Find Your Style
Women
Men
Accessories
Search for clothing, brands, styles...
×
Women
Men
Accessories
Differentiation Logo
Search
Loading...
No suggestions found
Entry #783 by kawsarahmed21 for INR 20,000 Logo Design Contest for ...
freelancer.in
Entry #913 by Shafiqatari for INR 20,000 Logo Design Contest for ...
freelancer.in
1GBP to INR today |Convert British Pounds to Indian Rupees
orientexchange.in
Entry #685 by alauddinh957 for INR 20,000 Logo Design Contest for ...
freelancer.in
Bismuth subnitrate usp Products at price INR 1599 in Sao Paulo ...
indexim.in
Entry #698 by LeonardoGhagra for INR 20,000 Logo Design Contest for ...
freelancer.in
India's 2025 Initiative: Streamlining Global Trade with INR Settlements ...
cagpt.in
Q3. (i) If y = xy, prove that x dy / dx = y2 / 1 - y log x (ii) If x ...
appliedmaths.in
Q5. (i) Differentiate x2 / 1 - x2 w.r.t. x2 (ii) Differentiate xx w.r.t ...
appliedmaths.in
Q5. If x = log t and y = 1/t prove that d2y / dx2 + dy / dx = 0
appliedmaths.in
Q1. the second order derivatives of the following functions : (i) x2+3x ...
appliedmaths.in
Differentiation Formulas, Definition, Chart, PDF, Solved Examples
adda247.com
Q3. (i) If y = xy, prove that x dy / dx = y2 / 1 - y log x (ii) If x ...
appliedmaths.in
Differentiation Formula, Definition, Concept and Examples
careerpower.in
Differentiation Formula, Definition, Concept and Examples
careerpower.in
differentiation of x log ( x cos x) by logarithmic differentiation ...
brainly.in
Q5. (i) Differentiate x2 / 1 - x2 w.r.t. x2 (ii) Differentiate xx w.r.t ...
appliedmaths.in
Q4. 3x - 2y = log(3x + 2y)
appliedmaths.in
மடக்கை வகையிடல் (Logarithmic Differentiation) - எடுத்துக்காட்டு ...
brainkart.in
Q6. Find dy / dx when : (i) xyyx = ab (ii) xy + yx = log a (iii) xy ...
appliedmaths.in
Q5. Differentiate xlog x + (log x)x w.r.t. x.
appliedmaths.in
Q2. (i) (2x + 3)x - 5, x > - 3 / 2 (ii) (log x)log x, x > 1
appliedmaths.in
Q3. (i) If y =log (x + √x2 +1), prove that (x2 + 1) d2y / dx2 + x dy ...
appliedmaths.in
Differentiation of Tan Inverse x - Explanation, Formula, Examples
adda247.com
Mastering Differentiation Formulas: Essential Guide for Success in Calculus
knowledgeumacademy.in
Q1. the second order derivatives of the following functions : (i) x2+3x ...
appliedmaths.in
Q1. the second order derivatives of the following functions : (i) x2+3x ...
appliedmaths.in
Q3. (i) If y = xy, prove that x dy / dx = y2 / 1 - y log x (ii) If x ...
appliedmaths.in
Q3. (i) If y =log (x + √x2 +1), prove that (x2 + 1) d2y / dx2 + x dy ...
appliedmaths.in
Logarithmic Differentiation - Worked Examples | Differential Calculus
mech.poriyaan.in
Mind Maps for Methods of Differentiation Revision - Class 12, JEE (Main ...
esaral.com
Q5. ex - y = log ( x / y )
appliedmaths.in
Q3. (i) If y =log (x + √x2 +1), prove that (x2 + 1) d2y / dx2 + x dy ...
appliedmaths.in
Value chain analysis: Definition, examples, types, and more
zendesk.com
மடக்கை வகையிடல் (Logarithmic Differentiation) - எடுத்துக்காட்டு ...
brainkart.in
find derivative of x to the power y - Brainly.in
brainly.in
Differentiation of log[log {log (logx)}]....give step by step solution ...
brainly.in
Derivative Problems Based on General Rules of Differentiation
mech.poriyaan.in
Implicit Differentiation - Worked Examples | Differential Calculus
mech.poriyaan.in
மடக்கை வகையிடல் (Logarithmic Differentiation) - எடுத்துக்காட்டு ...
brainkart.in
differentiate:- log (x+1/x) - Brainly.in
brainly.in
Derivative Problems Based on General Rules of Differentiation
mech.poriyaan.in
differentiation formula - Brainly.in
brainly.in
Implicit Differentiation - Worked Examples | Differential Calculus
mech.poriyaan.in
Differentiation of log[log {log (logx)}]....give step by step solution ...
