Find Your Style
Women
Men
Accessories
Search for clothing, brands, styles...
×
Women
Men
Accessories
Dmards Flow Chart
Search
Loading...
No suggestions found
Germany currency to inr - Brainly.in
brainly.in
Buy Managing Rheumatoid Arthritis Question & Answer - Diagnosis to ...
amazon.in
Mechanisms and Management of Thyroid Disease and Atrial Fibrillation ...
mdpi.com
Tapering of DMARDs viable for some Rheumatoid arthritis patients but ...
medicaldialogues.in
Heated Humidified High-Flow Nasal Cannula in Children: State of the Art
mdpi.com
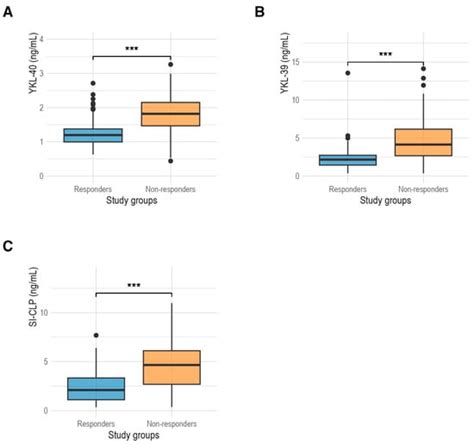
Elevated Serum Levels of YKL-40, YKL-39, and SI-CLP in Patients with ...
mdpi.com
iNR-Drug: Predicting the Interaction of Drugs with Nuclear Receptors in ...
mdpi.com
Stock Market Prediction Using LSTM Technique
ijraset.com
Flow Chart of H Mono/Poly DR-TB Patients from Diagnosis to Treatment ...
ntep.in
Ourtutorials
ourtutorials.in
Designs Flowchart and Design Filing Procedure
ssrana.in
Startup India: Flow-charts for Patent | Design | Trademark
taxguru.in
illustrat er diagram, dfd, flow chart, org charts, infograph | Freelancer
freelancer.in
DADASAHEB DR. SURESH G. PATIL COLLEGE, CHOPDA
mgsmasc.ac.in
Os melhores modelos de fluxograma grátis para Word, PowerPoint ou Excel
edrawsoft.com
Steel Exchange India Ltd
seil.co.in
Os melhores modelos de fluxograma grátis para Word, PowerPoint ou Excel
edrawsoft.com
Flow Chart
socialmobileskills.in
What Are the Types, Uses, and Benefits of Loops in Flowcharts?
edrawmax.wondershare.com
30+ उदाहरण सहित जानिए Flowchart क्या हैं। Hindi में।
visme.co
Steel Exchange India Ltd
seil.co.in
Fertigungsprozess Flussdiagramm Leitfaden
edrawsoft.com
What Are the Types, Uses, and Benefits of Loops in Flowcharts?
edrawmax.wondershare.com
a flow chart of Mountains and the northern plains - Brainly.in
brainly.in
Elementary SST Flow Chart (Editable resource) by Principal Printable
teacherspayteachers.com
30+ उदाहरण सहित जानिए Flowchart क्या हैं। Hindi में।
visme.co
PM Formlisation of Micro Food Processing Enterprises Scheme
pmfme.mofpi.gov.in
E-Library - RVO
rvoicmai.in
What is Flow chart and how to use different symbols with examples | MY ...
msdotnet.co.in
Ein detaillierter Leitfaden zum PPT Flussdiagramm für Lagerprozesse
edrawsoft.com
What is a Flow Chart? - Answered - Twinkl Teaching Wiki
twinkl.co.in
Flow Charts for Troubleshooting car problems - Team-BHP
team-bhp.com
30+ उदाहरण सहित जानिए Flowchart क्या हैं। Hindi में।
visme.co
Cpc-flow-chart-study-material compress - FLOW CHART: THE CIVIL ...
studocu.com
What is a Flow Chart? - Answered - Twinkl Teaching Wiki
twinkl.co.in
r Medial Words Sound Mat - Speech Pathology (teacher made)
twinkl.co.in
What is a Flow Chart? - Answered - Twinkl Teaching Wiki
twinkl.co.in
MIG Welding Gas Pressure Settings (with Charts), 60% OFF
elevate.in
Digestive System Flowchart Display Poster and Activity Pack
twinkl.co.in
A Comparative Study on the Condensation Heat Transfer of R-513A as an ...
mdpi.com
3. Draw a flowchart for calculating grade from marks percentage ...
brainly.in
Fertigungsprozess Flussdiagramm Leitfaden
edrawsoft.com
USD/INR Cracks Big: Falls 2% in 4 Days! | Investing.com India
in.investing.com
DMARDs may reduce efficacy of COVID-19 vaccine in rheumatoid arthritis ...
