Find Your Style
Women
Men
Accessories
Search for clothing, brands, styles...
×
Women
Men
Accessories
Differentiation Using Quotient Rule
Search
Loading...
No suggestions found
Quotient Rule Formula, Definition, Rules Solved Example
pw.live
Quotient Rule Formula, Definition, Rules Solved Example
pw.live
Find the derivative of tanx and cotx using quotient rule.?? - Brainly.in
brainly.in
How to differentiating using quotient rule? - Brainly.in
brainly.in
Find the derivative of tanx and cotx using quotient rule.?? - Brainly.in
brainly.in
Find the derivative of tanx and cotx using quotient rule.?? - Brainly.in
brainly.in
Find the derivative of tanx and cotx using quotient rule.?? - Brainly.in
brainly.in
Differentiation Formula, Definition, Concept and Examples
careerpower.in
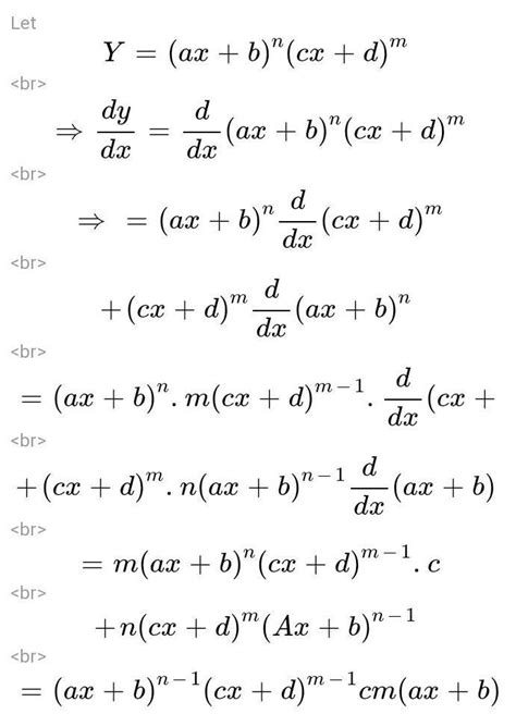
Selesai:By using product rule or quotient rule, differentiate each of ...
my.gauthmath.com
(a) Let $f, g: {R} {R}$ be | StudyX
studyx.ai
write three example of quotient rule - Brainly.in
brainly.in
using the rule for differentiation for quotient of two functions prove ...
brainly.in
(e ^ x)/x {diff. using quotient rule} - Brainly.in
brainly.in
Derivative Formula, Rules, Examples And Derivatives List
pw.live
Find dy/dx : y = ( x+1) / ( x-2) - Brainly.in
brainly.in
Differentiation Formulas, Definition, Chart, PDF, Solved Examples
adda247.com
Derivative Formula, Rules, Examples And Derivatives List
pw.live
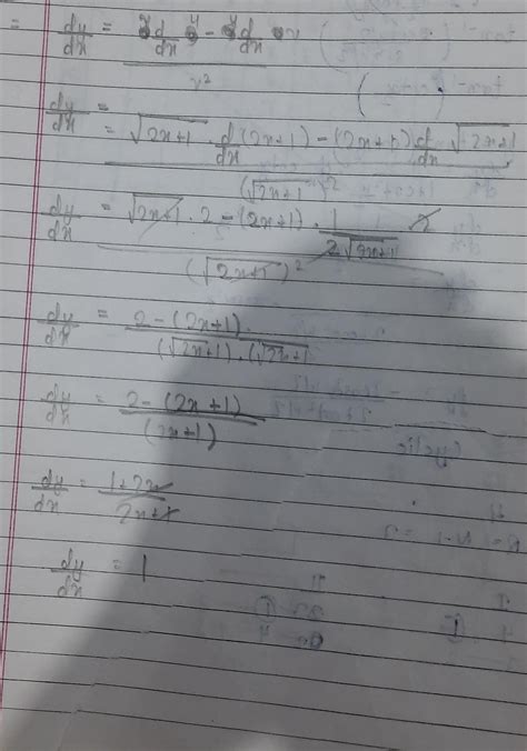
y = (2x +1 )(√2x+1) find dy/dx - Brainly.in
brainly.in
Function derivative
niser.ac.in
Product and Quotient Rule - Calculus - Mathematics PDF Download
edurev.in
அடிப்படைச் சார்புகளின் வகைக்கெழு (Derivatives of basic elementary ...
