Find Your Style
Women
Men
Accessories
Search for clothing, brands, styles...
×
Women
Men
Accessories
Det Of Invertible Matrix
Search
Loading...
No suggestions found
INR Full Form: What is full form of INR?
bankersadda.com
Gensol and Matrix Win INR 164 Crore EPC Contract for India’s First ...
gleaf.in
Zen Technologies Secures INR 152 Crore Order from Ministry of Defence ...
thedefencematrix.in
Inverse Matrix Formula: Examples, Properties, Method
pw.live
Inverse Matrices and their Properties Video Lecture - Mathematics ...
edurev.in
Let A and B be two invertible matrices of order 3 × 3. If det (ABAᵀ ...
brainly.in
Inverse Matrix Formula: Examples, Properties, Method
pw.live
Theorem. a matrix aempn(f) is invertible if and only if det (a) =0 ...
scoop.eduncle.com
if A=a1 b1 c1 a2 b2 c2 a3 b3 c3 is non singular matrix then show that ...
brainly.in
50+ inverse trigonometric functions worksheets for 12th Class on ...
wayground.com
Let g denote the group of all 2 x 2 invertible matrices with entries ...
scoop.eduncle.com
CBSE Class 12 Maths Chapter 3 Matrices Formulas List, Important ...
jagranjosh.com
Which one of the following is true? a) A single vector is linearly ...
brainly.in
[Best Answer] If A and B are invertible matrices of same order such ...
brainly.in
IXL - Identify inverse matrices (Class XII maths practice)
in.ixl.com
If a and b are invertible matrices of same order such that |(AB)-1|=8 ...
brainly.in
How to solve for inverse matrix. Video Lecture - Crash Course for UGC ...
edurev.in
Invertible matrices - It's mathematics - National Open University Plus ...
studocu.com
Determine the inverse matrix of matrix C. - Brainly.in
brainly.in
Using elementary transformation, find the inverse of the matrix a = 8 4 ...
brainly.in
Questions and Answers - Solved Example Problems | Matrices
mech.poriyaan.in
How to find the inverse for a 3x3 matrix? - Brainly.in
brainly.in
if A=a1 b1 c1 a2 b2 c2 a3 b3 c3 is non singular matrix then show that ...
brainly.in
Let be the set of all invertible matrices with entries 0 and 1.
scoop.eduncle.com
The inverse of a 3x3 matrix - Exercise level 3 - Edexcel AS Further ...
studocu.com
Let a and b be 2x2 matrices over the real field. let det a and det b ...
scoop.eduncle.com
Let A and B be real invertible matrices such that AB = –BA. Then
scoop.eduncle.com
Singular Matrix - Types, Examples, Definition & Properties - Maths ...
aakash.ac.in
How to calculate inverse of a 4x4 matrix? - Brainly.in
brainly.in
M1 matrix algebra imp - a) Use invertible matrix theorem to decide if 𝐴 ...
studocu.com
Q4. (i) For what value of k, the matrix has no inverse? (ii) (iii ...
appliedmaths.in
Example : ll let a be 3 * 3 matrix with real entries such that det (a ...
scoop.eduncle.com
Q17. Find the inverse of each of the following matrices: Also verify ...
appliedmaths.in
Q4. (i) For what value of k, the matrix has no inverse? (ii) (iii ...
appliedmaths.in
Let a be a 3 x3 real matrix such that det (a) = 6 and where adj a ...
scoop.eduncle.com
Questions and Answers - Solved Example Problems | Matrices
mech.poriyaan.in
Matrices Formula: Definition, Properties, Types, Solution, Examples
pw.live
Show that the relation R in the set A = {1, 2, 3, 4, 5} given by R ...
ask.learncbse.in
Let H denote the group of all 2 ? 2 invertible matrices over ?5 under ...
scoop.eduncle.com
DETERMINANT OF A SQUARE MATRIX
home.iitk.ac.in
matrix Inverse
niser.ac.in
Q5. (i) (ii) If A is a square matrix of order 3 and | A| =5, then find ...
appliedmaths.in
Adjoint and Inverse of a Matrix in Math: Definition, Types and ...
aakash.ac.in
if A is the Invertible matrix of order 2 , then determinant of A = 3 ...
brainly.in
View question - Inverse Matrices
web2.0calc.com
நேர்மாறு அணிகளின் பண்புகள் (Properties of inverse of matrices) - வரையறை ...
brainkart.in
நேர்மாறு அணிகளின் பண்புகள் (Properties of inverse of matrices) - வரையறை ...
brainkart.in
Juiu example: 47 leta and b ben x n real matrices such that ab = ba = 0 ...