brainly.in
differentiation of x log ( x cos x) by logarithmic differentiation ...
brainly.in
Using Repetition to Draw Shapes in Logo Differentiated Worksheet ...
twinkl.co.in
Implicit Differentiation - Worked Examples | Differential Calculus
mech.poriyaan.in
4sin^2x × log(5sinx + 6) differentiation of this - Brainly.in
brainly.in
Q1. the second order derivatives of the following functions : (i) x2+3x ...
appliedmaths.in
Derivative Formula, Rules, Examples And Derivatives List
pw.live
Implicit Differentiation - Worked Examples | Differential Calculus
mech.poriyaan.in
Derivative Problems Based on General Rules of Differentiation
mech.poriyaan.in
Cell Specialisation and Differentiation - Biology for Grade 10 PDF Download
edurev.in
hiii friends... please give the differentiation for log(x+rt.x^2+a^2 ...
brainly.in
Q6. Find dy / dx when : (i) xyyx = ab (ii) xy + yx = log a (iii) xy ...
appliedmaths.in
Differentiation in Maths: Utilising Groups and Rotations
twinkl.co.in
Derivative Problems Based on General Rules of Differentiation
mech.poriyaan.in
Differentiation, Dedifferentiation & Redifferentiation Definition ...
aakash.ac.in
Q6. Find dy / dx when : (i) xyyx = ab (ii) xy + yx = log a (iii) xy ...
appliedmaths.in
Class 12 CBSE Applied Maths Differentiation Exercise 5.4
appliedmaths.in
Infinity Natural Resources (INR) - Total assets
companiesmarketcap.com
Derivative Problems Based on General Rules of Differentiation
mech.poriyaan.in
Using Variables to Draw Spiderwebs in Logo Differentiated Worksheet
twinkl.co.in
AP Calculus AB / Differentiation: Definition and Basic Derivative Rules ...
aptutor.in
Q7. If y = xxx....∞ prove that dy / dx = y2 / x(1- y log x)
appliedmaths.in
AP Calculus AB / Differentiation: Definition and Basic Derivative Rules ...
aptutor.in
Q2. (i) (2x + 3)x - 5, x > - 3 / 2 (ii) (log x)log x, x > 1
appliedmaths.in
Implicit Differentiation - Worked Examples | Differential Calculus
mech.poriyaan.in
AP Calculus AB / Differentiation: Definition and Basic Derivative Rules ...
aptutor.in
Use Logo Procedures to Decompose a Sequence Problem Differentiated ...
twinkl.co.in
Differentiation, Dedifferentiation & Redifferentiation Definition ...
aakash.ac.in
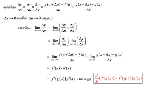
பயிற்சி 10.2: வகையிடல் விதிகள் (Differentiation Rules) - புத்தக ...
brainkart.in
The Power of Differentiation eBook by Barry LaBov | Official Publisher ...
simonandschuster.co.in
பயிற்சி 10.5: சரியான விடையினை தேர்ந்தெடுக்கவும் - வகை நுண்கணிதம் வகைமை ...
brainkart.in
Mealworm Ethanol Extract Enhances Myogenic Differentiation and ...
mdpi.com
Y=tan^-1(a/x) + log √x-a/√x+a prove that dy/dx = 2a^3/x^4-a^4 - Brainly.in
brainly.in
வகையிடல் விதிகள் (Differentiation Rules) | Differentiation Rules | in Tamil
brainkart.in
பயிற்சி 10.2: வகையிடல் விதிகள் (Differentiation Rules) - புத்தக ...
brainkart.in
வகையிடல் விதிகள் (Differentiation Rules) | Differentiation Rules | in Tamil
brainkart.in
👉 Discovering Differentiation: Introducing Differentiation
twinkl.co.in
பயிற்சி 10.2: வகையிடல் விதிகள் (Differentiation Rules) - புத்தக ...
brainkart.in
All Integration Formulas- PDF, List, Sheet for Class 12
adda247.com
வகையிடல் விதிகள் (Differentiation Rules) | Differentiation Rules | in Tamil
brainkart.in
Differentiation in the Maths Classroom (2 day course), Carine Senior ...
allevents.in
How Differentiation Drives Growth and Success for B2B Brands
augmentis.in
பயிற்சி 10.2: வகையிடல் விதிகள் (Differentiation Rules) - புத்தக ...
brainkart.in
பயிற்சி 10.2: வகையிடல் விதிகள் (Differentiation Rules) - புத்தக ...
brainkart.in
differentiation of[tex]e { ^{ax} }^{^{2} } \sin(x log(x) ) [/tex ...
