, BMW, luxury flat after 18-month marriage ...
msn.com
Your Partner for Home INR Monitoring Services and Supplies | mdINR®
mdinr.com
describe yourself using appropriate words summary - Brainly.in
brainly.in
Describe Yourself Worksheet
twinkl.co.in
Master the Art of Describing Yourself in 3 Words Confidently (2025 ...
leaderdesk.in
KS2 Describe Yourself Worksheet
twinkl.co.in
Describing Myself Adjective Worksheet for K-2nd Grade
twinkl.co.in
How To Introduce Yourself Confidently! Self-Introduction, 57% OFF
elevate.in
How To Introduce Yourself Confidently! Self-Introduction, 57% OFF
elevate.in
Describe yourself in one ... | Quotes & Writings by YourQuote Baba ...
yourquote.in
How To Introduce Yourself Confidently! Self-Introduction, 57% OFF
elevate.in
Describe the Picture Game | PowerPoint (teacher made)
twinkl.co.in
👉 Lightning Languages | French | In Orbit | Describing Yourself Three ...
twinkl.co.in
Meet & Greet! — Teletype
teletype.in
Best Answers for “Describe Yourself in One Line” Interview Question ...
zigsaw.in
Describe and Draw Activity Sheet
twinkl.co.in
👉 Lightning Languages | Spanish | In Orbit | Describing Yourself Culture
twinkl.co.in
ESL Describing Matching Cards (teacher made) - Twinkl
twinkl.co.in
Good Words to Describe Yourself in an Interview
truresume.ai
Write a sentence describing yourself in even number of words. - Brainly.in
brainly.in
Fun All About Me Jigsaw Template - Twinkl Puzzled - Twinkl
twinkl.co.in
Describing My Friend Writing Activity, About My Friend
twinkl.co.in
👉 Lightning Languages French Describing Yourself PowerPoint 1
twinkl.co.in
How Would You Describe Yourself? Worksheet Arabic/English
twinkl.co.in
👉 Lightning Languages French Describing Yourself PowerPoint 3
twinkl.co.in
👉 Lightning Languages French Describing Yourself PowerPoint 2
twinkl.co.in
How to Introduce Yourself in an Interview: Examples & Tips to Succeed ...
hoblei.com
👉 French In Orbit Describing Yourself Activity Booklet Twinkl
twinkl.co.in
👉 Spanish Describing Yourself Assessment Test Pack
twinkl.co.in
👉 Lightning Languages French Describing Yourself Reading Quiz
twinkl.co.in
Top 15 SWOT Analysis Examples for Students [2024]
oswalpublishers.com
What are Modifiers? | Definition & Examples | Twinkl
twinkl.co.in
👉 Spanish Describing Yourself Spot the Mistake Game
twinkl.co.in
How To Write a Product Description (Examples + Template) (2026 ...
shopify.com
Describe a Forest Writing Activity
twinkl.co.in
What is a Simile | Definition & Examples | Twinkl
twinkl.co.in
Describe the Lion Writing Activity Sheet,lion
twinkl.co.in
The Haunted Forest - Descriptive writing examples ks2
twinkl.co.in
What are Individual Behaviour Plans? - Twinkl
twinkl.co.in
No need to describe yours... | Quotes & Writings by meraj Sheikh ...
yourquote.in
Adjectives Describe these pictures with suitable adjectives. Words that ...
brainly.in
Write an essay of minimum 320 words on the topic 1)Describe yourself to ...
brainly.in
Qno: 4 "Picture description" (Describe the below picture scene in 5 ...
brainly.in
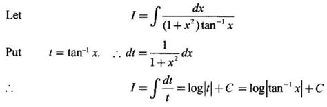
Indefinite Integral - Worked Examples, Exercise with Answers | Integral ...
mech.poriyaan.in
Describe the Horse Writing Activity,horse
twinkl.co.in
Colourful Adjectives Word Mat | English Resources | Twinkl
twinkl.co.in
2. Describe in 100 words one positive change that you would like to ...
brainly.in
Indefinite Integral - Worked Examples, Exercise with Answers | Integral ...
mech.poriyaan.in
Solved: Describe one example of partitioning a unit of something. the ...
gauthmath.com
Buy Nursing Narrative Note Examples to Save Your License: Charting and ...
