Find Your Style
Women
Men
Accessories
Search for clothing, brands, styles...
×
Women
Men
Accessories
Dielectricaa Rope
Search
Loading...
No suggestions found
Understanding the Saudi Riyal Currency | INR to SAR
orientexchange.in
INR Full Form: What is full form of INR?
bankersadda.com
Top 10 Countries Where INR Has the Highest Value in 2025
currentaffairs.adda247.com
Mumbai Indians shells whopping INR 1.2 crore to rope in Shabnim Ismail ...
sportskeeda.com
Wire Rope Hoist Products at price INR 36000 in Ahmedabad | FEFCO ...
fefco.in
Facts about Indian businessman who is buying Lavasa city for INR 1814 ...
timesofindia.indiatimes.com
Explore the smoothest whiskey collection: Best Scotch under INR 2000
lifestyleasia.com
Perpetual Protocol Live Price Chart, PERP to INR live price and Market cap
suncrypto.in
Anand Kamalnayan Pandit — INR 8,660 Cr (Sri Lotus Developers & Realty ...
economictimes.indiatimes.com
Anand Kamalnayan Pandit — INR 8,660 Cr (Sri Lotus Developers & Realty ...
economictimes.indiatimes.com
Anand Kamalnayan Pandit — INR 8,660 Cr (Sri Lotus Developers & Realty ...
economictimes.indiatimes.com
Anand Kamalnayan Pandit — INR 8,660 Cr (Sri Lotus Developers & Realty ...
economictimes.indiatimes.com
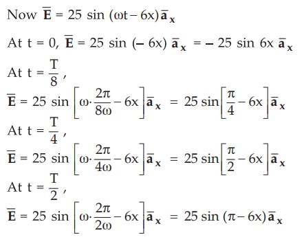
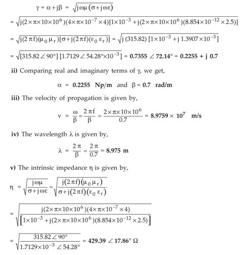
Uniform Plane Waves in Perfect (or Lossless) Dielectric ...
eee.poriyaan.in
Effect of Dielectric on Capacitance - Physics for JEE Main and Advanced ...
edurev.in
Dielectric Materials and Insulation - Introduction
eee.poriyaan.in
Understanding Dielectric Constant : Definition, Formula, and Application
allen.in
Dielectric Loss - Definition, Formula, Circuit, Waveform diagram ...
eee.poriyaan.in
Uniform Plane Waves in Perfect (or Lossless) Dielectric ...
eee.poriyaan.in
Types of dielectric breakdown
eee.poriyaan.in
Dielectric Materials and Insulation - Introduction
eee.poriyaan.in
Uniform Plane Waves in Lossy Dielectric - Electromagnetic Waves
eee.poriyaan.in
Understanding Dielectric Constant : Definition, Formula, and Application
allen.in
Dielectric Materials
eee.poriyaan.in
Dienoc Dielectric Non-conductive Harness with Work Positioning Belt ...
karam.in
Dienoc Dielectric Non-Conductive Harness with 3 Adjustment & 2 ...
karam.in
Clausius - Mosotti equation - Dielectric Materials
eee.poriyaan.in
Uniform Plane Waves in Perfect (or Lossless) Dielectric ...
eee.poriyaan.in
Dielectric Materials
eee.poriyaan.in
Dielectric Materials
eee.poriyaan.in
Class 12 ISC Physics Important Notes Chapter Capacitors and Dielectric
iqclasses.in
Dielectric Materials
eee.poriyaan.in
Types of dielectric breakdown
eee.poriyaan.in
Types of dielectric breakdown
eee.poriyaan.in
Dielectric Materials
eee.poriyaan.in
Dielectric Materials
eee.poriyaan.in
Class 12 ISC Physics Important Notes Chapter Capacitors and Dielectric
iqclasses.in
Uniform Plane Waves in Lossy Dielectric - Electromagnetic Waves
eee.poriyaan.in
Dielectric Materials
eee.poriyaan.in
Class 12 ISC Physics Important Notes Chapter Capacitors and Dielectric
iqclasses.in
Uniform Plane Waves in Lossy Dielectric - Electromagnetic Waves
eee.poriyaan.in
Uses and SideEffects of Warfarin: What You Need to Know
medicoverhospitals.in
Understanding Dielectric Constant : Definition, Formula, and Application
allen.in
Uniform Plane Waves in Lossy Dielectric - Electromagnetic Waves
eee.poriyaan.in
Uniform Plane Waves in Lossy Dielectric - Electromagnetic Waves
eee.poriyaan.in
Class 12 ISC Physics Important Notes Chapter Capacitors and Dielectric
iqclasses.in
Uniform Plane Waves in Perfect (or Lossless) Dielectric ...
