Find Your Style
Women
Men
Accessories
Search for clothing, brands, styles...
×
Women
Men
Accessories
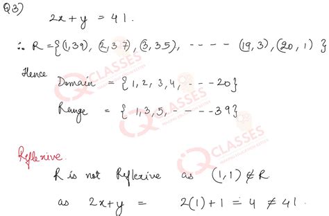
Digraph Of Relation R
Search
Loading...
No suggestions found
Class 12 ISC Maths Important Notes Chapter Relations and Functions
iqclasses.in
Check whether the relation R defined in the set {1, 2, 3, 4, 5, 6} as R ...
ask.learncbse.in
Class 12 ISC Maths Important Notes Chapter Relations and Functions
iqclasses.in
Reflexive, Symmetric, Transitive, Equivalence & Number of Relations | AESL
aakash.ac.in
R = {(a, b): a ≤ b²2), is neither reflexive nor symmetric nor ...
brainly.in
Check whether the relation R in R defined as R = {(a, b): a ≤ b3} is ...
ask.learncbse.in
Unit 2 Relation N Function - called Range of relation R 3) The entire ...
studocu.com
Show that the relation R in R defined as R = {(a, b): a ≤ b}, is ...
ask.learncbse.in
Show that each of the relation R in the set A = { x ∈ Z : 0 ≤ X ≤ 12 ...
ask.learncbse.in
Class 12 Activities Term 1 - ACTIVITY 1 Short link : A. Objective : To ...
studocu.com
Show that each of the relation R in the set A = { x ∈ Z : 0 ≤ X ≤ 12 ...
ask.learncbse.in
EXERCISE 1.1Determine whether each of the following relations are ...
brainly.in
626849665 II Puc Maths Mcq Part a - 1. RELATIONS AND FUNCTIONS 1) A ...
studocu.com
If A={1,2,3,4}, B ={5,6). Define a relation R from A and B by R={(x,y ...
brainly.in
Show that each of the relation R in the set A = { x ∈ Z : 0 ≤ X ≤ 12 ...
ask.learncbse.in
Let A= {1, 2, 3, 4, 6}. If R is the relation on A defined by {(a, b): a ...
brainly.in
Class 12 ISC Maths Important Notes Chapter Relations and Functions
iqclasses.in
Relation and function (PYQ ) - 8 A relation R in a set A is called (i ...
studocu.com
Reflexive, Symmetric, Transitive, Equivalence & Number of Relations | AESL
aakash.ac.in
Show that the relation R in the set {1, 2, 3} given by R = {(1, 2), (2 ...
ask.learncbse.in
The figure shows a relation R between the sets P and Q. The relation R ...
tardigrade.in
Show that the relation r in the set of real numbers - Brainly.in
brainly.in
Class 12 ISC Maths Important Notes Chapter Relations and Functions
iqclasses.in
Math Activity - Activity – 1 : Types of Relations DATE: Objective To ...
studocu.com
Show that the relation R in the set A = {1, 2, 3, 4, 5} given by R ...
ask.learncbse.in
The figure given below shows a relation R between the sets A and B ...
tardigrade.in
This arrow-diagram shows a relation R from set A to set B. Based on the ...
brainly.in
Class 12 ISC Maths Important Notes Chapter Relations and Functions
iqclasses.in
Entity-Relationship (ER) Diagram Symbols and Notations | EdrawMax
edrawsoft.com
Class 12 ISC Maths Important Notes Chapter Relations and Functions
iqclasses.in
How to Interpret a Correlation Coefficient r - India Dictionary
1investing.in
Class 12 ISC Maths Important Notes Chapter Relations and Functions
iqclasses.in
Class 12 ISC Maths Important Notes Chapter Relations and Functions
iqclasses.in
Class 12 ISC Maths Important Notes Chapter Relations and Functions
iqclasses.in
Determine whether each of the following relations are reflexive ...
ask.learncbse.in
Relation and its application :1-let R be the relation on the set (0,1,2 ...
brainly.in
If A={2,3,4,5,6,7,8,9} let R be a relation on A defined by{(x,y): y ...
