Find Your Style
Women
Men
Accessories
Search for clothing, brands, styles...
×
Women
Men
Accessories
Differentiation 2log
Search
Loading...
No suggestions found
மடக்கை வகையிடல் (Logarithmic Differentiation) - எடுத்துக்காட்டு ...
brainkart.in
Q1. the second order derivatives of the following functions : (i) x2+3x ...
appliedmaths.in
Q3. (i) If y =log (x + √x2 +1), prove that (x2 + 1) d2y / dx2 + x dy ...
appliedmaths.in
Q5. If x = log t and y = 1/t prove that d2y / dx2 + dy / dx = 0
appliedmaths.in
Q1. the second order derivatives of the following functions : (i) x2+3x ...
appliedmaths.in
மடக்கை வகையிடல் (Logarithmic Differentiation) - எடுத்துக்காட்டு ...
brainkart.in
Q3. (i) If y = xy, prove that x dy / dx = y2 / 1 - y log x (ii) If x ...
appliedmaths.in
மடக்கை வகையிடல் (Logarithmic Differentiation) - எடுத்துக்காட்டு ...
brainkart.in
Q5. (i) Differentiate x2 / 1 - x2 w.r.t. x2 (ii) Differentiate xx w.r.t ...
appliedmaths.in
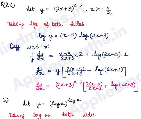
Q2. (i) (2x + 3)x - 5, x > - 3 / 2 (ii) (log x)log x, x > 1
appliedmaths.in
Q5. Differentiate xlog x + (log x)x w.r.t. x.
appliedmaths.in
Q2. (i) (2x + 3)x - 5, x > - 3 / 2 (ii) (log x)log x, x > 1
appliedmaths.in
Q3. (i) If y = xy, prove that x dy / dx = y2 / 1 - y log x (ii) If x ...
appliedmaths.in
Q7. If y = xxx....∞ prove that dy / dx = y2 / x(1- y log x)
appliedmaths.in
differentiation of x log ( x cos x) by logarithmic differentiation ...
brainly.in
Q3. (i) If y = xy, prove that x dy / dx = y2 / 1 - y log x (ii) If x ...
appliedmaths.in
Differentiation of log[log {log (logx)}]....give step by step solution ...
brainly.in
Q5. (i) Differentiate x2 / 1 - x2 w.r.t. x2 (ii) Differentiate xx w.r.t ...
appliedmaths.in
Logarithmic Differentiation - Worked Examples | Differential Calculus
mech.poriyaan.in
Q6. Find dy / dx when : (i) xyyx = ab (ii) xy + yx = log a (iii) xy ...
appliedmaths.in
Q3. (i) If y =log (x + √x2 +1), prove that (x2 + 1) d2y / dx2 + x dy ...
appliedmaths.in
Q6. Find dy / dx when : (i) xyyx = ab (ii) xy + yx = log a (iii) xy ...
appliedmaths.in
Q3. (i) If y =log (x + √x2 +1), prove that (x2 + 1) d2y / dx2 + x dy ...
appliedmaths.in
Q1. the second order derivatives of the following functions : (i) x2+3x ...
appliedmaths.in
Find the derivative of e^2x.log(3x+4) - Brainly.in
brainly.in
Differentiation Formulas, Definition, Chart, PDF, Solved Examples
adda247.com
Differentiation of log[log {log (logx)}]....give step by step solution ...
brainly.in
Differentiation Formula, Definition, Concept and Examples
careerpower.in
Q4. 3x - 2y = log(3x + 2y)
appliedmaths.in
2log2²+log2+2log2 simplify step by step plzzzz' - Brainly.in
brainly.in
Differentiation of Tan Inverse x - Explanation, Formula, Examples
adda247.com
Evaluate the limit: limx→0 e^x − e^−x − 2log (1+x)/xsinx. a) 0 b) -1 c ...
brainly.in
hiii friends... please give the differentiation for log(x+rt.x^2+a^2 ...
brainly.in
differentiation formula - Brainly.in
brainly.in
Derivative Formula, Rules, Examples And Derivatives List
pw.live
Differentiation Formulas, Definition, Chart, PDF, Solved Examples
adda247.com
If log a =1/2log b =1/5 log c the value of a^4b^3c^-2 is? - EduRev CA ...
edurev.in
a) If x = log3/5, y = log5/4and z = 2log√3/2 , prove that 5^x+y-z= 1 ...
brainly.in
Logarithm Formula- Explanation, Types, Properties, Examples
adda247.com
Differentiation Formula, Definition, Concept and Examples
careerpower.in
Q1. the second order derivatives of the following functions : (i) x2+3x ...
