Find Your Style
Women
Men
Accessories
Search for clothing, brands, styles...
×
Women
Men
Accessories
Det Of Matrix Algorithm
Search
Loading...
No suggestions found
Fillable Online Coumadin Dosing Algorithm For INR of 2-3 Fax Email ...
pdffiller.com
INR Full Form: What is full form of INR?
bankersadda.com
Zen Technologies Secures INR 152 Crore Order from Ministry of Defence ...
thedefencematrix.in
Gensol and Matrix Win INR 164 Crore EPC Contract for India’s First ...
gleaf.in
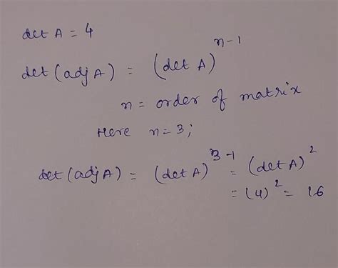
26. For a 3 x 3 matrix A, if det A = 4, then det (Adj A) equals ...
brainly.in
Let a and b be 2x2 matrices over the real field. let det a and det b ...
scoop.eduncle.com
If a is a (2 x 2) matrix over r with det(a+1) = 1+ det(a), then we can ...
scoop.eduncle.com
CFD TDMA Algorithm - Tridiagonal Matrix Algorithm A. Salih Department ...
studocu.com
Let a be a 3 x3 real matrix such that det (a) = 6 and where adj a ...
scoop.eduncle.com
Matrix linear equation - A ij . Matrix made deleting rowi column j of A ...
studocu.com
Design of a Cyberattack Resilient 77 GHz Automotive Radar Sensor
mdpi.com
Matrix Chain Multiplication - Algorithms - Computer Science Engineering ...
edurev.in
Matrix Multiplication: Process, Properties & Calculator | AESL
aakash.ac.in
Eigenvalue of a matrix by jacobi method for symmetric matrix - Solved ...
eee.poriyaan.in
Example : ll let a be 3 * 3 matrix with real entries such that det (a ...
scoop.eduncle.com
Aditya Books | Matrix Algorithms in MATLAB
adityabooks.in
Buy Matrix Methods in Data Mining and Pattern Recognition (Fundamentals ...
amazon.in
Associate Memory Network - NN Tutorial | Study Glance
studyglance.in
Structured Matrices in Numerical Linear Algebra: Analysis, Algorithms ...
amazon.in
Let A and B be two invertible matrices of order 3 × 3. If det (ABAᵀ ...
brainly.in
If a, b are 3*3 matrices such that det(a)= -2 det(b)=-1 then det(4 ab ...
brainly.in
Class 12 CBSE Applied Maths Determinants Exercise 4.4
appliedmaths.in
View question - If A is a 3x3 matrix such that det(A)=3, what is det(4A)
web2.0calc.com
1. let a and b be n x n nousingular matrices. then a det(a +b) = det a ...
scoop.eduncle.com
Faculty Blogs
marwaricollegeranchi.ac.in
Business Mathematics | Unit 1 Matrix and Determinants | B.COM 4th Sem ...
thetreasurenotes.in
MATRICES AND CALCULUS - Let λ be a scalar. The equation det [A- λ I]=0 ...
studocu.com
Constrained Eigenvalue Minimization of Incomplete Pairwise Comparison ...
mdpi.com
Constrained Eigenvalue Minimization of Incomplete Pairwise Comparison ...
mdpi.com
Buy Matrix Methods in Data Mining and Pattern Recognition: 4 ...
amazon.in
Matrices Formula: Definition, Properties, Types, Solution, Examples
pw.live
A New Generalized Chebyshev Matrix Algorithm for Solving Second-Order ...
mdpi.com
Constrained Eigenvalue Minimization of Incomplete Pairwise Comparison ...
mdpi.com
A New Generalized Chebyshev Matrix Algorithm for Solving Second-Order ...
mdpi.com
Algorithms: Algorithms - Matrix Chain Ordering
gateoverflow.in
Algorithm PART 7 - Matrix Operation - Chapter 28 - he also showed how ...
studocu.com
Tridiagonal Matrix Algorithm - MATLAB Video Lecture - MATLAB ...
edurev.in
Buy Matrix Algorithms: Volume 2, Eigensystems Book Online at Low Prices ...
amazon.in
Deblurring Images: Matrices, Spectra, and Filtering (Fundamentals of ...
amazon.in
Strassen’s Matrix Multiplication - Algorithms - Computer Science ...
