Find Your Style
Women
Men
Accessories
Search for clothing, brands, styles...
×
Women
Men
Accessories
Dessolved
Search
Loading...
No suggestions found
Understanding the Saudi Riyal Currency | INR to SAR
orientexchange.in
Study the graph given below and choose the option that is correctly ...
allen.in
Concept Explanation
abhyasonline.in
GISNPA Dissolved Oxygen Meter with ATC, 0-40.00 mg/L Measurement Range ...
amazon.in
What is Dissolving? - Answered - Twinkl Teaching Wiki
twinkl.co.in
Virtual Labs
ee1-nitk.vlabs.ac.in
What do you mean by henry's law? The henry's law constant for oxygen ...
brainly.in
Winkler method formula for dissolved oxygen analysis - Brainly.in
brainly.in
Virtual Labs
ee2-nitk.vlabs.ac.in
If 8 g of a non-electrolyte solute is dissolved in114gof n-octane to ...
brainly.in
Virtual Labs
ee2-nitk.vlabs.ac.in
What is Dissolving? - Answered - Twinkl Teaching Wiki
twinkl.co.in
When 2g of benzoic acid is dissolved in 25g of benzene, it shows a ...
iqclasses.in
If 0.561 g of KOH is dissolved in water - CBSE Class 11 Chemistry ...
ask.learncbse.in
Dissolved Air Flotation (DAF) System In Wastewater Treatment
kelvinindia.in
When 2g of benzoic acid is dissolved in 25g of benzene, it shows a ...
iqclasses.in
Dissolved Air Flotation (DAF) System In Wastewater Treatment
kelvinindia.in
To make a saturated solution 36g of sodium chloride is dissolved in ...
brainly.in
18 g of a non-volatile solute is dissolved in 200 g of H2O freezes at ...
iqclasses.in
6g. of urea is dissolved in 90g. of boiling water. The vapour pressure ...
brainly.in
When 2g of benzoic acid is dissolved in 25g of benzene, it shows a ...
iqclasses.in
2 g of benzoic acid (C6H5COOH) dissolved in 25 g of benzene shows a ...
brainly.in
Pragya tested the solubility of three different substances at different ...
brainly.in
to make a saturated solution 36g at NaCl is dissolved in 100g of water ...
brainly.in
4. Determination of dissolved oxygen content of water sample by winkler ...
eee.poriyaan.in
How much oxygen is dissolved in 100 mL water at298 K if partial ...
brainly.in
to observe that air is dissolved in water - Brainly.in
brainly.in
Benzoic acid (C6H5COOH) dimerizes in benzene. W g of acids dissolved in ...
edurev.in
4g of sugar is dissolved in 46 g of water. calculate the concentration ...
brainly.in
8 g naoh is dissolved in one litre of solution its molarity is - Brainly.in
brainly.in
To make a saturated solution, 36 g of sodium chloride is dissolved in ...
brainly.in
calculate the mass of non-volatile solute molecules mass 40 gram per ...
brainly.in
To make a saturated solution, 36g of sodium chloride is dissolved in ...
brainly.in
If 0.85g of NH3 is dissolved in 100mL of solution. Find molality. If ...
edurev.in
Write the balanced chemical equation when X is dissolved in water ...
ask.learncbse.in
5 mol nacl is dissolved in 500g h2o then determine freezing point and ...
brainly.in
3.9 g of benzoic acid dissolved in 49 g of benzene shows a depression ...
brainly.in
What is Dissolving? - Answered - Twinkl Teaching Wiki
twinkl.co.in
Describe an experiment which shows that air is dissolved in water. Make ...
brainly.in
Calcium chloride when dissolved in water dissociates into its ions ...
ask.learncbse.in
The image shows particles of salt dissolved in water. - Brainly.in
brainly.in
calculate the molality of a solution containing 20.7g of K2CO3 ...
brainly.in
32)6 g urea was dissolved in 500 g of water. Calculate percentage by ...
brainly.in
Dissolved Air Flotation (DAF) System In Wastewater Treatment
kelvinindia.in
18 g of a non-volatile solute is dissolved in 200 g of H2O freezes at ...
