Find Your Style
Women
Men
Accessories
Search for clothing, brands, styles...
×
Women
Men
Accessories
Displacement Method Formula
Search
Loading...
No suggestions found
Formula:- 1 F 1 Experiment No. 7 Focal Length of Convex Lens By ...
brainly.in
In displacement method, there are two position of lens for which we get ...
brainly.in
Difference betweenforce and displacementmethod of analysis - Brainly.in
brainly.in
Difference betweenforce and displacementmethod of analysis - Brainly.in
brainly.in
Displacement Method OF Analysis - Design of Structures - Studocu
studocu.com
Inert Gas System Operations
thenauticalsite.in
Short Notes: Displacement Method of Analysis (Slope Deflection Method ...
edurev.in
Short Notes: Displacement Method of Analysis (Moment Distribution ...
edurev.in
In the displacement method, a convex lens is placed in between an ...
tardigrade.in
Displacement Reaction Examples, Definition For Class 10
adda247.com
formula for displacement - Brainly.in
brainly.in
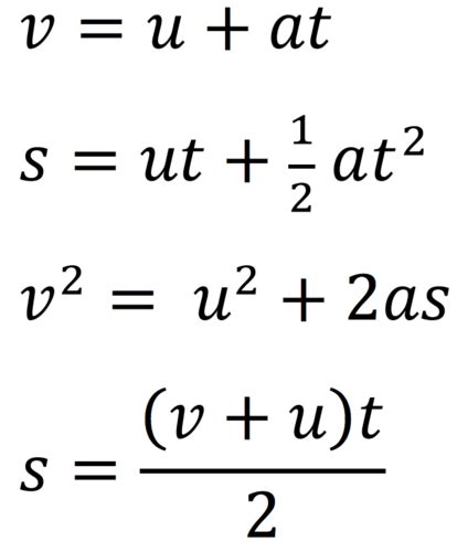
Derivation of equations and List of 3 equations of motion - Physics ...
aakash.ac.in
an athlete completes one round of a circular track of radius R in 40 ...
brainly.in
Derivation of equations and List of 3 equations of motion - Physics ...
aakash.ac.in
In displacement method, there are two position of a lens for which we ...
allen.in
An object is moving in a circle of radius 'r', calculate the distance ...
brainly.in
In displacement method, there are two position of a lens for which we ...
tardigrade.in
How to find the displacement of formula - Brainly.in
brainly.in
angular position | angular displacement | angular velocity | relation ...
raiedu.in
Displacement method to find out focal length of lens -- Abhishek sahu ...
edurev.in
Wien's displacement law formula - Brainly.in
brainly.in
Displacement equation of a particle is x= at^3+ bt^2+ c / d+ t , then ...
brainly.in
A particle has displacement equation - CBSE Class 11 Physics - Learn ...
ask.learncbse.in
Distance and Displacement: Difference, Formula, Calculations and Units
jagranjosh.com
Work Done Calculation By Force Displacement Graph
pw.live
All Physics formula-converted - MOTION • Speed = 𝑫𝒊𝒔𝒕𝒂𝒏𝒄𝒆 𝑻𝒊𝒎𝒆 ...
studocu.com
what is the difference between displacement and double displacement ...
brainly.in
Stability
thenauticalsite.in
Distance and Displacement: Difference, Formula, Calculations and Units
jagranjosh.com
Wien's Displacement Law: Definition, Formula, and Significance
allen.in
Difference between distance and displacement in Physics? - EduRev Class ...
edurev.in
Wien's Displacement Law: Definition, Formula, and Significance
allen.in
Explain about the water displacement method to measure the volume of ...
brainly.in
Derivation of lateral displacement formula. - Brainly.in
brainly.in
Mastering Depreciation: Exploring Formula Derivation & Accurate Application
taxguru.in
Kirchhoff's Law - Definition, Wien’s Displacement Law & Electromagnetic ...
aakash.ac.in
Wien's Displacement Law: Definition, Formula, and Significance
allen.in
Difference between Distance and Displacement for Class 9
adda247.com
Displacement Current Formula, Definition, Maxwell Ampere Law ...
