Find Your Style
Women
Men
Accessories
Search for clothing, brands, styles...
×
Women
Men
Accessories
Discrease Meaning
Search
Loading...
No suggestions found
Prothrombin Time (PT) and INR Test: Normal Range, Meaning & Uses ...
mydiagnostics.in
Prothrombin Time (PT) and INR Test: Normal Range, Meaning & Uses ...
mydiagnostics.in
inr - Definition, What is inr, Advantages of inr, and Latest News ...
cleartax.in
Prothrombin Time (PT) and INR Test: Normal Range, Meaning & Uses ...
mydiagnostics.in
inr - Definition, What is inr, Advantages of inr, and Latest News ...
cleartax.in
inr - Definition, What is inr, Advantages of inr, and Latest News ...
cleartax.in
inr - Definition, What is inr, Advantages of inr, and Latest News ...
cleartax.in
inr - Definition, What is inr, Advantages of inr, and Latest News ...
cleartax.in
Partial Thromboplastin Time Wikipedia, 58% OFF
elevate.in
Demand Analysis: Meaning, Functions & Laws
adda247.com
Low Platelet Count (Thrombocytopenia): Symptoms, Causes, Diagnosis, and ...
mrmed.in
Distinguish between causes of increase in demand and decrease in demand ...
ask.learncbse.in
A number is Increased by by 10% and then decreased by 10% . Find the ...
brainly.in
Classification of Signals and Systems - Signal, Elementary Signals
ece.poriyaan.in
Concept Explanation
abhyasonline.in
👉 Simple Percentage Increase and Decrease Worksheet
twinkl.co.in
Microsoft Word Tutorial - Decrease or Increase Indent
pcbooks.in
SBI BANK CODE SBCHQ-GEN-PUB-IND-INR MEANING.SBI DIFFERENT TYPES OF ...
digitalhelper.in
what is the meaning of decrease in hindi - Brainly.in
brainly.in
Exploring the Types of Data: Nominal, Ordinal, Discrete, and Continuous ...
fita.in
Percent Decrease Formula - How To Calculate And Examples
pw.live
How to Interpret a Correlation Coefficient r - India Dictionary
1investing.in
What separates discrete manufacturing from process manufacturing?
leapingfrogconsulting.com
Repo Rate Vs Reverse Repo Rate: Definition, Significance & Effects
paisabazaar.com
SBI BANK CODE SBCHQ-GEN-PUB-IND-INR MEANING.SBI DIFFERENT TYPES OF ...
digitalhelper.in
SBI BANK CODE SBCHQ-GEN-PUB-IND-INR MEANING.SBI DIFFERENT TYPES OF ...
digitalhelper.in
SBI BANK CODE SBCHQ-GEN-PUB-IND-INR MEANING.SBI DIFFERENT TYPES OF ...
digitalhelper.in
KS2 Discrete and Continuous Data Display Poster
twinkl.co.in
Decrease - Free time and date icons
flaticon.com
Discrete Mathematics full Unit 2 part2 - Solution : a) R is not ...
studocu.com
U1-PCNF and PDNF - PCNF and PDNF - 1 Discrete Mathematics p q p r p q p ...
studocu.com
U1-PCNF and PDNF - PCNF and PDNF - 1 Discrete Mathematics p q p r p q p ...
studocu.com
the diagram below shows the flow of wind over a mountain. as air rises ...
brainly.in
Buy DISCRETE MATHEMATICAL STRU Book Online at Low Prices in India ...
amazon.in
Define Wane, Wane Meaning, Wane Examples, Wane Synonyms, Wane Images ...
smartvocab.in
Production Possibility Curves - Sanjay Rajawat
sanjayrajawat.com
U1-PCNF and PDNF - PCNF and PDNF - 1 Discrete Mathematics p q p r p q p ...
studocu.com
DISCRETE MATHEMATICS AND ITS APPLICATIONS, 8TH EDITION : ROSEN, KENNETH ...
amazon.in
PDNF and PCNF - Notes - PDNF and PCNF in Discrete Mathematics To ...
studocu.com
Buy Mathematics : A Discrete Introduction Book Online at Low Prices in ...