iqclasses.in
Aniline dissolved in dilute HCl is reacted with sodium nitrite at 0ºC ...
tardigrade.in
a solution contains 45g of sugar dissolved in 380ml of water calculate ...
brainly.in
Buy Monitor DISSOLVED Oxygen Test KIT (50 Tests) - Monitor Aquarium and ...
ubuy.co.in
Zhoujie Digital Dissolved Oxygen Detector Dissolved Oxygen Meter ...
desertcart.in
0.05 M ammonium hydroxide solution is dissolved in 0.001M ammonium ...
edurev.in
The vapour pressure of water at 20°C is 18 mm. When 20 g of a non-ionic ...
brainly.in
DMSO-Quenched H/D-Exchange 2D NMR Spectroscopy and Its Applications in ...
mdpi.com
A 0.9157 g mixture of CaBr 2 and NaBr is dissolved in water, and AgNO 3 ...
tardigrade.in
Calculate the mass of ascorbic acid (molecular mass = 176 g/mol) that ...
iqclasses.in
Dissolved Air Flotation (DAF) System In Wastewater Treatment
kelvinindia.in
A 0.9157 g mixture of CaBr 2 and NaBr is dissolved in water, and AgNO 3 ...
tardigrade.in
what are micelles ? Draw its structure and explain the cleansing action ...
brainly.in
the substance that will not dissolve in water - Brainly.in
brainly.in
If α D-glucose is dissolved in water and kept for a few hours, the ...
tardigrade.in
A compound H2X with molar weight of 80g is dissolved in a solvent ...
edurev.in
Optical Dissolved Oxygen Meters from Cole-Parmer India
coleparmer.in
LaMotte R-5860 Dissolved Oxygen Test Kit Refill; Winkler Titration ...
coleparmer.in
Anticoagulation in Acute Pulmonary Embolism: Which Drug? How Long ...
universimed.com
25.0 g of FeSO4.7H20 was dissolved in water containing dilute H2S04 ...
edurev.in
What is the final chemical form of Gold (Au) when it is dissolved in ...
tardigrade.in
Buy BTER Dissolved Oxygen Meter, Portable LCD Display Digital DO Meter ...
desertcart.in
A substance A on heating gives a colourless gas. The residue is ...
tardigrade.in
Consider a 1.0000 g sample containing 75% potassium sulfate (FW 174.25 ...
brainly.in
If 0-561 g of KOH is dissolved in water to give 200 mL of solution at ...
ask.learncbse.in
Dissolving Solids in Water (teacher made) - Twinkl
twinkl.co.in
Classify each substance as a strong acid, strong base, weak acid, or ...
ask.learncbse.in
Acetic acid is dissolved in water having oxygen as 18 O. How many 18 O ...
tardigrade.in
Gravity: Analog Dissolved Oxygen Sensor/Meter Kit for Arduino : Amazon ...
amazon.in
Gravity: Analog TDS Sensor for Arduino | Total Dissolved Solids Meter ...
amazon.in
When 1.5 mol of CuCl 2 ⋅ 2 H 2 O is dissolved in enough water to make 1 ...
tardigrade.in
Blog
doctorfresh.in
75.2 g of C 6 H 5 OH (phenol) is dissolved in a solvent of Kf=14. If ...
tardigrade.in
Dissolved Air Flotation (DAF) System In Wastewater Treatment
kelvinindia.in
1 g of silver was dissolved in nitric acid; addition of a solution of ...
brainly.in
When AgCl is dissolved in excess of each of textN textH3 , KCN and ...
tardigrade.in
1.17 gm of sample of Na2CO3 and K2CO3 was dissolved in water to form ...
edurev.in
15 g urea and 20 g NaOH dissolved in water. Total mass of solution is ...
tardigrade.in
Importance of Dissolved Oxygen Level in Aquaculture and Fish ...
assam.mygov.in
3. 0.25 moles of glucose are dissolved in 500 mL aqueous solution at 20 ...
brainly.in
A compound 'A' on heating gives a colourless gas and a residue that is ...
tardigrade.in
the salt which will give an acidic solution and dissolved water is ...
brainly.in
The beta and alpha glucose have different specific rotations. When ...
