Find Your Style
Women
Men
Accessories
Search for clothing, brands, styles...
×
Women
Men
Accessories
Diagram 0 Example
Search
Loading...
No suggestions found
Entity-Relationship (ER) Diagram Symbols and Notations | EdrawMax
edrawsoft.com
A Beginner's Guide to Data Flow Diagrams - Blog
appsmanager.in
A Beginner's Guide to Data Flow Diagrams - Blog
appsmanager.in
Guía para entender los niveles en los diagramas de flujo de datos (DFD)
edrawsoft.com
Comprendre les diagramme de flux de données | Lucidchart
lucidchart.com
Data Models and their Types - Simplynotes - Online Notes for MBA, BBA ...
simplynotes.in
DRDO Seeks Indian Industry Participation To Develop SATCOM Data Link ...
aame.in
Bus Reservation System Data Flow Diagram Pdf - Bus Reservation System ...
studocu.com
¿Qué es un Diagrama ER?
edrawsoft.com
Online Examination System, PHP and MySQL Project Report Download
programmer2programmer.net
Process Data set: Polypropylene (PP), petrochemical based ...
ecoinvent.lca-data.com
MS3106F Drawing Datasheet by Amphenol Industrial Operations | Digi-Key ...
digikey.in
Guía completa de diagrama de red - Edraw
edrawsoft.com
Databases: ISRO2017-8
gateoverflow.in
Flow Diagram for Plastic Recycling
icpe.in
Timer IC 555 - Operating working principle, Block Diagram, Pin Diagram ...
eee.poriyaan.in
What is a sales invoice? Complete guide on how to create one
zendesk.com
Phase diagram of sulfur explanation - PHASE DIAGRAM OF SULFUR The phase ...
studocu.com
Разберем по-порядку Web1.0 Web2.0 > Web3.0 — Teletype
teletype.in
The Reciprocity Theorem - Statement, Proof, Circuit Diagram, Formula ...
eee.poriyaan.in
Network Topology Guide with Examples & Templates | EdrawMax
edrawsoft.com
Moments - moment generating functions and their properties - Formula ...
eee.poriyaan.in
(ii) Continuous random variables - Formula, Solved Example Problems
eee.poriyaan.in
What Are Architectural Diagrams? | A Guide 2025
novatr.com
How to Make a Network Diagram in Visio? - EdrawMax
edrawsoft.com
Singularities - residues residue theorem: Solved Example Problems ...
eee.poriyaan.in
Singularities - residues residue theorem: Solved Example Problems ...
eee.poriyaan.in
Voltage Controlled Oscillator Circuit (IC 566) - Operating working ...
eee.poriyaan.in
Stacks | Learn Everything about Stacks in DSA
talentbattle.in
Web 3.0 and payments - PwC India
pwc.in
Differential Calculus: Function - Definition, Methods of Representing ...
mech.poriyaan.in
More Than Sign and Less Than Sign | Definition & Examples
twinkl.co.in
10 Types of Architectural Concepts For an Effective Design
novatr.com
Fuel Supply System In Petrol Engine: Types & Factors
godigit.com
Solved Example & Practice Problems: Equilibrium of Coplanar Non ...
mech.poriyaan.in
Problems based on analytic function necessary conditions – cauchy ...
eee.poriyaan.in
(b) Problems based on P.I.= 1/f(D) eax ⇒ Replace D by a - Solved ...
eee.poriyaan.in
what is a well-behaved wave function ? illustrate with diagrams ...
brainly.in
Technical features of Web 3.0 on the example of Axelar Network — Teletype
teletype.in
Acknowledgement of Country | Examples for Schools | Twinkl
twinkl.co.in
Procurement Services - Case Studies
synise.com
Practical Maintenance » Blog Archive » Heat Treatment of Steel
practicalmaintenance.net
Explain the IPO cycle with diagram - Brainly.in
brainly.in
Applications of Integral - Definition, Worked Examples, Exercise with ...
mech.poriyaan.in
Buy Regression Analysis By Example Using R Book Online at Low Prices in ...