desertcart.in
imagine yourself to be Vishal . Write an article for the school ...
brainly.in
Write a paragraph in 100-120 words describing yourself to someone who ...
brainly.in
International Trade Settlement in Indian Rupee (INR)
taxguru.in
SOP for Nursing: How to Write sample SOP for MSc nursing?
yocket.com
SBI BANK CODE SBCHQ-GEN-PUB-IND-INR MEANING.SBI DIFFERENT TYPES OF ...
digitalhelper.in
Indefinite Integral - Worked Examples, Exercise with Answers | Integral ...
mech.poriyaan.in
Detoxify and hydrate yourself with these healthy DIY summer drinks
lifestyleasia.com
Indefinite Integral - Worked Examples, Exercise with Answers | Integral ...
mech.poriyaan.in
Detoxify and hydrate yourself with these healthy DIY summer drinks
lifestyleasia.com
Y1 Describing Materials Differentiated Worksheets
twinkl.co.in
Indefinite Integral - Worked Examples, Exercise with Answers | Integral ...
mech.poriyaan.in
Touch Vocabulary Display Poster (teacher made)
twinkl.co.in
Indefinite Integral - Worked Examples, Exercise with Answers | Integral ...
mech.poriyaan.in
Detoxify and hydrate yourself with these healthy DIY summer drinks
lifestyleasia.com
Master the 'Tell Me About Yourself' Question | Brand Yourself
cvdesigner.in
Simple Ways to Introduce Yourself in English
seekho.in
Indefinite Integral - Worked Examples, Exercise with Answers | Integral ...
mech.poriyaan.in
Indefinite Integral - Worked Examples, Exercise with Answers | Integral ...
mech.poriyaan.in
Indefinite Integral - Worked Examples, Exercise with Answers | Integral ...
mech.poriyaan.in
We Describe Women By Appearance And Men By Virtue, Found An AI Who Read ...
indiatimes.com
Indefinite Integral - Worked Examples, Exercise with Answers | Integral ...
mech.poriyaan.in
Indefinite Integral - Worked Examples, Exercise with Answers | Integral ...
mech.poriyaan.in
USD/INR Cracks Big: Falls 2% in 4 Days! | Investing.com India
in.investing.com
React.memo in React Explained with Examples | ShareTech
sharetech.in
Indefinite Integral - Worked Examples, Exercise with Answers | Integral ...
mech.poriyaan.in
Indefinite Integral - Worked Examples, Exercise with Answers | Integral ...
mech.poriyaan.in
What to buy yourself this Valentine’s Day | Femina.in
femina.in
Indefinite Integral - Worked Examples, Exercise with Answers | Integral ...
mech.poriyaan.in
Indefinite Integral - Worked Examples, Exercise with Answers | Integral ...
mech.poriyaan.in
Indefinite Integral - Worked Examples, Exercise with Answers | Integral ...
mech.poriyaan.in
Indefinite Integral - Worked Examples, Exercise with Answers | Integral ...
mech.poriyaan.in
V Writing Skills Imagine yourself to be Vishal. Write an article for ...
brainly.in
Indefinite Integral - Worked Examples, Exercise with Answers | Integral ...
mech.poriyaan.in
Indefinite Integral - Worked Examples, Exercise with Answers | Integral ...
mech.poriyaan.in
India and Malaysia can now trade in Indian rupee
currentaffairs.adda247.com
The correct increasing order of basic strength of amine is:\r\n\r\n(A ...
prepp.in
Reading Data in R Notes | R में डेटा पढ़ना नोट्स | My Project HD | My ...
myprojecthd.in
Indefinite Integral - Worked Examples, Exercise with Answers | Integral ...
mech.poriyaan.in
Indian Financial System, 5e by H R Machiraju
vikaspublishing.com
Indefinite Integral - Worked Examples, Exercise with Answers | Integral ...
mech.poriyaan.in
Indefinite Integral - Worked Examples, Exercise with Answers | Integral ...
mech.poriyaan.in
Indefinite Integral - Worked Examples, Exercise with Answers | Integral ...
mech.poriyaan.in
Indefinite Integral - Worked Examples, Exercise with Answers | Integral ...
mech.poriyaan.in
Indefinite Integral - Worked Examples, Exercise with Answers | Integral ...