aakash.ac.in
Displacement Current Formula, Definition, Maxwell Ampere Law ...
aakash.ac.in
How to find out focal length of a convex lens by displacement method ...
brainly.in
Displacement Method OF Analysis - Design of Structures - Studocu
studocu.com
In displacement method, there are two position of a lens for which we ...
tardigrade.in
Synchronous Impedance Method or E.M.F. Method - Alternators
eee.poriyaan.in
Strain Formula: A Complete Guide to Strain Calculation and Uses
collegesearch.in
Wien's Displacement Law: Definition, Formula, and Significance
allen.in
Stiffness Method(Displacement Method) - Matrix Method of Structural ...
edurev.in
Give the formula for each: 1.Relation between Initial, final velocity ...
brainly.in
give me the derivation of the formula of lateral shift - Brainly.in
brainly.in
The maximum angular displacement of a simple pendulum of length l is θ ...
tardigrade.in
Displacement Or Cubic Capacity Of An Engine Explained » BikesMedia.in
bikesmedia.in
Acceleration formula with velocity and displacement - Brainly.in
brainly.in
In the Hydrogen displacement method what is the formulA of equivalent ...
brainly.in
an object is moving ina circle of radius r calculate the distance and ...
brainly.in
Angle of incidence is 30 then what will the angle of lateral ...
brainly.in
How to find out focal length of a convex lens by displacement method ...
brainly.in
Fig. 9: Co-precipitation method
innovareacademics.in
Displacement Current Formula, Definition, Maxwell Ampere Law ...
aakash.ac.in
what is formula for calculating displacement???? - Brainly.in
brainly.in
Synchronous Impedance Method or E.M.F. Method - Alternators
eee.poriyaan.in
Quick Guide to Deflection of Beams - Calculation, Formula and Table
apsed.in
Formula for distance and displacement in circular motion - Brainly.in
brainly.in
The time of flight t of a projectile on a horizontal plane is given by ...
zonetech.in
Nanoindentation Test
studymeta.com
Motorized Rotary Stages Ball Screw Type, Position Repeatability ±0.005 ...
in.misumi-ec.com
formula for average velocity - Brainly.in
brainly.in
The graph shows How the reciprocal of magnification ( mid μ=(4/3) mid ...
tardigrade.in
Distance and Displacement: Difference, Formula, Calculations and Units
jagranjosh.com
Fillable Online Distance and Displacement - Definition, Formulas ...
pdffiller.com
What is the formula, SI unit and CGS unit of distance, displacement ...
brainly.in
An object is moving in a circle of radius r. Calculate the distance and ...
brainly.in
Solved: Rebecca bought a wind-up car that travels in a straight line ...
gauthmath.com
Euler and Modified Euler Method - Solved Example Problems
eee.poriyaan.in
Formula for distance and displacement in circular motion - Brainly.in
brainly.in
How to find out focal length of a convex lens by displacement method ...
brainly.in
A ray of light is incident obliquely on a glass slab - CBSE Class 10 ...
ask.learncbse.in
Find the ratio of the distance covered to the displacement by a body ...
brainly.in
Velocity Formula, Equation in Physics for Class 9
adda247.com
Measurement of Focal Length | Refraction Plane Surface | Class 12, JEE ...
visualphysics.in
An object is moving in a circle of radius r. Calculate the distance and ...
brainly.in
12. Derive the formula for acceleration, displacement and time taken to ...
brainly.in
Beam fixed end moments formulas - " Browsing Spot
browsespot.blogspot.in
Formula for distance and displacement in circular motion - Brainly.in
brainly.in
How Tourist use Distance and Displacement method in Journey? - Brainly.in
brainly.in
To find focal length of a Convex lens by plotting graph between u and v ...
brainly.in
Formulas for Slope and Deflection of Beam | Shortcut Formulas ...
civildailyinfo.com
A particle covers half of the circle of radius r. Then the displacement ...
brainly.in
All Formulas - SUBRA W Vol. X density of water displaced DWT Load disp ...
studocu.com
3rd point what is. difference between in this formula of motionaverage ...