brainly.in
Relations and Functions - Definition, Types, and Examples
mygurukulacademy.in
Relation Between Heat capacity at Constant Volume (CV) & Constant ...
aakash.ac.in
Class 12 ISC Term1 Maths SPECIMEN 2022
iqclasses.in
let a = (1, 2, 3,...,16 define a relation r in set by r ={(x,y):x-y is ...
brainly.in
Prove that the relation R in the set A = {1,2,3,4,5,6,7,8,9,10,11,12 ...
brainly.in
Class 12 ISC Maths Important Notes Chapter Relations and Functions
iqclasses.in
Doc Scanner 13-Sep-2024 1-15 pm - 3 ACTIVITY 1 Objective To verify that ...
studocu.com
Unit-1 Difficult - 1. The transitive closure of the relation R 2), (2 ...
studocu.com
Find the domain of relation R from A to B if A={1,2,3,4,5} where R={(x ...
brainly.in
Domain and Range of a Relation: Definition, Graph with Solved Example
allen.in
Let L be the set of all lines in XY plane and R be the relation in L ...
ask.learncbse.in
Types of Relations - Algebra - Mathematics PDF Download
edurev.in
Relation R in the set A of human beings in a town at a particular time ...
brainly.in
Reflexive, Symmetric, Transitive, Equivalence & Number of Relations | AESL
aakash.ac.in
Class 12 ISC Maths Important Notes Chapter Relations and Functions
iqclasses.in
Vowel and Consonant Digraphs
englishhub.co.in
Class 12 ISC Term1 Maths SPECIMEN 2022
iqclasses.in
Class 12 ISC Maths Important Notes Chapter Relations and Functions
iqclasses.in
Show that the relation r on z defined by r={(a, b):|a-b|is even} is an ...
brainly.in
Relation - Digraph - Matrix representation Video Lecture - Crash Course ...
edurev.in
Class 12 ISC Maths Important Notes Chapter Relations and Functions
iqclasses.in
Consider the relation R={(x,y)∣x−y=0}⊂R×R on the set R. Wch of the ...
brainly.in
Relations and Its Types - Mathematics (Maths) for JEE Main and Advanced ...
edurev.in
Class 12 ISC Maths Important Notes Chapter Relations and Functions
iqclasses.in
A relation R from the set {2,3,4,5,6} to the set {1,2,3} defined by X ...
brainly.in
Let A = Z. Define relation R on set A as aRb iff 5| (a-b). Prove that R ...
brainly.in
Given a relation R on set A= {1, 2, 3, 5, 6, 10, 15, 30} such that R ...
brainly.in
[Solved] 1 point Consider the relations R 1 R 1 and R 2 R 2 on N N ie R ...
studocu.com
Relation R in the set N of natural numbers defined as R={(x,y) :y=x+5and x
brainly.in
A={1,2,3,4,5,6} if R is the reflexive relation on A then the minimum ...
brainly.in
Class 12 ISC Maths Important Notes Chapter Relations and Functions
iqclasses.in
define r on a by (x1,y1)r(x2,y2) if x1+y1=x2+y2 . The relation is an ...
brainly.in
4. Show that the relation R in R defined as R = {(a, b) a - Brainly.in
brainly.in
Databases: functional dependency
gateoverflow.in
To verify that the relation R in set L of all lines in plans, defined ...
brainly.in
Relation R in the set N of natural numbers defined as R={(x,y) :y=x+5and x
brainly.in
Class 12 ISC Maths Important Notes Chapter Relations and Functions
iqclasses.in
Meaning, objectives, nature and Scope of Industrial Relations ...
studocu.com
Show that each of the relation R in the set A = { x ∈Z: 0≤x≤12}, A={x ...
ask.learncbse.in
2. Show that the relation R in the set Z of integers given by R={(a, b ...
brainly.in
NCERT Solutions Class 11 Maths Chapter 2 - Relations and Functions
edurev.in
Relations and Its Types - Mathematics (Maths) for JEE Main and Advanced ...