brainkart.in
Find the derivative of the following functions (it is to be understood ...
brainly.in
50+ derivatives worksheets for 10th Class on Quizizz | Free & Printable
quizizz.com
If s=t/2t+1 then find ds/dt - Brainly.in
brainly.in
Product and Quotient Rule - Calculus - Mathematics PDF Download
edurev.in
Differentiate: d/dx(1/x^3) - Brainly.in
brainly.in
அடிப்படைச் சார்புகளின் வகைக்கெழு (Derivatives of basic elementary ...
brainkart.in
Derivatives of Exponential and Logarithm Functions Video Lecture ...
edurev.in
Product and Quotient Rule, Class 11 Mathematics NCERT Solutions
evidyarthi.in
வகையிடல் விதிகள் (Differentiation Rules) | Differentiation Rules | in Tamil
brainkart.in
derivative of cos square x - Brainly.in
brainly.in
Find derivative of sinx /x from first principal; - Brainly.in
brainly.in
Differential Equations Needed for ML // all posts // HN
haridas.in
[tex]զʊɛֆȶɨօռ[/tex]→PROCEED THE SOLUTION OF ATTACHED IMAGE!→MOREOVER ...
brainly.in
Quotient rule from product rule - Mathematics Video Lecture ...
edurev.in
All Integration Formulas PDF and Sheet for Class 12 Students
adda247.com
Exponent Rules - Notes | Study Mathematics for SAT - SAT
edurev.in
Calculus I Differentiation Formula Sheet by Rabia Cakmak | TPT
teacherspayteachers.com
👉 Quotient Rule Prior Knowledge Multiple-Choice Questions
twinkl.co.in
👉 Differentiation Using the Product Rule Prior Knowledge
twinkl.co.in
வகையிடல் விதிகள் (Differentiation Rules) | Differentiation Rules | in Tamil
brainkart.in
Obtain derivatives of the followingfunctions:(i) x sin x(ii) x4+cos x ...
brainly.in
Find the Derivative of Cos X from First Principle. - Mathematics ...
shaalaa.com
Differentiation of Tan Inverse x - Explanation, Formula, Examples
adda247.com
அடிப்படைச் சார்புகளின் வகைக்கெழு (Derivatives of basic elementary ...
brainkart.in
NCERT Solutions Exercise 5.2: Continuity and Differentiability ...
edurev.in
50+ equilibrium constant and reaction quotient worksheets for 9th Class ...
quizizz.com
View question - Derivative using rules.
web2.0calc.com
பயிற்சி 10.2: வகையிடல் விதிகள் (Differentiation Rules) - புத்தக ...
brainkart.in
பயிற்சி 10.2: வகையிடல் விதிகள் (Differentiation Rules) - புத்தக ...
brainkart.in
Derivation of equations and List of 3 equations of motion - Physics ...
aakash.ac.in
அடிப்படைச் சார்புகளின் வகைக்கெழு (Derivatives of basic elementary ...
brainkart.in
பயிற்சி 10.2: வகையிடல் விதிகள் (Differentiation Rules) - புத்தக ...
brainkart.in
The differential equation of the family of hyperbolas having foci on X ...
tardigrade.in
50+ product rule worksheets for 12th Class on Quizizz | Free & Printable
quizizz.com
அடிப்படைச் சார்புகளின் வகைக்கெழு (Derivatives of basic elementary ...
brainkart.in
பயிற்சி 10.2: வகையிடல் விதிகள் (Differentiation Rules) - புத்தக ...
brainkart.in
அடிப்படைச் சார்புகளின் வகைக்கெழு (Derivatives of basic elementary ...
brainkart.in
பயிற்சி 10.3: சார்பின் சார்பினது வகைக்கெழு (இணைப்பு விதி ...