scoop.eduncle.com
Consider Mxn(R) the set of n x n matrices with real entries. Define T ...
brainly.in
நேர்மாறு அணிகளின் பண்புகள் (Properties of inverse of matrices) - வரையறை ...
brainkart.in
நேர்மாறு அணிகளின் பண்புகள் (Properties of inverse of matrices) - வரையறை ...
brainkart.in
DETERMINANT OF A SQUARE MATRIX
home.iitk.ac.in
If A and B are invertible matrices of order 3,|A|=2 and |(AB)inverse ...
brainly.in
If A is an invertible matrix of order 2×2 then find |A-¹| - Brainly.in
brainly.in
Rank of a Matrix
archive.nptel.ac.in
நேர்மாறு அணிகளின் பண்புகள் (Properties of inverse of matrices) - வரையறை ...
brainkart.in
Correlogram based Visualize Correlation Matrix in R | S-Logix
slogix.in
Matrices in One Shot Video Lecture - JEE
edurev.in
Find rank of matrix in R
mrinalcs.github.io
13. let s denote the set of all primes p such that the following matrix ...
scoop.eduncle.com
using elementary transformations, find the inverse of each of the ...
brainly.in
Buy Projection Matrices, Generalized Inverse Matrices, and Singular ...
amazon.in
சங்கேத மொழியியலில் அணிகளின் பயன்பாடுகள் (Application of matrices to ...
brainkart.in
நேர்மாறு அணிகளின் பண்புகள் (Properties of inverse of matrices) - வரையறை ...
brainkart.in
Question and Answer - MindStudy
mindstudy.in
One one or Many one Function Methods & Examples | AESL
aakash.ac.in
நேர்மாறு அணிகளின் பண்புகள் (Properties of inverse of matrices) - வரையறை ...
brainkart.in
Engineering Mathematics I I Unit1: Linear Algebra (Matrices) I Topic ...
edurev.in
Matrix Multiplication: Process, Properties & Calculator | AESL
aakash.ac.in
Let `a,b` and `c` be square matrices of order `3xx3` with real elements ...
brainly.in
நேர்மாறு அணிகளின் பண்புகள் (Properties of inverse of matrices) - வரையறை ...
brainkart.in
A brief glance at Quantum Cryptography | Meer
meer.com
நேர்மாறு அணிகளின் பண்புகள் (Properties of inverse of matrices) - வரையறை ...
brainkart.in
நேர்மாறு அணிகளின் பண்புகள் (Properties of inverse of matrices) - வரையறை ...
brainkart.in
ஒரு சதுர அணியின் நேர்மாறு அணி (Definition of inverse matrix of a square ...
brainkart.in
Let n be a positive integer and let m, (r) denotes the space of all n ...
scoop.eduncle.com
What is the formula for Det[ adj( adj(A) ) ] and how do you derive it ...
brainly.in
Q4. (i) For what value of k, the matrix has no inverse? (ii) (iii ...
appliedmaths.in
What is the inverse of an upper triangular matrix? - Brainly.in
brainly.in
Business Mathematics | Unit 1 Matrix and Determinants | B.COM 4th Sem ...
thetreasurenotes.in
Correlogram based Visualize Correlation Matrix in R | S-Logix
slogix.in
DETERMINANT OF A SQUARE MATRIX
home.iitk.ac.in
Inverse Trigonometric Functions: Definition, Formulas, Domain and Range
allen.in
Show that the function f : R* → R* defined by f(x) = 1/x is one-one and ...
ask.learncbse.in
4.inverse matriz - Inverse of a matrix - Diagonal Matrix: A square ...
studocu.com
50+ Class 11 worksheets on Quizizz | Free & Printable
wayground.com
View question - Find an invertible matrix such that P^(-1)AP = Jordan ...
web2.0calc.com
DETERMINANT OF A SQUARE MATRIX
home.iitk.ac.in
For which choice(s) of the constant k is the following matrix ...
scoop.eduncle.com
நேர்மாறு அணிகளின் பண்புகள் (Properties of inverse of matrices) - வரையறை ...
brainkart.in
வடிவக் கணிதத்தில் அணிகளின் பயன்பாடுகள் (Application of matrices to ...
brainkart.in
If a is a (2 x 2) matrix over r with det(a+1) = 1+ det(a), then we can ...
scoop.eduncle.com
சங்கேத மொழியியலில் அணிகளின் பயன்பாடுகள் (Application of matrices to ...
brainkart.in
Consider f : R → R given by f(x) = 4x + 3. Show that f is invertible ...
ask.learncbse.in
BrightChamps Logo
brightchamps.com
நேர்மாறு அணிகளின் பண்புகள் (Properties of inverse of matrices) - வரையறை ...