amazon.in
System Analysis - SYSTEM ANALYSIS 3 Data Flow Diagram: 0 th level DFD ...
studocu.com
3D Shapes with Real-World Examples Flashcards
twinkl.co.in
Explain various components of a digital computer system with block ...
brainly.in
Monostable Multivibrator (Using Op Amp) - Analog and Digital ...
edurev.in
This is not a two-dimensional diagram: (a) Bar diagram (b) Square ...
brainly.in
Poisson Process - Continuous time Markov Chain
ece.poriyaan.in
API Documentation Made Easy with OpenAPI & Swagger
1985.co.in
Continuity - Definition, Theorem, Solved Example Problems ...
mech.poriyaan.in
2020 Honda Civic Fuse Box Diagram - Ninja Fix
ninjafix.in
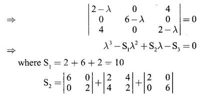
Properties of eigen values - Matrices
mech.poriyaan.in
Enantiomers: Definitions, Examples, Properties, Representation ...
collegesearch.in
Buy Object Avoiding Robot with Arduino Uno and Servo,Along with Coding ...
desertcart.in
Bearing Lock Nuts R Type | MISUMI | MISUMI India
in.misumi-ec.com
Kirchoff's Law
civil.poriyaan.in
Worked Examples of Real Quadratic Form Reduction to Canonical Form ...
mech.poriyaan.in
Advanced Features For Chord Diagrams - Data Crayon
datacrayon.com
Resume Examples for Various Industries | Sample CV Templates
resumewritingservices.in
Odd and Even Functions - Definition, Example, Waveform, with Solved ...
mech.poriyaan.in
Continuity - Definition, Theorem, Solved Example Problems ...
mech.poriyaan.in
Odd and Even Functions - Definition, Example, Waveform, with Solved ...
mech.poriyaan.in
Improper Integrals - Theorem, Worked Examples, Exercise with Answers ...
mech.poriyaan.in
Discrete Mathematics Lecturer Notes PDF-36 - 1 0 0 Example : Let 0 1 1 ...
studocu.com
Livpure Envy Plus RO+UV+UF Water Purifier with Pre Filter: Amazon.in ...
amazon.in
draw a labelled diagram to show the working of a kaleidoscope.what are ...
brainly.in
Expanded polystyrene Water Resistant Board Insulation at Lowes.com
lowes.com
In-Vehicle Gateway ECU Applications - TDK | Mouser
mouser.in
2023 Honda Civic Type R unveiled as the most powerful model in 30 years ...
overdrive.in
Quotation - What is a Quotation? | Refrens Invoice
refrens.com
Analytic functions
eee.poriyaan.in
E4Q.82 series | tool-free opening and closing | igus
igus.in
give a labelled diagram of the cpu and it's parts - Brainly.in
brainly.in
C Programming : Operators and Expressions introduction, examples and ...
techdoge.in
Examples
civil.poriyaan.in
Concurrent Force System in Three Dimensions - with Solved Example Problems
mech.poriyaan.in
Odd And Even Functions
civil.poriyaan.in
2022 Maruti Suzuki WagonR: Prices and variants explained - Overdrive
overdrive.in
Examples of Diary Writing Entries - Teaching Resource
twinkl.co.in
explain the order of execution of constructors in multilevel ...
brainly.in
Examples
civil.poriyaan.in
Top 10 Cheapest Cars in India - Sep 2024
smcinsurance.com
CAPS Lesson Plan Template | Twinkl South Africa - Twinkl
twinkl.co.in
Maruti Wagon R Price, Specs, Images, Colours & Reviews
autovista.in
Holiday Recount Writing Example KS2
twinkl.co.in
Mt199 Swift Message Example - Fill Online, Printable, Fillable, Blank ...
pdffiller.com
Applications of Integral - Definition, Worked Examples, Exercise with ...
mech.poriyaan.in
3. Draw a number line and represent rational numbers and on it ...
brainly.in
CoverageEligibilityRequest/auth-requirement-example-01 - TTL ...