brainkart.in
பயிற்சி 10.2: வகையிடல் விதிகள் (Differentiation Rules) - புத்தக ...
brainkart.in
Mind Maps for Methods of Differentiation Revision - Class 12, JEE (Main ...
esaral.com
அடிப்படைச் சார்புகளின் வகைக்கெழு (Derivatives of basic elementary ...
brainkart.in
all formulas of differentiation - Brainly.in
brainly.in
பயிற்சி 10.2: வகையிடல் விதிகள் (Differentiation Rules) - புத்தக ...
brainkart.in
அடிப்படைச் சார்புகளின் வகைக்கெழு (Derivatives of basic elementary ...
brainkart.in
Use synthetic division to find the quotient Q(x) and remainder (R ...
brainly.in
பயிற்சி 10.2: வகையிடல் விதிகள் (Differentiation Rules) - புத்தக ...
brainkart.in
what is derivative of above image - Brainly.in
brainly.in
பயிற்சி 10.2: வகையிடல் விதிகள் (Differentiation Rules) - புத்தக ...
brainkart.in
50+ chain rule worksheets on Quizizz | Free & Printable
wayground.com
பயிற்சி 10.2: வகையிடல் விதிகள் (Differentiation Rules) - புத்தக ...
brainkart.in
Find the quotient and remainder when 2x³ - 3x² + 4x - 8 is divided by ...
brainly.in
பயிற்சி 10.2: வகையிடல் விதிகள் (Differentiation Rules) - புத்தக ...
brainkart.in
The differentiation of function f(x)=(3x 2)^3/2 w.r.t.x is? | EduRev ...
edurev.in
find the derivative of the function cot x from the first principle ...
brainly.in
பயிற்சி 10.2: வகையிடல் விதிகள் (Differentiation Rules) - புத்தக ...
brainkart.in
Apply division algorithm to find the quotient q(x) and remainder r(x ...
brainly.in
👉 Differentiation Using the Chain Rule Prior Knowledge
twinkl.co.in
Solved: Activity 7: Dividing Polynomials Find the quotient and the ...
gauthmath.com
பயிற்சி 10.2: வகையிடல் விதிகள் (Differentiation Rules) - புத்தக ...
brainkart.in
The differentiation of function f(x)=(3x+2)^3/2 w.r.t x is - Brainly.in
brainly.in
பயிற்சி 10.3: சார்பின் சார்பினது வகைக்கெழு (இணைப்பு விதி ...
brainkart.in
Substitution Rule for Definite Integrals Video Lecture - Calculus ...
edurev.in
பயிற்சி 10.3: சார்பின் சார்பினது வகைக்கெழு (இணைப்பு விதி ...
brainkart.in
java program to find the sum, difference, product and quotient of two ...
brainly.in
பயிற்சி 10.2: வகையிடல் விதிகள் (Differentiation Rules) - புத்தக ...
brainkart.in
பயிற்சி 10.2: வகையிடல் விதிகள் (Differentiation Rules) - புத்தக ...
brainkart.in
பயிற்சி 10.2: வகையிடல் விதிகள் (Differentiation Rules) - புத்தக ...
brainkart.in
பயிற்சி 10.3: சார்பின் சார்பினது வகைக்கெழு (இணைப்பு விதி ...
brainkart.in
Differentiate using first principle: y = sin 2x - Brainly.in
brainly.in
Solved: Activity 7: Dividing Polynomials Find the quotient and the ...
gauthmath.com
பயிற்சி 10.2: வகையிடல் விதிகள் (Differentiation Rules) - புத்தக ...
brainkart.in
Use of vitamin B1 derivative novel treatment approach to Alzheimer's ...
medicaldialogues.in
Pls solve the questions in a copy - Brainly.in
brainly.in
50+ chain rule worksheets for 10th Class on Quizizz | Free & Printable
wayground.com
Simplify by using quotient law. i) - Brainly.in
brainly.in
using division algorithm, find the quotient and remainder on dividing f ...
brainly.in
Collect some quotient numbers and verify the properties of quotient ...
brainly.in
பயிற்சி 10.2: வகையிடல் விதிகள் (Differentiation Rules) - புத்தக ...