brainly.in
Differentiation, Dedifferentiation & Redifferentiation Definition ...
aakash.ac.in
AP Calculus AB / Differentiation: Definition and Basic Derivative Rules ...
aptutor.in
AP Calculus AB / Differentiation: Definition and Basic Derivative Rules ...
aptutor.in
Extracellular Matrix Scaffolds for Differentiation, Compositions and ...
rnd.iitb.ac.in
வகையிடல் விதிகள் (Differentiation Rules) | Differentiation Rules | in Tamil
brainkart.in
Derivative Problems Based on General Rules of Differentiation
mech.poriyaan.in
பயிற்சி 10.2: வகையிடல் விதிகள் (Differentiation Rules) - புத்தக ...
brainkart.in
வகையிடல் விதிகள் (Differentiation Rules) | Differentiation Rules | in Tamil
brainkart.in
Packaging Differentiation: Let Your Brand Soar
picknpack.in
பயிற்சி 10.2: வகையிடல் விதிகள் (Differentiation Rules) - புத்தக ...
brainkart.in
AP Calculus AB / Differentiation: Definition and Basic Derivative Rules ...
aptutor.in
பயிற்சி 10.2: வகையிடல் விதிகள் (Differentiation Rules) - புத்தக ...
brainkart.in
Use Logo Procedures to Decompose a Sequence Problem Differentiated ...
twinkl.co.in
In Vitro Expansion of CD34+/CD38- Human Hematopoietic Progenitor Cells ...
merckmillipore.com
tata motors suvs: And the compact SUV crown goes to: Renault, Tata, or ...
economictimes.indiatimes.com
பயிற்சி 10.2: வகையிடல் விதிகள் (Differentiation Rules) - புத்தக ...
brainkart.in
AI and Differentiation, Gary A. Ransdell Hall, Bowling Green, 18 July ...
allevents.in
Osteoblast Differentiation and Signaling: Established Concepts and ...
mdpi.com
பயிற்சி 10.2: வகையிடல் விதிகள் (Differentiation Rules) - புத்தக ...
brainkart.in
Unit 2 - Differentiation Definition and Fundamental Properties (part B)
aptutor.in
Superman (2025): The James Gunn Film Records Highest-Ever Opening ...
in.ign.com
Study on the Spatial and Temporal Differentiation Pattern of Carbon ...
mdpi.com
Problem Solving with Differentiation - Mathematics for GCSE/IGCSE ...
edurev.in
Rupee Recovery 2025: What Triggered the Sharp Bounce Back in INR?
finnovate.in
பயிற்சி 10.5: சரியான விடையினை தேர்ந்தெடுக்கவும் - வகை நுண்கணிதம் வகைமை ...
brainkart.in
பயிற்சி 10.2: வகையிடல் விதிகள் (Differentiation Rules) - புத்தக ...
brainkart.in
Multiple Intelligences and Differentiation in Classrooms - Best ICSE ...
jaipuriakanpur.edu.in
Do you have true inclusion in your team or is it assimilation? - Navgati
navgati.in
Calculus I Differentiation Formula Sheet by Rabia Cakmak | TPT
teacherspayteachers.com
Differentiation and Integration - XKCD中文站
xkcd.in
Škoda India sharpens India strategy with localisation, deeper presence ...
marketingmoves.in
Related Searches
INR Logo.png
Rupee Symbol 3D
INR Sign
INR Logo in Word
INR Logo in Text
INR Logo in Gold
INR Logo HD
Indian Rupee Logo
INR Icon
Sales Logo in INR
New Indian Rupee Symbol
INR Logo in Blue Color
Indian Rupee Font
INR Clip Art
INR Sverige Logo
Money INR PNG
Rupees Logo
Similar to INR Logo Design
API INR Logo
Depsoit INR Logo
Logo INR Lgii
Logo INR School Ireland
INR Logo Text 16 Font
Indian Currency Logo
Logo of HDFC Bank
INR Payment Logo
INR Hight Logo Karnal
Multiple INR Logo
INR Trading Logo Example
INR Logo Mex
INR Make Profit Logo
RS Symbol
IMR Industries Logo.svg
INR Group Logo Round
Thai Parts Logo
Money Bag Symbol
INR 3000 Logo
INR Cartoon
South Upi Logo
Incomel Logo
Rupees Logo Vector
IMR Powder Logo Vector
Narivetta
Logo Institut Pasteur PNG
Seib Logo
INR Scene 80
RK Gaming Logo
Rupee Symbol White
INR Colour
20 Rs Price Logo
Search
×
Search
Loading...
No suggestions found