edurev.in
Constrained Eigenvalue Minimization of Incomplete Pairwise Comparison ...
mdpi.com
Futuristic digital matrix encrypted data and complex algorithms in ...
freepik.com
CS101: Algorithms for Sum, Addition, and Multiplication of Matrices ...
studocu.com
Matrices exercises with ans - 1 EXERCISES WITH 1) You are told that the ...
studocu.com
Parallel Matrix Multiplication on GPGPU, using Vulkan Compute API
itzmeanjan.in
Buy Matrix Algorithms: Basic Decompositions Book Online at Low Prices ...
amazon.in
Algorithms for Non-negative Matrix - Algorithms for Non-negative Matrix ...
studocu.com
Dense Matrix Multiplication Algorithms and Performance Evaluation of ...
mdpi.com
ω-Circulant Matrices: A Selection of Modern Applications from ...
mdpi.com
ω-Circulant Matrices: A Selection of Modern Applications from ...
mdpi.com
Constrained Eigenvalue Minimization of Incomplete Pairwise Comparison ...
mdpi.com
Find Sum of Diagonal Elements of Matrix Program in C++ - C++ Programs
sitesbay.com
Algorithms: Virtual Gate Test Series: Algorithms - Matrix Chain Ordering
gateoverflow.in
Inverse Matrix Formula: Examples, Properties, Method
pw.live
Collection of Matrices for Testing Computational Algorithms : Gregory ...
amazon.in
What is the formula for Det[ adj( adj(A) ) ] and how do you derive it ...
brainly.in
Buy Separable Type Representations of Matrices and Fast Algorithms Book ...
amazon.in
Constrained Eigenvalue Minimization of Incomplete Pairwise Comparison ...
mdpi.com
ω-Circulant Matrices: A Selection of Modern Applications from ...
mdpi.com
Faculty Blogs
marwaricollegeranchi.ac.in
ω-Circulant Matrices: A Selection of Modern Applications from ...
mdpi.com
ω-Circulant Matrices: A Selection of Modern Applications from ...
mdpi.com
Given a 2x2 unitary matrix satistying u u =uu=i with detu = e.one can ...
scoop.eduncle.com
Buy Matrix Methods: Theory, Algorithms And Applications - Dedicated To ...
amazon.in
ω-Circulant Matrices: A Selection of Modern Applications from ...
mdpi.com
Buy Matrix Algorithms in MATLAB Book Online at Low Prices in India ...
amazon.in
Upper and lower triangular sparse Matrix - Data Structures and ...
studocu.com
Algorithms: matrix multiplication
gateoverflow.in
Upper and lower triangular sparse Matrix - Data Structures and ...
studocu.com
Data structures and Algorithm Analysis in C, 2e : Weiss: Amazon.in: Books
amazon.in
Algorithm page of HemoPI
webs.iiitd.edu.in
21BCE5397 matrix chain ekta saraf - 21 BCE 5397 BCSE204P- Design and ...
studocu.com
Upper and lower triangular sparse Matrix - Data Structures and ...
studocu.com
Quick Sort | Ujjwalit
ujjwalit.co.in
Algorithms | Special Issue : Algorithms for Non-negative Matrix ...
mdpi.com
Analysis and Design of Parallel Algorithms: Arithmetic and Matrix ...
amazon.in
6. If the orthogonal square matrices A and B of same size satisfy det ...
brainly.in
Optimization Algorithms on Matrix Manifolds eBook : Absil, P.-A ...
amazon.in
Matrix | DSA 450 Cracker Data Structures and Algorithms - Bytezone
450dsa.bytezone.in
Buy Control Perspectives on Numerical Algorithms and Matrix Problems ...
amazon.in
Matrix Multiplication: Process, Properties & Calculator | AESL
aakash.ac.in
If A is a 4×4 matrix and det A= -2 then det(AdjA)= - Brainly.in
brainly.in
Buy Matrices and Simplex Algorithms: A Textbook in Mathematical ...
amazon.in
How to Memorize Speedcube Algorithms Faster - Cubelelo
cubelelo.com
The permanent and the determinant - Recall that the determinant of a ...
studocu.com
Buy STRUCTURED MATRICES AND POLYNOMIALS: UNIFIED SUPERFAST ALGORITHMS ...
amazon.in
Buy Matrix-Based Multigrid: Theory and Applications: 2 (Numerical ...