brainkart.in
சங்கேத மொழியியலில் அணிகளின் பயன்பாடுகள் (Application of matrices to ...
brainkart.in
MATRICES - TRUSSES USING MS EXCEL (College Mathematics Series Book 1 ...
amazon.in
Correlogram based Visualize Correlation Matrix in R | S-Logix
slogix.in
நேர்மாறு அணிகளின் பண்புகள் (Properties of inverse of matrices) - வரையறை ...
brainkart.in
If f: R R be an invertible function of x and 3g(x) = 5f(x) + 4, then → ...
brainly.in
Buy Reducing Saturation Error Of PAL TV Using Inverse Matrix Generator ...
desertcart.in
பயிற்சி 1.1: பூச்சியமற்ற கோவை அணியின் நேர்மாறு (Inverse of a Non− ...
brainkart.in
Matrix linear equation - A ij . Matrix made deleting rowi column j of A ...
studocu.com
வடிவக் கணிதத்தில் அணிகளின் பயன்பாடுகள் (Application of matrices to ...
brainkart.in
சங்கேத மொழியியலில் அணிகளின் பயன்பாடுகள் (Application of matrices to ...
brainkart.in
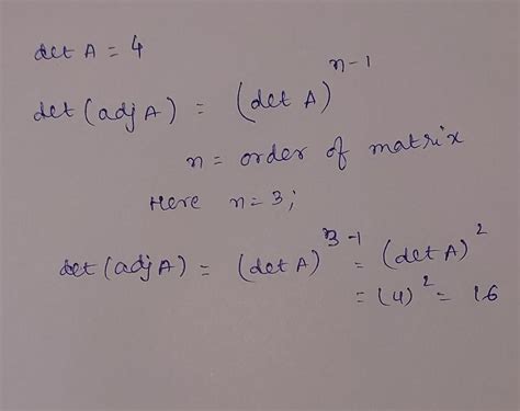
26. For a 3 x 3 matrix A, if det A = 4, then det (Adj A) equals ...
brainly.in
வடிவக் கணிதத்தில் அணிகளின் பயன்பாடுகள் (Application of matrices to ...
brainkart.in
Rank of an invertible matrix of order n is(A) n+1(B) n(C) n-1(D) 1 ...
brainly.in
ஒரு சதுர அணியின் சேர்ப்பு அணி (Adjoint of a Square Matrix) - வரையறை ...
brainkart.in
ஒரு சதுர அணியின் சேர்ப்பு அணி (Adjoint of a Square Matrix) - வரையறை ...
brainkart.in
Using a graph demonstrate a function which is invertible - Brainly.in
brainly.in
Q.3 If A is an invertible matrix, then which of the following is not ...
brainly.in
The permanent and the determinant - Recall that the determinant of a ...
studocu.com
Inverse of matrix of order 3×3 (1 2 3 4 5 6 7 8 9) - Brainly.in
brainly.in
பூச்சியமற்ற கோவை அணியின் நேர்மாறு (Inverse of a Non−Singular square ...
brainkart.in
பயிற்சி 1.1: பூச்சியமற்ற கோவை அணியின் நேர்மாறு (Inverse of a Non− ...
brainkart.in
பயிற்சி 1.1: பூச்சியமற்ற கோவை அணியின் நேர்மாறு (Inverse of a Non− ...
brainkart.in
பயிற்சி 1.1: பூச்சியமற்ற கோவை அணியின் நேர்மாறு (Inverse of a Non− ...
brainkart.in
Invertible and Non-Invertible Systems Video Lecture - Crash Course for ...
edurev.in
Related Searches
A Inverse Matrix
Invertible Matrix Example
Identity Matrix
3 X 3 Matrix Inverse
2 by 2 Matrix Inverse
Inverse Matrix 3X3
Adjoint of Matrix
Inverse Matrix Formula 3X3
Matrix Sample
Inverse Matrix
A Inverse in Matrix
2 2 Matrix Inverse
What Is Inverse Matrix
Inverse of 2D Matrix
Inverse Matrix 2*2
Inverse of a Matrix Formula
Inverse Transformation Matrix
Properties of Inverse Matrix
Square Matrix Inverse
Matrix Inverted
2X1 Matrix Inverse
Invertable Matrix Examples
Matrix of the Parts
Inverse Matrix I2
Matrix into Inverse Matrix
Matrix Inverse Alma
Distilled Inverse Matrix
Equation for Inerse Matrix
Left Seudo Inverse Matrix
Trace Matrix O Inverse
Inverse of Second Order Matrix
Flowchart for Finding Inverse of Matrix
Inverse of an Elementary Matrix
Search
×
Search
Loading...
No suggestions found