tardigrade.in
Dissolved Air Flotation System – DAF Units for Solid Removal
amiwater.in
RCYAGO Portable Dissolved Oxygen and Temperature Meter, DO Range: 0-40. ...
amazon.in
Concept Explanation
abhyasonline.in
The given graph shows the productivity of an aquatic ecosystem measured ...
tardigrade.in
the Ash obtained on burning magnesium ribbon is dissolved in water and ...
brainly.in
India shining: Rupee inches closer to becoming international currency ...
timesnownews.com
USD/INR Cracks Big: Falls 2% in 4 Days! | Investing.com India
in.investing.com
When 20 g of naphthoic acid (C11H8O2) is dissolved in 50g of benzene ...
edurev.in
Isopropyl alcohol on treatment with excess of conc. H 2 SO 4 gives ' X ...
tardigrade.in
Delhi NCR Pollution: Delhi NCR's AQI level is very poor - Poison is ...
zoomnews.in
Dissolved Air Flotation System – DAF Units for Solid Removal
amiwater.in
How to dissolve kidney stones | Blog
shrichyawanayurved.com
Which things dissolves in Water?
twinkl.co.in
(a) (i) Define reverse osmosis (ii) Why are aquatic species more ...
iqclasses.in
(a) (i) Define reverse osmosis (ii) Why are aquatic species more ...
iqclasses.in
Acetic acid undergoes dimerisation, when dissolved in benzene Molecular ...
tardigrade.in
Buy Hach HQ40d Portable pHConductivityOptical Dissolved OxygenORPISE ...
ubuy.co.in
Buy Dissolved Oxygen Meter Kit DO Meter For Temperature salinity and ...
ubuy.co.in
The products formed in the reaction of phenol with Br 2 dissolved in CS ...
tardigrade.in
Hindu Marriage Cannot Be Dissolved by Signing Dissolution Deed Before ...
lawbeat.in
Buy Scrubbing Bubbles® Dissolve™ Concentrated Pod Bathroom Cleaner, 2 ...
ubuy.co.in
Dissolved Air Flotation System Manufacturers and Suppliers from Faridabad
polluconengineering.in
In vinegar, what is the percentage of acetic acid dissolved in water?
prepp.in
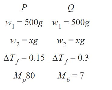
When the same amount of the solute ‘P’ and ‘Q’ are separately dissolved ...
tardigrade.in
Boiling point of benzene is 353.23 K. When 1.8 g of non-volatile solute ...
brainly.in
The Henrys law constant for the solubility of N2 gas in water at 298 K ...
edurev.in
1.17 gm of sample of Na2CO3 and K2CO3 was dissolved in water to form ...
edurev.in
DO-5510 Dissolved Oxygen Meter Hydrometer
toolworld.in
4. Determination of dissolved oxygen content of water sample by winkler ...
eee.poriyaan.in
Acetylene Gas - Dissolved Acetylene Gas Manufacturer from Medak
svigpl.in
Dissolved Air Flotation Manufacturer,Exporter & Supplier,India
wastewatertreatmentplants.in
Man dissolved in boiling, acidic Yellowstone National Park hot spring ...
indiatoday.in
Natural Home Remedies for Blood Clots | PharmEasy
pharmeasy.in
Related Searches
INR Normal Range
INR Testing
Inr Machine
INR Ratio
INR Values
INR Lab
INR Test Meter
INR Meaning
INR Chart
INR Currency
INR Calculation
INR Management
INR Blood Test
Warfarin
Therapeutic INR
Normal INR Value
PT/INR Values
Printable INR Chart
INR Scale
INR and PTT
Normal INR Levels Chart
Home INR Monitoring
INR Calculation Formula
INR aPTT
INR Norms
What Is INR Blood Test
Home INR Monitor
INR Equation
INR Meaning Medical
Money INR
INR Diagram
INR Logo
INR Readings
1 INR
INR PNG
INR Targets
INR Symbol
INR Medical Term
INR Dose
Causes of High INR
INR Rupee
Isi INR
Warfarin Nomogram
INR Notes
Supratherapeutic INR
Normal PT Time
INR Definition
International Normalized Ratio INR
INR Foods
INR Word
Search
×
Search
Loading...
No suggestions found