amazon.in
Grade R Coding Worksheet: Safari (CAPS Aligned) - Twinkl
twinkl.co.in
Letr andy in r\" be non-zero column vectors. form the matrix a=xy ...
scoop.eduncle.com
Det. of 6a+i is
scoop.eduncle.com
Buy Randomized Algorithms for Matrices and Data: 9 (Foundations and ...
amazon.in
Algorithm and flowchart of matrix addition - Brainly.in
brainly.in
Coding wallpaper 4k Images - Free Download on Freepik
freepik.com
Fast Reliable Algorithms for Matrices with Structure (Advances in ...
amazon.in
Buy Parallel Algorithms for Matrix Computations Book Online at Low ...
amazon.in
C Program to Find Sum of Diagonal Elements of Matrix - C Programs
sitesbay.com
A is matrix of order 3 such that det(adj a)=8. find det a - Brainly.in
brainly.in
Matrix hacking wallpaper Images - Free Download on Freepik
freepik.com
If A is a square matrix of order 3 such that det(adj A)=289, then find ...
brainly.in
Algorithms: Matrix Multiplication
gateoverflow.in
what is flowchart? - CODER BABA
coderbaba.in
Whay is the relation between det a and det a^-1 and det ( adj a ...
brainly.in
Data Structures and Algorithms in Python : Tamassia, Roberto ...
amazon.in
Buy Optimization Algorithms on Matrix Manifolds Book Online at Low ...
amazon.in
Buy Introduction to Algorithms, fourth edition Book Online at Low ...
amazon.in
Buy Graph Theory and Sparse Matrix Computation: Workshop on Sparse ...
amazon.in
What is Feature Extraction in hindi - Feature Extraction in Data Science
aibook.in
Coding wallpaper 4k Images - Free Download on Freepik
freepik.com
A and B are square matrices such that A^2020=0 and AB=A+B then det(B ...
brainly.in
Elementary transformations of a Matrix and Gauss Jordan method to find ...
studocu.com
write the value of det A. - Brainly.in
brainly.in
Daa UNIT5 notes - UNIT – V Deterministic and non-deterministic ...
studocu.com
If A is a skew symmetric matrix of order 3, then prove that det A=0 ...
brainly.in
Let A=[ai j]2 × 2 be a matrix such that Tr(A)=5 . If f(x)=det(A - x I ...
tardigrade.in
find the characteristic roots of the matrix A=5 -2 0 -2 6 2 0 7 2 ...
brainly.in
Computer Vision: Algorithms and Applications (Texts in Computer Science ...
amazon.in
Adobe Scan Dec 15, 2023 - unit-5 - Design analysis of algorithm - det ...
studocu.com
Lagware - Generative_Algorithm_R (IC011) - Industrial Complexx
industrialcomplexx.com
Hierarchical Matrices: Algorithms and Analysis (Springer Series in ...
amazon.in
Study Glance | Programming for Problem Solving Lab Manual(Programs)
studyglance.in
Related Searches
Det Matrix 3 3
Det 2X2 Matrix
2 2 Matrix Inverse
Der Matrix 3X3
Det 4x4 Matrix
Triangular Matrix Determinant
Determinant of Transpose Matrix
Cofactor Matrix
Adjugate Matrix
Adjoint Matrix
Determinant of Diagonal Matrix
Det of 3D Matrix
3X3 Inverse Matrix Example
Determinant of 5X5 Matrix
Invertible Matrix
Nonsingular Matrix
Invertible Matrix Theorem
Determinant of Block Matrix
Upper Triangular Matrix
Three Det Matrix
Determinant Symbol
Inverse Matrix Formula
Skew Symmetric Matrix
Cofactor Expansion Matrix
Inverse Matrices
Det Cord Matrix
Det of 2D Matrix
Det of Diamond Matrix
Det of an Empty Matrix
Det Matrix and Ansers
Matrix 1
Finding the Determinant of a 3X3 Matrix
1X1 Matrix
Det Matrix Alternating Signs
Matrix Inverse Properties
Product of Two Matrices
Matrix Math
Matrix Det OET
Singular Matrices
Determinant Linear Algebra
Det of a Non Square Matrix
Determinant of 8X8 Matrix
Matrix with Det of 0 Exampl
Rows and Columns Matrix
Cramer's Rule 3X3
Matrix Multiplication 2X2 2X3
Matrix Denominator
Deta Matrix Formula
Matrix Det Digits Examples
Matrix with Det 0 Exaxmpole
Search
×
Search
Loading...
No suggestions found