amazon.in
What is Set Mathematics? - Answered - Twinkl Teaching Wiki
twinkl.co.in
U1-PCNF and PDNF - PCNF and PDNF - 1 Discrete Mathematics p q p r p q p ...
studocu.com
U1-PCNF and PDNF - PCNF and PDNF - 1 Discrete Mathematics p q p r p q p ...
studocu.com
SBI BANK CODE SBCHQ-GEN-PUB-IND-INR MEANING.SBI DIFFERENT TYPES OF ...
digitalhelper.in
alpha and beta are the zeros of the polynomial x square - 3 x + 4 then ...
brainly.in
Discuss The Difference Between a Discrete & A Continuous Probability ...
fairgaze.com
U1-PCNF and PDNF - PCNF and PDNF - 1 Discrete Mathematics p q p r p q p ...
studocu.com
SBI BANK CODE SBCHQ-GEN-PUB-IND-INR MEANING.SBI DIFFERENT TYPES OF ...
digitalhelper.in
U1-PCNF and PDNF - PCNF and PDNF - 1 Discrete Mathematics p q p r p q p ...
studocu.com
Define Discrete, Discrete Meaning, Discrete Examples, Discrete Synonyms ...
smartvocab.in
Why does velocity decrease as pressure increases? - Brainly.in
brainly.in
U1-PCNF and PDNF - PCNF and PDNF - 1 Discrete Mathematics p q p r p q p ...
studocu.com
Percentage Increase and Decrease Worksheets (PDF)
twinkl.co.in
DISCRETE MATHEMATICAL STRUCTURES, 6TH EDN : Kolman / Busby / Ross ...
amazon.in
👉 Decreasing by a Percentage Worksheet (teacher made)
twinkl.co.in
Unlocking Divine Guidance: The Angel Numbers Collection by Soulla
soulla.in
alpha and beta are the zeros of the polynomial x square - 3 x + 4 then ...
brainly.in
Tarjeta grafica on sale intel graphics hd
metrorailnews.in
Риск-менеджмент. Как управлять собственными деньгами. — Teletype
teletype.in
Graph with decrease report business and finance vector illustration ...
freepik.com
Buy Discrete Mathematics and Its Applications (Higher Math) Book Online ...
amazon.in
Find the H.C.F. of the following numbers using prime factorization ...
brainly.in
Prove graphically the system of equation x - 2 y = 6 and 3x - 6 y=0 has ...
brainly.in
Hani Name Meaning in English | Vews News
vews.in
Discrete Mathematics and Its Applications: Buy Discrete Mathematics and ...
flipkart.com
Discrete
meaninginhindi.net
Discrete Mathematics full Unit 2 part2 - Solution : a) R is not ...
studocu.com
If the sum of two rational numbers is -8/25 and if one number is 3/15 ...
brainly.in
log base 3√9 81 find value - Brainly.in
brainly.in
cos o /1-tano +sin o/1-cot o =sin o+cos o - Brainly.in
brainly.in
DM Notes-1 - Handwritten notes - Discrete mathematics - Studocu
studocu.com
Prove that the digonals pf a rectangle bisect each other and are equal ...
brainly.in
Discrete Meaning in Hindi, Synonyms, Antonyms | SamanyaGyan
samanyagyan.com
In an exam 14%students failed and 559 students passed. Determine the ...
brainly.in
Discrete Mathematics By Example: Buy Discrete Mathematics By Example by ...
flipkart.com
2-0.275 subtract it - Brainly.in
brainly.in
Decrease in area under rice, pulse, oilseeds cultivation - Farmer News ...
eng.ruralvoice.in
Discrete Time Systems and Signal Processing: Buy Discrete Time Systems ...
flipkart.com
Let the universal set be U={x:x € W and x
brainly.in
Fundamentals of Discrete Mathematics : Amazon.in: Books
amazon.in
pointing down black arrow png
pngguru.in
Meaning & Context
probono-doj.in
If the quadratic equation have two equal real Roots px²-2√5px+15x=0 ...
brainly.in
Compound Interest Formula With Examples - India Dictionary
1investing.in
Which mathematical statement represents the following statement ...
brainly.in
Low Platelet Count (Thrombocytopenia): Symptoms, Causes, Diagnosis, and ...