edurev.in
XII-HY- Activity - hhmhjj, - ####### 0BJECITVE To ver ify that the ...
studocu.com
Relation R is defined from set A = {1, 2, 3, 4}, to set B = {-1,0, 1, 2 ...
brainly.in
Reading Split Digraph Words – PowerPoint Game – Twinkl
twinkl.co.in
Class 12 Maths Lab Manual - Activity 2 OBJECTIVE To verify that the ...
studocu.com
Phase 2 Digraph Workbook
twinkl.co.in
Relation between f and r in convex mirror - Brainly.in
brainly.in
Q4. Show that the relation R in the set {1, 2, 3} given by R = {(1, 1 ...
brainly.in
The /er/ Family Sound Display Posters Sound Display Posters
twinkl.co.in
Buy 10 Printable Digraphs Roll and Read Worksheets. Online in India - Etsy
etsy.com
Rita Mitchell Teaching Resources | Teachers Pay Teachers
teacherspayteachers.com
Generating Functions - Combinatorics - Discrete Mathematics
cse.poriyaan.in
Relation Between Heat capacity at Constant Volume (CV) & Constant ...
aakash.ac.in
State the reason for the relation R in the set {1,2,3} given by R = {(1 ...
brainly.in
Show that the relations R on the set A= {1, 2, 3, 4, 5} given by R ...
brainly.in
Domain & Range of relation R = { (x ,y ) : x - 2y =0 } defined on the ...
brainly.in
a relation R is given by the set {(x,y)/y=x+6,€{2,3,4,5)}. dwtermine ...
brainly.in
Show that given relation R in the set A={x in z: 0≤x≤12}, given by R ...
brainly.in
Distributed Databases - Advanced Topics - Database Management System
cse.poriyaan.in
If n(A)=2, n(B)=3, then number of relations from A to B are: - Brainly.in
brainly.in
1.2 Types of Relations - Relations and Functions - Class 12 Mathematics ...
blind2visionary.in
Verify that the relation R in the set L of all lines in a plane defined ...
brainly.in
A relation R is in the set of natural numbers is defined as R={(x,y);5x ...
brainly.in
The relation R in the set {1,2,3} given by R= {(1,2),(2,1), (1,3)} is ...
brainly.in
Relationships in DBMS - DBMS Tutorial | Study Glance
studyglance.in
Formulas - Relations and Functions - JEE PDF Download
edurev.in
Let p be the set of all points in a plane and relation R in set p be ...
brainly.in
Domain and Range of a Relation: Definition, Graph with Solved Example
allen.in
Professional Ethics Accounting System (Bar-Bench Relations and ...
amazon.in
Relation between cp and cv? - EduRev Class 11 Question
edurev.in
prove the relation, v=w×r - Brainly.in
brainly.in
Class 12 CBSE Term1 Maths SPECIMEN 2022
iqclasses.in
Derive the relation R =p l/a - Brainly.in
brainly.in
Determine whether each of the following relations are reflexive ...
ask.learncbse.in
Databases: ISI-2017 C3 (a)
gateoverflow.in
Let R be the relation on the set N of natural numbers defined by R={(a ...
brainly.in
Phonics IIA: Initial and final consonants, consonant digraphs ...
amazon.in
If R = {(x,y): x + 2y = 10 } is a relation on N, write the range of R ...
brainly.in
Find a linear relation between the components of the ordered pairs of ...
brainly.in
Express mathematically the relationship among tje resistance(R ...
brainly.in
R in Z is defined as R={(x,y):x-y is a multiple of 3} Check whether it ...
brainly.in
Related Searches
Digraph Representation Relations
Directed Graph Relations
What Is a Digraph with Antisymmetric Relations
Empty Relation Digram
Digraph Meaning Math
Interrelationship Digraph Relations Diagram Sample
Reflexive Relation Graph
Relations as a Digraph
Digraph in Discrete Mathematics
Diagraph Sets Relation
1st Theorm of Digraph Theory
Symbol Representing Relations
Digraphs Maths Relation
Ansymmetric Relation Bigraph
Search
×
Search
Loading...
No suggestions found