appliedmaths.in
find derivative of x to the power y - Brainly.in
brainly.in
Integrate e 2logx x power 3 dx Integrate 5 2log5x Integrate 2log4x dx
appliedmaths.in
differentiation of x log ( x cos x) by logarithmic differentiation ...
brainly.in
The solution of dydx = x log x^2 + xsiny + ycosy is? a.ysin y = x^2log ...
brainly.in
Solved: Figure 1 Figure 1 shows a linear relationship between log₁₀y ...
gauthmath.com
பயிற்சி 10.2: வகையிடல் விதிகள் (Differentiation Rules) - புத்தக ...
brainkart.in
Derivative Problems Based on General Rules of Differentiation
mech.poriyaan.in
Find the second order derivatives of x^2 log x - Brainly.in
brainly.in
பயிற்சி 10.2: வகையிடல் விதிகள் (Differentiation Rules) - புத்தக ...
brainkart.in
Q6. Find dy / dx when : (i) xyyx = ab (ii) xy + yx = log a (iii) xy ...
appliedmaths.in
Important Logarithms Formulas for JEE and NEET
edurev.in
Y=tan^-1(a/x) + log √x-a/√x+a prove that dy/dx = 2a^3/x^4-a^4 - Brainly.in
brainly.in
(vii) (a) 2log(x2+1)+c (b) 1/2log(x2 +1)+c (c) ex2 + 1 + C (d) log x ...
iqclasses.in
Implicit Differentiation - Worked Examples | Differential Calculus
mech.poriyaan.in
Derivative Problems Based on General Rules of Differentiation
mech.poriyaan.in
integration x^2log(1-x^2)dx - Brainly.in
brainly.in
Implicit Differentiation - Worked Examples | Differential Calculus
mech.poriyaan.in
Derivative Problems Based on General Rules of Differentiation
mech.poriyaan.in
Differentation 1 - Differentiation and integration (notes with sums ...
studocu.com
வகையிடல் விதிகள் (Differentiation Rules) | Differentiation Rules | in Tamil
brainkart.in
Derivative Formula, Rules, Examples And Derivatives List
pw.live
Mind Maps for Methods of Differentiation Revision - Class 12, JEE (Main ...
esaral.com
வகையிடல் விதிகள் (Differentiation Rules) | Differentiation Rules | in Tamil
brainkart.in
Implicit Differentiation - Worked Examples | Differential Calculus
mech.poriyaan.in
Derivative Problems Based on General Rules of Differentiation
mech.poriyaan.in
Differentiation notes 2(ignore images in the end) - 1 y sin 4 5 17s y ...
studocu.com
AP Calculus AB / Differentiation: Definition and Basic Derivative Rules ...
aptutor.in
integration of (x+tanx)/(x^2-2log cosx) - Brainly.in
brainly.in
If 2log 3+3 log 2-log x=0 then find the value of 'x'. - Brainly.in
brainly.in
பயிற்சி 10.5: சரியான விடையினை தேர்ந்தெடுக்கவும் - வகை நுண்கணிதம் வகைமை ...
brainkart.in
differentiation of[tex]e { ^{ax} }^{^{2} } \sin(x log(x) ) [/tex ...
brainly.in
If x+y=10xy, prove that 2log(x+y) =logx+2logy2+log3 - Brainly.in
brainly.in
If X2+y2=10xy,then prove that 2log(x+y)=log× +log Y +2 log 2 +log 3 ...
brainly.in
வகையிடல் விதிகள் (Differentiation Rules) | Differentiation Rules | in Tamil
brainkart.in
Implicit Differentiation - Worked Examples | Differential Calculus
mech.poriyaan.in
வகையிடல் விதிகள் (Differentiation Rules) | Differentiation Rules | in Tamil
brainkart.in
பயிற்சி 10.2: வகையிடல் விதிகள் (Differentiation Rules) - புத்தக ...
brainkart.in
If x² + y² = 119xy. then show that 2log(x+y)=2log + logx +logy ...
brainly.in
வகையிடல் விதிகள் (Differentiation Rules) | Differentiation Rules | in Tamil
brainkart.in
4x^2+9y^2=16xy then show that 2log(2x- 3y) = 2log2+log x+ logyplease ...
brainly.in
95. value of log (x)dx is () log 27 (b) 2log 2n (c)log 27 (d)log 27
scoop.eduncle.com
பயிற்சி 10.2: வகையிடல் விதிகள் (Differentiation Rules) - புத்தக ...
brainkart.in
பயிற்சி 10.2: வகையிடல் விதிகள் (Differentiation Rules) - புத்தக ...