nrces.in
25 examples for creepers - Brainly.in
brainly.in
Maruti Wagon R Images, Wagon R Interior & Exterior Photos
autovista.in
View question - Second post of LaTeX
web2.0calc.com
React Native WebView Example (Reusable webview screen)- Building ...
techup.co.in
Maruti Suzuki Wagon R 1.0L VXI CNG price, specs, mileage, colours ...
carz4sale.in
Cholamandalam MS General Insurance | Renew & Buy Online
gibl.in
Size Chart – SIDARAA
sidaraa.com
AD9208-DUAL-EBZ Virtex UltraScale+ VCU118 Quick Start Guide [Analog ...
wiki.analog.com
Zeros At End Of Factorial Write a method Met that takes as parameter an ...
brainly.in
How to Write a Memo [Template & Examples] - Blog
appsmanager.in
Loading TMS..
tms.wify.co.in
Finance Basics for Investor - India Dictionary
1investing.in
Advanced Rail Controls - Providing Rail Domain Solutions
arc.net.in
Formalist criticism of the short story Mother by Sherwood Anderson ...
studocu.com
Objectives of Research - OBJECTIVES OF RESEARCH Research is defined as ...
studocu.com
Woodcock Johnson Test Sample Pdf - Fill Online, Printable, Fillable ...
pdffiller.com
What is additive identity in whole numbers - Brainly.in
brainly.in
18 Printable Da Form 1594 Templates - Fillable Samples in PDF, Word to ...
pdffiller.com
GeForce.com Watch Dogs 2 Shadows Interactive Comparison: NVIDIA PCSS vs ...
images.nvidia.com
The new BMW R nineT Racer and R nineT Pure Stylish Roadster and ...
motorcycleparts-hornig.com
The marks obtained by 35 students in a test (out of 50) are as below ...
brainly.in
GATE 2025 Data Science & Artificial Intelligence (DA) Question Papers ...
collegedekho.com
Version 0.4.1.2 released - BeamNG.drive
beamng.com
Cholamandalam MS General Insurance | Renew & Buy Online
gibl.in
Three tools are taken out of a tool box having ten different machine ...
brainly.in
if a =root 7 -6/root +6 and b=root 7 = root 6 /root 7 - root find the ...
brainly.in
Anči kolači Pančevo | Rodjendanske torte | RODJENDANKO | Igraonice i ...
rodjendanko.com
Related Searches
Level 0 Diagram Example
Dfd Level 0 Diagram Example
Flow Chart Diagram Example
Types of Data Flow Diagram
Diagram Zero
Database Data Flow Diagram
Data Flow Diagram Template
Create a Data Flow Diagram
Library System Context Diagram
IT System Context Diagram
Information System Data Flow Diagram
Easy Flow Chart Creator
Visio Workflow Diagram
Inventory Management Diagram
How to Create a Data Flow Diagram
Website Flowchart Example
System Flow Diagram Examples
Deployment Diagram Example
Business Context Diagram Examples
BPMN Process Diagram
Sample of Diagram 0
UML Data Flow Diagram Example
Cash Flow Diagram Generator
Data Flow Diagram Dfd Level 1
Data Flow Diagram Online
Data Flow Diagram Bank
Data Flow Diagram Tutorial
Data Flow Diagram PDF
Integration Diagram Examples
Hospital Management Data Flow Diagram
Sample Use Case Diagram
Data Flow Diagram Level 0 1 2 Examples
Editable Data Flow Diagram
Payroll Context Diagram
Graphic Diagram
Single Line Diagram Electrical Example
Logical Data Flow Diagram
What Is a Level 0 Data Flow Diagram
Concept Diagram Example in Architecture
Physical Data Flow Diagram
Data Flow Diagram Symbols
IDEF0 Diagram
Business Process Modeling Examples
Leve 0 Diagram
Sample UML Sequence Diagram
Data Flow Diagram Shapes
Functional Diagram Examples
Data Flow Diagram Level 0 Gane and Sarson
Class Diagram Level 0 Example
Application Architecture Diagram Example
Search
×
Search
Loading...
No suggestions found