eee.poriyaan.in
Coagulation Analyzer - Micropoint Q3 Pro Electrometer PT-INR Trader ...
r2healthcare.in
India shining: Rupee inches closer to becoming international currency ...
timesnownews.com
Two point charges placed in a medium of dielectric constant 5 are at a ...
tardigrade.in
Buy Midline Valve EVGT0300-OM Flanged Dielectric Union Pipe Fitting 3 ...
ubuy.co.in
Dielectric Materials
eee.poriyaan.in
Two parallel plates of area A are separated by two different dielectric ...
tardigrade.in
Dielectric Materials
eee.poriyaan.in
Uniform Plane Waves in Perfect (or Lossless) Dielectric ...
eee.poriyaan.in
If qf is the free charge on the capacitor plates and qb is the bound ...
tardigrade.in
USD/INR Cracks Big: Falls 2% in 4 Days! | Investing.com India
in.investing.com
Uniform Plane Waves in Perfect (or Lossless) Dielectric ...
eee.poriyaan.in
Uniform Plane Waves in Perfect (or Lossless) Dielectric ...
eee.poriyaan.in
Gold Necklace Set for Women | Buy Gold Necklace Set Online India ...
manubhai.in
Two point charges placed at a distance r in the air experience a ...
edurev.in
Uniform Plane Waves in Lossy Dielectric - Electromagnetic Waves
eee.poriyaan.in
Uniform Plane Waves in Lossy Dielectric - Electromagnetic Waves
eee.poriyaan.in
Anna university solved problems - Dielectric Materials and Insulation ...
eee.poriyaan.in
Class 12 ISC Physics Important Notes Chapter Capacitors and Dielectric
iqclasses.in
Uniform Plane Waves in Lossy Dielectric - Electromagnetic Waves
eee.poriyaan.in
Ferroelectricity - Definition, Examples, Dielectric hysteresis ...
eee.poriyaan.in
Uniform Plane Waves in Lossy Dielectric - Electromagnetic Waves
eee.poriyaan.in
Gold Necklace Set for Women | Buy Gold Necklace Set Online India ...
manubhai.in
Dielectric Test Set Solutions by PEQVI | Reliable Testing Made Easy
pact.in
Dielectric Materials
eee.poriyaan.in
Buy Diamond Necklace Online | Diamond Set Online Manubhai Jewellers
manubhai.in
Two parallel plates of area A are separated by two different dielectric ...
tardigrade.in
Class 12 ISC Physics Important Notes Chapter Capacitors and Dielectric
iqclasses.in
Class 12 ISC Physics Important Notes Chapter Capacitors and Dielectric
iqclasses.in
Uniform Plane Waves in Perfect (or Lossless) Dielectric ...
eee.poriyaan.in
Change in Electrical/Mechanical Properties of Plasma Polymerized Low ...
mdpi.com
Uniform Plane Waves in Lossy Dielectric - Electromagnetic Waves
eee.poriyaan.in
A parallel plate capacitor has plate area 40 cm 2 and plates separation ...
tardigrade.in
Buy Gold Pendant Set with Earrings Online India | Latest Gold Pendant ...
manubhai.in
Uniform Plane Waves in Perfect (or Lossless) Dielectric ...
eee.poriyaan.in
Buy Corsica Eden Artificial Succulent in Rope Net Hanger from Corsica ...
homecentre.in
Part A - 2 Marks Questions and Answer - Dielectric Materials and ...
eee.poriyaan.in
1 million dong in indian rupees - Brainly.in
brainly.in
A parallel plate capacitor with plate area A and plate separation d =2 ...
tardigrade.in
Class 12 ISC Physics Important Notes Chapter Capacitors and Dielectric
iqclasses.in
Uniform Plane Waves in Lossy Dielectric - Electromagnetic Waves
eee.poriyaan.in
Uniform Plane Waves in Perfect (or Lossless) Dielectric ...