brainkart.in
if x^2+y^2=10xy then prove that 2log(x-y)=logx+y+3log2 - Brainly.in
brainly.in
Derivative Problems Based on General Rules of Differentiation
mech.poriyaan.in
A-LEVEL MATHEMATICS (9709) – DIFFERENTIATION & INTEGRATION | Cambridge ...
igcsemaths.in
if xsquare +ysquare=22xy,then show that 2log(x+y)=logx+logy+3log2+log3 ...
brainly.in
if x²+y²=8xy then prove that 2log (x-y)=log²+log³+logx+logy - Brainly.in
brainly.in
2log(1+2+4+7+14)=log1+log4+log7+log14 - Brainly.in
brainly.in
Mind Maps for Methods of Differentiation Revision - Class 12, JEE (Main ...
esaral.com
find dy/dx by using logarithmic differentiation - Brainly.in
brainly.in
4sin^2x × log(5sinx + 6) differentiation of this - Brainly.in
brainly.in
if x²+y²=7xy then prove 2log(x+y) =log x+log y+2log3 - Brainly.in
brainly.in
Cell Specialisation and Differentiation - Biology for Grade 10 PDF Download
edurev.in
x^2+y^2=10xy show that 2log(x+y)=logx+logy+2log2+log3 - Brainly.in
brainly.in
Prove that log 81/8-2log 3/2+3log 2/3+log 3/4=0 - Brainly.in
brainly.in
Mealworm Ethanol Extract Enhances Myogenic Differentiation and ...
mdpi.com
If x²+y²=27xy then show that 2log(x-y/5)=logx+logy? - Brainly.in
brainly.in
பயிற்சி 10.5: சரியான விடையினை தேர்ந்தெடுக்கவும் - வகை நுண்கணிதம் வகைமை ...
brainkart.in
AP Calculus AB / Differentiation: Definition and Basic Derivative Rules ...
aptutor.in
Mastering Differentiation Formulas: Essential Guide for Success in Calculus
knowledgeumacademy.in
Q5. ex - y = log ( x / y )
appliedmaths.in
solve this question - Brainly.in
brainly.in
Beyond automatic differentiation
sechub.in
Logarithmic Differentiation Summary - Fill and Sign Printable Template ...
uslegalforms.com
Solved: Question Sketch a graph of y=2log _2(x-1)+3 on the graph ...
gauthmath.com
Log4(x2+x)-log4(x+1) = 2. Find xa)16b)0c)-1d)noneCorrect answer is ...
edurev.in
Calculus I Differentiation Formula Sheet by Rabia Cakmak | TPT
teacherspayteachers.com
if x square + ysquare = 51xy then prove that 2log (x-y) = 2log 7 + log ...
brainly.in
அடிப்படைச் சார்புகளின் வகைக்கெழு (Derivatives of basic elementary ...
brainkart.in
பயிற்சி 10.2: வகையிடல் விதிகள் (Differentiation Rules) - புத்தக ...
brainkart.in
Prove that : log 3√56÷9 = 1/3( log 7 - 2log 3) + log 2 - Brainly.in
brainly.in
Find the value ofd3y/dx3 if y = log (ax + b) - Brainly.in
brainly.in
If 4a2 + 9b2 = 37 ab , what is the value of 2log(2a - 3b) ? - Brainly.in
brainly.in
If x square+y square=6xy prove that 2log(x+y)=logx+log y+3log 2 ...
brainly.in
2log x / log(5x-4)= 1 - Brainly.in
brainly.in
Class 12 CBSE Applied Maths Differentiation Exercise 5.2
appliedmaths.in
Osteoblast Differentiation and Signaling: Established Concepts and ...
mdpi.com
Related Searches
INR Normal Range
INR Testing
Inr Machine
INR Ratio
INR Values
INR Lab
INR Test Meter
INR Meaning
INR Chart
INR Currency
INR Calculation
INR Management
INR Blood Test
Warfarin
Therapeutic INR
Normal INR Value
PT/INR Values
Printable INR Chart
INR Scale
INR and PTT
Normal INR Levels Chart
Home INR Monitoring
INR Calculation Formula
INR aPTT
INR Norms
What Is INR Blood Test
Home INR Monitor
INR Equation
INR Meaning Medical
Money INR
INR Diagram
INR Logo
INR Readings
1 INR
INR PNG
INR Targets
INR Symbol
INR Medical Term
INR Dose
Causes of High INR
INR Rupee
Isi INR
Warfarin Nomogram
INR Notes
Supratherapeutic INR
Normal PT Time
INR Definition
International Normalized Ratio INR
INR Foods
INR Word
Search
×
Search
Loading...
No suggestions found