Find Your Style
Women
Men
Accessories
Search for clothing, brands, styles...
×
Women
Men
Accessories
Directionality Ratio
Search
Loading...
No suggestions found
PT INR
ptinr.in
PT INR
ptinr.in
PT INR
ptinr.in
Anurag Kashyap enjoys a massive net worth of INR 990 crore
lifestyleasia.com
The coordinates o the foot of the perpendicular drawn from the origin ...
allen.in
Chart Patterns Trading: Top 10 Candlestick Chart Patterns | TMGM
tmgm.com
Direction Cosines and Direction Ratios - 2 Video Lecture - Crash course ...
edurev.in
Find the angle between two lines whose direction ratios are
esaral.com
Three Dimensional Geometry: Direction Cosines, Direction Ratios ...
allen.in
613IB-07Direction ratios and direction cosines(29-35) - 1 7. DI RECT I ...
studocu.com
Find the angle between two lines whose direction ratios are
esaral.com
Three Dimensional Geometry: Direction Cosines, Direction Ratios ...
allen.in
Find the direction ratios and the direction cosines of the line segment ...
esaral.com
Direction Cosines and Direction Ratios - Mathematics for Digital SAT ...
edurev.in
(i) Write the direction ratios of the line 1. (ii) If cos α, cos β and ...
brainly.in
Vectors Class 12 Notes Maths Chapter 10 CBSE
oswalpublishers.com
If equation of a line ab is x-3/1=y+2/-2=3-5/4. find the direction ...
brainly.in
The distance of the point P (4,6,-2) from the line passing through the ...
tardigrade.in
Direction Cosines and Direction Ratios - Mathematics for Digital SAT ...
edurev.in
Direction Cosines and Direction Ratios - Mathematics for Digital SAT ...
edurev.in
Three-Dimensional Geometry Class 12 Notes Maths Chapter 11 CBSE
oswalpublishers.com
Important Important Formulas - 3D Geometry Formulas for JEE and NEET
edurev.in
Direction Cosines and Direction Ratios - Mathematics for Digital SAT ...
edurev.in
The direction ratios of the two lines A B and A C are 1,-1,-1 and 2,-1 ...
tardigrade.in
Find the direction cosines and direction ratios of the line joining the ...
brainly.in
The direction ratios of two lines are
esaral.com
BSE Midcap-to-Nifty ratio: Breaks four years of uptrend - 12 charts ...
economictimes.indiatimes.com
The direction ratios of two lines are
esaral.com
find the direction ratios of the line 2x+1=3-2y=4z+5 - Brainly.in
brainly.in
The direction ratios of two lines are
esaral.com
Find the angle between the two lines whose direction ratios are:
esaral.com
CBSE Class 12 Maths Chapter 11 Three Dimensional Geometry Formulas List ...
jagranjosh.com
A line L 1 with direction ratios langle-3,2,4 rangle passes through the ...
tardigrade.in
Find the angle between two lines whose direction ratios are
esaral.com
The direction ratios of the two lines A B and A C are 1,-1,-1 and 2,-1 ...
tardigrade.in
CBSE Class 12 Maths Chapter 11 Three Dimensional Geometry Formulas List ...
jagranjosh.com
Let a line having direction ratios 1,-4,2 intersect the lines (x-7/3 ...
tardigrade.in
A line with direction cosines proportional to 2, 1, 2 meets the lines x ...
tardigrade.in
The direction ratios of the diagonals of a cube which joins the origin ...
edurev.in
Find the direction ratios of the normal to the plane
esaral.com
Find the direction ratios and the direction cosines of the vector ...
esaral.com
If direction ratios of the normal of the plane which contains the lines ...
tardigrade.in
The distance of the plane 3 x+4 y+5 z+19=0 from the point (1,-1,1 ...
tardigrade.in
The direction ratios of two lines are
esaral.com
The coordinate of the foot of perpendicular drawn from origin to the ...
tardigrade.in
The equation of the right bisector plane of the segment joining (2,3,4 ...
tardigrade.in
A plane is parallel to two lines whose direction ratios are (1,0,-1 ...
tardigrade.in
If the foot of the perpendicular from the point A (-1,4,3) on the plane ...
tardigrade.in
if the angle between the lines whose direction ratios are (2,-1,2) and ...
brainly.in
How to Use Fibonacci Retracement - Fibonacci Trading
iforex.in
The distance of the point (1,-2,3) from the plane x-y+z=5 measured ...
tardigrade.in
Consider the following statements Statement I The vector equation of a ...
tardigrade.in
A line is perpendicular to two lines having direction ratios
esaral.com
Write the direction ratios of a line parallel to the line 5-x/3 = y+7 ...
brainly.in
If l1, m1, n1 and l2, m2, n2 are direction cosines of O A and O B such ...
tardigrade.in
A normal line with positive direction cosines to the plane P makes ...
tardigrade.in
Find the direction ratio and direction cosines of a line parallel to ...
brainly.in
Consider the figure given below Here, position vector O P (or r ) of a ...
tardigrade.in
5 Financial Ratios Every Stock Investor Should Know
groww.in
Three Dimensional Geometry - Three Dimensional GeomeTry Direction ...
studocu.com
Maximum ratio of span to depth of a cantilever slab is - Brainly.in
brainly.in
If(6,10,10) (1,0,-5) (6,-10,0) are vertices f a triangle,find the ...
brainly.in
Consider the figure given below Here, position vector O P (or r ) of a ...
tardigrade.in
A mirror and a source of light are situated at the origin O and at a ...
tardigrade.in
Direction Cosines of a Line - The Complete SAT Course - Class 10 PDF ...