mrmed.in
Discrete-time Signal Processing (Prentice-Hall signal processing series ...
amazon.in
Macro Model for Discrete-Time Sigma‒Delta Modulators
mdpi.com
U1-PCNF and PDNF - PCNF and PDNF - 1 Discrete Mathematics p q p r p q p ...
studocu.com
subract (6f4+9f3+9f+2)–(4f4+7f3+f+2) - Brainly.in
brainly.in
Buy Man's Search For Meaning: The classic tribute to hope from the ...
amazon.in
What is Risk Management? Definition of Risk Management, Risk Management ...
economictimes.indiatimes.com
Discrete-Time Signal Processing, 3e : Oppenheim: Amazon.in: Books
amazon.in
4. One of the pair of linear equations is x-3y=7 and if the pair of ...
brainly.in
if s 1/s=11 then find the value of s-1/s - Brainly.in
brainly.in
Which of the rational number having terminating expansions 11/7000 ...
brainly.in
Indian Rupee Symbol (₹): Facts about the official Currency of India
indiatimes.com
[Solved] For the period 2013-2020 if x is the numerical value of ...
cracku.in
Discrete Mathematics
csprimer.in
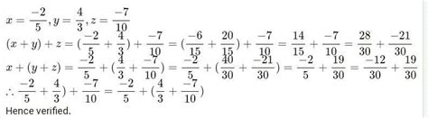
x=-2/5,y=4/3,z=-7/10 - Brainly.in
brainly.in
Hemabook 14: Quick Facts on ESR Part A - Mindray India
mindray.com
Maths notes - Discrete mathematics - Studocu
studocu.com
Computational Logic And Discrete Structures For MU Sem 1 F. Y. B.Sc ...
flipkart.com
Open Demat Account | Free Demat Account Opening Online
5paisa.com
Discrete Mathematics 1 Edition: Buy Discrete Mathematics 1 Edition by ...
flipkart.com
3. Complete the following table : - Brainly.in
brainly.in
The car slows more rapidly as it gets closer to stopping.(ii) Rate of ...
brainly.in
Unpacking The Meaning Of A Slay Queen In Today's World
insideoutside.in
Maternal Mortality Ratio in India continues to decline, drops to 97 deaths
aninews.in
What is Freight Forwarding: Types, Costs, and Benefits
sell.amazon.in
Solve if you know this.. - Brainly.in
brainly.in
In silico design of sgRNA for CRISPR/Cas9-mediated FaRALF33 gene ...
jabonline.in
नमन नाम का मतलब- Naman Name Meaning, Baby Boy name that starts with N ...
raftaar.in
What is the Interest Coverage Ratio? Meaning, Types, and Formula
getzype.com
draw the graph of the following equation x/2-y/3 =2 - Brainly.in
brainly.in
Use the formula (a+b) (a-b) =a²-b²to find the value of 21×19 - Brainly.in
brainly.in
The Shore Power Solutions Launched by Port of Tallinn Improves Air ...
vesselfinder.com
Will Gold Rate Decrease in Coming Days 2026 | Rupeezy
rupeezy.in
In fig 8 a and 8b ab||Cd find x - Brainly.in
brainly.in
where can I find this type of sample paper - Brainly.in
brainly.in
Related Searches
INR Test
PT/INR Test
Low INR Meaning
High INR Meaning
Normal INR
INR Meaning Medical
INR Blood Test
PT/INR Labs
Elevated INR
Blood INR Levels
PT/INR Testing
What Is INR
INR คือ
PT/INR Results
INR Ratio
INR Range
INR Lab Value
Normal INR Levels Chart
INR Scale
INR Formula
INR Elevation
INR Calculation
INR Diagram
INR Draw
Protime/INR
INR Meaning of Numbers
INR Currency Meaning
Therapeutic INR Level
INR Equation
Elevated INR Causes
PTI INR
Elevated INR Treatment
INR Medical Abbreviation
INR Form
INR Explained
INR Full Form
INR Meaning in Nuerology
Calculate INR
INR High Means
INR. Check
INR Time
INR Calculator
INR Example
INR Measurement
INR Stands For
INR Values
INR Definition
Patient INR
Coumadin INR Levels Chart
How to Calculate INR
Search
×
Search
Loading...
No suggestions found