brainly.in
Calculus- Washer and Shell Methods, Pappus's theorems, Calculus of ...
studocu.com
Analytical Determination of Static Deflection Shape of an Asymmetric ...
mdpi.com
An object is moving in circle of radius r . Calculate distance and ...
brainly.in
Given below is a graph between a variable force (F) (along y-axis) and ...
allen.in
National Income, Calculation Method, Formula, Importance
studyiq.com
a boy travel 10m due north and 7m due east find displacement using ...
brainly.in
formula for shortcut method and step deviation method in measures of ...
brainly.in
Geometry Formulas- Perimeter, Area, Volume, Examples
adda247.com
How to Reverse Pipette | Reverse Pipetting | Rainin
mt.com
what is displacement current - Brainly.in
brainly.in
From the data given below, calculate Karl Pearson's coefficient of ...
ask.learncbse.in
How Tourist use Distance and Displacement method in Journey? - Brainly.in
brainly.in
How to Choose Soil Improvement Method? | Blog @ Powerplay
getpowerplay.in
Example 2: using regula-falsi method, compute the real root of the ...
scoop.eduncle.com
Volume of irregular objects — lesson. Science State Board, Class 6.
yaclass.in
Question 1. Calculate the Rate of Depreciation under Straight Line ...
brainly.in
Winkler method formula for dissolved oxygen analysis - Brainly.in
brainly.in
Trapezoidal method
vlab.andcollege.du.ac.in
Force method of analysis | Structural Analysis
apsed.in
Explain the terms of direct mean method, assume mean method, step ...
brainly.in
Physics Flashcards | Quizlet
quizlet.com
Q. Draw a diagram 1. Downward displacement of water. 2. Upward ...
brainly.in
calculate the displacement vector , AB its magnitude, and direction ...
brainly.in
HPD Module 3 - motes of HPD as per ktu - HIGHWAY PAVEMENTS DESIGN ...
studocu.com
Deduce the dimensional formula for R, using ideal gas equation PV = nRT ...
ask.learncbse.in
Find out the Arithmetic Mean using the step deviation method - CBSE ...
ask.learncbse.in
Parallax Method - Triangulation Method, Measurement of length, Distance ...
aakash.ac.in
A body is moving along the circumference of a circle of radius ‘R’ and ...
brainly.in
Construct index number by the simple average of price relative method ...
ask.learncbse.in
Introduction to Motion Class 11 Notes | EduRev
edurev.in
Factorisation -Definition, Method, Formulas, and Examples
adda247.com
Related Searches
Calculating Displacement
Water Displacement Formula
Displacement Method
Water Displacement Worksheet
Total Displacement Formula
Water Displacement Graduated Cylinder
Displacement Formula in Physics
Volume Displacement
Displacement Vector Formula
How to Calculate Displacement
How to Find Total Displacement
Displacement Equation
Formula for Displacement
Displacement Definition
Distance and Displacement
Distance Traveled Formula
Displacement Vlume Formula
Distance vs Displacement
Density Formula Water Displacement
Distance V Displacement
What Is Water Displacement
Displacement Current
Fluid Displacement Method Formula
How to Calc Displacement
Displacement Formula without Acceleration
Lens Formula and Displacement Method Differnece
Formula for Volume of a Right Cylinder
How Do You Find Displacement Calculus
Single Displacement Reaction Definition
Displacement Formula Calculator
Difference Between Distance and Displacement
Distance and Displacement Examples
Volume Displacement Practice
Volume Using Water Displacement
Magnitude of Displacement Formula Physics
Volume Measurements by Displacement Method
How to Calculate Pump Displacement
Displacement Method to Find Focal Length
Adding Displacements
Water Displacement Method Water Bottle
How to Find Velocity From Acceleration
Displacement Method Ray Optics
Lenticular Displacement
Triangulation
Shearing Displacement
Water Displacement Method in Clinic
All Displacement Formulas
Results Table Water Displacement Method
Lenses Displacement Method in Fresnel Biprism
How to Find Magnitude and Direction of Displacement
Search
×
Search
Loading...
No suggestions found