brainkart.in
பயிற்சி 10.3: சார்பின் சார்பினது வகைக்கெழு (இணைப்பு விதி ...
brainkart.in
Use the given graph to estimate the value of each derivative - Home ...
ask.learncbse.in
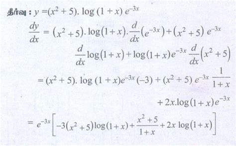
find dy/dx by using logarithmic differentiation - Brainly.in
brainly.in
Using division algorithm find the quotient and remainder on dividing x ...
brainly.in
Powers of Products & Quotients – Practice Worksheet
twinkl.co.in
பயிற்சி 10.3: சார்பின் சார்பினது வகைக்கெழு (இணைப்பு விதி ...
brainkart.in
பயிற்சி 10.2: வகையிடல் விதிகள் (Differentiation Rules) - புத்தக ...
brainkart.in
find the quotient and remainder: p(x)= x^3-2x^2-4x-1 ; g(x)=x+1 ...
brainly.in
Solved: Activity 7: Dividing Polynomials Find the quotient and the ...
gauthmath.com
Draw a flowchart to find the quotient and remainder of a input number ...
brainly.in
பயிற்சி 10.3: சார்பின் சார்பினது வகைக்கெழு (இணைப்பு விதி ...
brainkart.in
Divide using Synthetic Division method and find the quotient and ...
brainly.in
Buy Calculus and Analytic Geometry Book Online at Low Prices in India ...
amazon.in
write product rule and quotient rule of differentiation - Brainly.in
brainly.in
Divide the polynomial x³ + 1 by x + 1 using long division and find ...
brainly.in
50+ chain rule worksheets for 9th Class on Quizizz | Free & Printable
wayground.com
பயிற்சி 10.2: வகையிடல் விதிகள் (Differentiation Rules) - புத்தக ...
brainkart.in
பயிற்சி 10.3: சார்பின் சார்பினது வகைக்கெழு (இணைப்பு விதி ...
brainkart.in
Value chain analysis: Definition, examples, types, and more
zendesk.com
Differentiation, Dedifferentiation & Redifferentiation Definition ...
aakash.ac.in
பயிற்சி 10.3: சார்பின் சார்பினது வகைக்கெழு (இணைப்பு விதி ...
brainkart.in
Related Searches
Quotient Rule in Differentiation
Quotient Rule Differenciation
Differentiate Using the Quotient Rule
Derivative Using Quotient Rule
Quotient Rule Differentiating
Quotient Rule Practice Problems
Quotient Rule for Differentiation
Quotient Rule Derivation
Quotient Rule Differentiation Formula
Quotient Rule Diff
What Is the Derivative Quotient Rule
Finding Derivative Using Quotient Rule
Differentiation Quotient Rule Worksheet
Quotient Rule Differentitation
Quotient Rule Proof
Differential Quotient Rule
Quotient Rule Using U and V
Anti Differentiation From Quotient Rule
Difference Quotient Rule
Differentiation Division Rule
Differentiation Fraction Rule
Partial Differentiation Quotient Rule
When to Use Quotient Rule
When Do You Use Quotient Rule
Quotient Rule Calculus
Quotient Rule Different Ion
Quotient Rule in Terms of U and V
Qoutient Rule Differentiation
Quotient Rule Rhyme
Quotient Rule Differentiation Examples
Quotient Rule Integration
Constant Rule Differentiation
Quotient Rule Differentiation Questions
Types of Quotient
Quotient Rule for Second Derivative
Formular for Differentiation Using Quotient Rule
Product Rule UV
Quotient Rule Differentiaiton
Differentiation Quotient Rule Exercise
Derevatives Rules
Prove the Quotient Rule
Chain Rule Practice Worksheet
Example Differentiate Using Quotient Rule
Differentiation Quotient Rule Priority Order
All Differentiation Rules
Differentialquotient
Quotient Rule of Differrntiation
Quotient Rule Opposite
How to Prove Quotient Rule
Quotient Rule Book PDF
Search
×
Search
Loading...
No suggestions found