edurev.in
A plane electromagnetic wave propagates in vacuum along x-axis. (a ...
brainly.in
A line is perpendicular to two lines having direction ratios
esaral.com
International Trade Settlement in Indian Rupees (INR)
taxguru.in
In a figure shown find the ratio of the linear charge densites `lambda ...
allen.in
If the foot of the perpendicular drawn from (1,9,7) to the line passing ...
tardigrade.in
Prothrombin time, PT/INR Report Format | MS Word & Pdf
labsmartlis.com
The length of the perpendicular from (1,0 , 2) on the line (x + 1/3)=(y ...
tardigrade.in
Consider the following statements Statement I The cosine of the angle ...
tardigrade.in
Number of direction ratios for a line segment joining two points is ...
brainly.in
Examining the Association and Directionality between Mental Health ...
mdpi.com
Three Dimensional Geometry: Direction Cosines, Direction Ratios ...
allen.in
The coordinates of the foot of perpendicular from the point (1, 0, 0 ...
tardigrade.in
Advanced SENSEX Put Call Ratio Tracker | Live Data Now
stockmojo.in
Draw a Diagram to Show a Block and Tackle Pulley System Having a ...
shaalaa.com
Effect of Quinolones Versus Cefixime on International Normalized Ratio ...
mdpi.com
4. Write the direction ratios of the vector 3 vec a +2 vec b . where ...
brainly.in
Let Q be the foot of perpendicular from the origin to the plane 4x - 3y ...
tardigrade.in
The magnitude of two forces is in the ratio 3:5 and the angle between ...
brainly.in
SOHCAHTOA Explained (19 Step-by-Step Examples!), 52% OFF
elevate.in
Bar graph of education of nagaland and rajasthan for the past 5 years ...
brainly.in
Write the direction cosines of a line parallel to the line 3-x/3=y+2/-2 ...
brainly.in
Consider two lines L1: (x-7/3)=(y-7/2)=(z-3/1) and L2: (x-1/2)=(y+1/4 ...
tardigrade.in
Vector-Algebra - Plus two physics vector algebra - Vector Direction ...
studocu.com
Factors Affecting the Velocity and Direction of Wind
adda247.com
The two vectors A and B that are parallel to each other are:(A) Ā=3i+6j ...
brainly.in
திசைக் கொசைன்கள் மற்றும் திசை விகிதங்கள் (Direction Cosines and ...
brainkart.in
5. If Ā = 3i +6j – 2k , the direction of cosines of thevector Ā are ...
brainly.in
If(6,10,10) (1,0,-5) (6,-10,0) are vertices f a triangle,find the ...
brainly.in
If A(3,5,-4), B(-1,1,2) and C(-5,-5,-2) are the vertices of a triangle ...
tardigrade.in
Π1, Π2, Π3 are three planes which are respectively parallel to the Y Z ...
tardigrade.in
Gyromagnetic ratio of electron revolving in circular path ( e - charge ...
brainly.in
Redraw the diagram given below in your answer book and show the ...
brainly.in
Equation of the perpendicular bisector of the line joining the points ...
tardigrade.in
Cost-Effective Inspection of Rebar Spacing and Clearance Using RGB-D ...
mdpi.com
Риск-менеджмент. Как управлять собственными деньгами. — Teletype
teletype.in
Frames, Focal Points and Directionality | CEPT - Portfolio
portfolio.cept.ac.in
CBSE Class 12 Mathematics set 3 (65/4/3) Question Paper Pdf - Check ...
zollege.in
CBSE Class 12 Mathematics set 2 (65/4/2) Question Paper Pdf - Check ...
zollege.in
In fig., blocks A and B move with velocities `v_(1)` and `v_(2)` along ...
allen.in
The Jyotirlinga Temples in India and Fibonacci Sequence – ekoshapu
ekoshapu.in
பயிற்சி 8.2: திசைக் கொசைன்கள் மற்றும் திசை விகிதங்கள் (Direction ...
brainkart.in
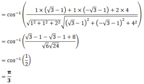
Angle between two lines having direction ratios 1 1 2 and root 3 minus ...
brainly.in
In the arrangement shown, blocks A and B connected with an inextensible ...
allen.in
திசைக் கொசைன்கள் மற்றும் திசை விகிதங்கள் (Direction Cosines and ...
brainkart.in
Buy Q-1 PRO (PT,INR) Meter- Patient self testing Online for Rs 24,144
colmed.in
If A(1, 2, 3), B(6, 7, 7), C(9, 9, 5) are three points, then the foot ...
brainly.in
FSI/FAR Mumbai: Understanding Floor Space Index in Mumbai (Floor Area ...
magicbricks.com
Buy Under Armour Black Ground Tech Hi Rise Leggings from Next India
nextdirect.com
Frames, Focal Points and Directionality | CEPT - Portfolio
portfolio.cept.ac.in
Draw a diagram to show a block and tackle pulley system having a ...
allen.in
The equation of the line passing through origin with direction angles ...
brainly.in
PlanIt Maths Y6 Position and Direction Lesson Pack Transformations (2)
twinkl.co.in
MCQ Class 12 Maths Chapter 11 Three Dimensional geometry
evidyarthi.in
SATHEE: Chapter 11 Three Dimensional Geometry
cuet.iitk.ac.in
If(6,10,10) (1,0,-5) (6,-10,0) are vertices f a triangle,find the ...
brainly.in
Related Searches
Direction Ratios
Direction Ratios and Direction Cosines
Direction Rairo
Direction Ratio Meaning
What Is Direction Ratios and Direction Cosines
Direction Ratio Formula
Directionality Factor
Cosine Ratio Formula
Direction Ratios Meaning
Search
×
Search
Loading...
No suggestions found