eee.poriyaan.in
Gold Necklace Set for Women | Buy Gold Necklace Set Online India ...
manubhai.in
Tatcha Indigo Overnight Repair: Benefits & Full Review - Epicfashion
epicfashion.in
Buy Diamond Necklace Online | Diamond Set Online Manubhai Jewellers
manubhai.in
Uniform Plane Waves in Lossy Dielectric - Electromagnetic Waves
eee.poriyaan.in
capacitance level transmitter I capacitive sensor I Toshbro Controls
toshbrocontrols.com
Uniform Plane Waves in Lossy Dielectric - Electromagnetic Waves
eee.poriyaan.in
Uniform Plane Waves in Lossy Dielectric - Electromagnetic Waves
eee.poriyaan.in
Rupee likely to go to 81 82 to the US dollar, or even higher. Here’s ...
businesstoday.in
A parallel plate condenser with plate area A and separation d is filled ...
tardigrade.in
Class 12 ISC Physics Important Notes Chapter Capacitors and Dielectric
iqclasses.in
Anna university solved problems - Dielectric Materials and Insulation ...
eee.poriyaan.in
Uniform Plane Waves in Lossy Dielectric - Electromagnetic Waves
eee.poriyaan.in
Class 12 ISC Physics Important Notes Chapter Capacitors and Dielectric
iqclasses.in
Sri Lanka and Russia in talks to use the rupee in foreign trade
currentaffairs.adda247.com
Rope HSN Code : Applicability, HSN Code and GST Rate on Rope
pocketful.in
Buy Gold Set Online | Gold Set by Manubhai.
manubhai.in
Buy Gold Bangles Online India with Latest Designs - Manubhai Jewellers
manubhai.in
USD/INR Breaking Imp. Trendline; Is Nifty 50 Topping Out? | Investing ...
in.investing.com
Class 12 ISC Physics Important Notes Chapter Capacitors and Dielectric
iqclasses.in
Uniform Plane Waves in Lossy Dielectric - Electromagnetic Waves
eee.poriyaan.in
Class 12 ISC Physics Important Notes Chapter Capacitors and Dielectric
iqclasses.in
How Indian Rupee Stands Against Other Major Currencies
indiatimes.com
Uniform Plane Waves in Lossy Dielectric - Electromagnetic Waves
eee.poriyaan.in
Class 12 ISC Physics Important Notes Chapter Capacitors and Dielectric
iqclasses.in
New Arrivals - Women
siddarthatytler.com
Uniform Plane Waves in Perfect (or Lossless) Dielectric ...
eee.poriyaan.in
Hurun India 2025: 10 billionaire Indians who entered the rich list this ...
economictimes.indiatimes.com
Dielectric Safety Shoes - Dielectric Boots Insulated Safety Shoes OEM ...
bombaytools.in
Explain, using suitable diagrams, the difference in the behaviour of a ...
brainly.in
Diamond Necklace Designs | Buy Diamond Necklace Set Online at Best ...
manubhai.in
Uniform Plane Waves in Lossy Dielectric - Electromagnetic Waves
eee.poriyaan.in
Class 12 ISC Physics Important Notes Chapter Capacitors and Dielectric
iqclasses.in
Uniform Plane Waves in Lossy Dielectric - Electromagnetic Waves
eee.poriyaan.in
Related Searches
INR Normal Range
INR Testing
Inr Machine
INR Ratio
INR Values
INR Lab
INR Test Meter
INR Meaning
INR Chart
INR Currency
INR Calculation
INR Management
INR Blood Test
Warfarin
Therapeutic INR
Normal INR Value
PT/INR Values
Printable INR Chart
INR Scale
INR and PTT
Normal INR Levels Chart
Home INR Monitoring
INR Calculation Formula
INR aPTT
INR Norms
What Is INR Blood Test
Home INR Monitor
INR Equation
INR Meaning Medical
Money INR
INR Diagram
INR Logo
INR Readings
1 INR
INR PNG
INR Targets
INR Symbol
INR Medical Term
INR Dose
Causes of High INR
INR Rupee
Isi INR
Warfarin Nomogram
INR Notes
Supratherapeutic INR
Normal PT Time
INR Definition
International Normalized Ratio INR
INR Foods
INR Word
Search
×
Search
Loading...
No suggestions found