mech.poriyaan.in
Telling yourself 'I can do better' works, says study - The Economic Times
economictimes.indiatimes.com
Josh Addo-Carr uses one telling word to describe drug scandal that cost ...
msn.com
Indefinite Integral - Worked Examples, Exercise with Answers | Integral ...
mech.poriyaan.in
1 million dong in indian rupees - Brainly.in
brainly.in
Indefinite Integral - Worked Examples, Exercise with Answers | Integral ...
mech.poriyaan.in
Buy Heal Yourself of Anything: Example Glaucoma Book Online at Low ...
amazon.in
Indefinite Integral - Worked Examples, Exercise with Answers | Integral ...
mech.poriyaan.in
Indefinite Integral - Worked Examples, Exercise with Answers | Integral ...
mech.poriyaan.in
Detoxify and hydrate yourself with these healthy DIY summer drinks
lifestyleasia.com
Delhi man loses Rs 6 lakh in digital arrest scam: What is it and how to ...
digit.in
Indefinite Integral - Worked Examples, Exercise with Answers | Integral ...
mech.poriyaan.in
Indefinite Integral - Worked Examples, Exercise with Answers | Integral ...
mech.poriyaan.in
Indefinite Integral - Worked Examples, Exercise with Answers | Integral ...
mech.poriyaan.in
Beach Adjectives Wordmat (teacher made) - Twinkl
twinkl.co.in
Epicfashion - Your Destination To Be The Best Version Of Yourself
epicfashion.in
Indefinite Integral - Worked Examples, Exercise with Answers | Integral ...
mech.poriyaan.in
Witty Wud | Tiya | Sofa 3+1+1 - Seater Luxury Premium Fabric Sofa Sets ...
amazon.in
Describe the Fairy Writing Activity,fairy writing
twinkl.co.in
Buy The Hitchhiker's Guide to Responsible Machine Learning ...
desertcart.in
Indefinite Integral - Worked Examples, Exercise with Answers | Integral ...
mech.poriyaan.in
USD/INR Breaking Imp. Trendline; Is Nifty 50 Topping Out? | Investing ...
in.investing.com
2019 BTS World Tour Love Yourself: Speak Yourself London - Remastered ...
in.bookmyshow.com
Indefinite Integral - Worked Examples, Exercise with Answers | Integral ...
mech.poriyaan.in
Let $A = \{0, 1, 2, 3, 4, 5\}$. Let $R$ be a relation on $A$ defined by ...
prepp.in
Indefinite Integral - Worked Examples, Exercise with Answers | Integral ...
mech.poriyaan.in
Related Searches
Describe Yourself Essay Examples
Words Describe Yourself
Description of Yourself Examples
Describe Yourself Sample
Describe Yourself Job Application Examples
Ways to Describe Yourself
How to Describe Yourself in a Resume
Essay About Yourself Examples
Describe Yourself Examples Interview
Pictures to Describe Yourself
Best Words to Describe Yourself
Things to Describe Yourself
Positive Words to Describe Yourself
One Word to Describe Yourself
Describe Yourself Worksheet
Example of Describing Yourself
Metaphors to Describe Yourself
Adjectives to Describe Yourself
Characteristics to Describe Yourself
Explain Yourself
List of Words to Describe Yourself
Good Adjectives to Describe Yourself
Personal Essay Examples About Yourself
How I Describe My Self
Self-Description Examples for Job
Describe Who You Are Examples
Unique Words to Describe Yourself
Sample Writing About Yourself
Describe Yourself in Few Lines
Letter About Myself
Introduction Yourself
Three Words to Describe Yourself
About Myself Example Paragraph
Describe Yourself Sample Answers
100 Words to Describe Yourself
Words That You Can Describe Yourself
5 Words to Describe Yourself
Adjectives to Describe Oneself
Interview Questions About Yourself Examples
How Would You Describe Yourself
Good Examples of Dating Profiles
Poem Describing Yourself
Briefly Describe Yourself Example
How to Write an Essay About Yourself
Short Bio Example Yourself
Describing Yourself in a CV Examples
Describe Yourself in One Sentence Examples
How to Describe Yourself Template
Background of Yourself Example
College Essay Examples About Yourself
Search
×
Search
Loading...
No suggestions found