medicaldialogues.in
50+ Hundreds Charts worksheets for 7th Class on Quizizz | Free & Printable
quizizz.com
Targeting Probiotics in Rheumatoid Arthritis
mdpi.com
Startup India: Flow-charts for Patent | Design | Trademark
taxguru.in
Gold Price per Gram in India today in Indian Rupee (INR)
goldpriceworld.com
Fmla Process Flow Chart - Fill Online, Printable, Fillable, Blank ...
pdffiller.com
Optimization of a Textile Effluent Treatment System and Evaluation of ...
mdpi.com
Write algorithm and Draw flowchart to find Area and circumference of ...
brainly.in
Fertigungsprozess Flussdiagramm Leitfaden
edrawsoft.com
illustrat er diagram, dfd, flow chart, org charts, infograph | Freelancer
freelancer.in
Front End Vs. Back End in VLSI ~ Learn and Design Semiconductors .......
techsimplifiedtv.in
illustrat er diagram, dfd, flow chart, org charts, infograph | Freelancer
freelancer.in
Frailty may increase risk of adverse outcomes in RA patients on ...
medicaldialogues.in
FLOW-GENIX VALVES & CONTROLS INC.
flowgenixvalves.com
Flow chart to swap two numbers using third variable - Brainly.in
brainly.in
Targeting Probiotics in Rheumatoid Arthritis
mdpi.com
Bar chart creation in R Data science & Visualization | S-Logix
slogix.in
From ₹3.30 To ₹83.94/USD: The Indian Rupee’s Evolution From ...
freepressjournal.in
flow chart of classification of animal and plant kingdom - Brainly.in
brainly.in
Elevated Serum Levels of YKL-40, YKL-39, and SI-CLP in Patients with ...
mdpi.com
R sample source code for plot Pareto Chart in R Data Science | S-Logix
slogix.in
*Prepare an administrative flow chart of Indian ministers the duties of ...
brainly.in
Buy IT Data Flow Processing Flowchart Chart Symbols Drawing Drafting ...
desertcart.in
Free Editable Circular Flow Diagram Examples | EdrawMax Online
edrawmax.wondershare.com
To create pie chart and 3D pie chart in R Data science | S-Logix
slogix.in
Make a flow chart about the structure of the judiciary in india ...
brainly.in
Complete the flow chart on the sources of history. - Brainly.in
brainly.in
Biologic and Targeted Synthetic DMARDs may Improve Work Productivity in ...
medicaldialogues.in
Cos'è un diagramma di tubazioni e strumentazione (P&ID)
edrawsoft.com
flowchart of samas ? - Brainly.in
brainly.in
Buy Asthma Diary: undated Asthma Tracker Include Symptoms, Medications ...
desertcart.in
fund flow
rdifund.anrf.gov.in
prepare a flowchart to show the various organ of the Indian ...
brainly.in
FutPrint Charts - Institutional-grade OrderFlow Charts | FutPrint ...
futprint.in
Silver Rate Today in India, 1 KG Silver Price 2026 - IPO Watch
ipowatch.in
PFM711-02-C-MN-R | 2-Color Display Digital Flow Switch, Integrated ...
in.misumi-ec.com
Praveen Aroma
praveenaroma.com
Assessment of Integrated Solutions for the Combined Energy Efficiency ...
mdpi.com
Products Flow Chart of Vastupal Bearing Races : Manufacturer of ...
vastupal.com
Coriolis Flow Meters for Mass, Volume & Density Measurement | Emerson IN
emerson.com
ALENLYTICS
inboundmarketer.in
Organization Chart
icar-nsri.res.in
Make a flowchart showing the sultans of delhi sultanate and the ...
brainly.in
Algorithm and flowchart to find area and perimeter of circle - Brainly.in
brainly.in
Grade R English - Phonics - Flashcards: R (CAPS Aligned)
twinkl.co.in
Should You Invest in Silver in 2025? | FinEdge
finedge.in
PT Chart R32/R-454B Laminated Pocket Aid Pressure/Temperature : Amazon ...
amazon.in
Major Gen VK Singh approaches SC for supply of documents in CBI case ...
lawbeat.in
Algorithm cook rice to flowchart - Brainly.in
brainly.in
Buy HVAC Chart 3 Pack, R-22 Superheat Subcooling Calculator, R-410a ...
desertcart.in
Wonder : Palacio, R. J.: Amazon.in: Books
amazon.in
LATTAFA ECLAIRE PISTACHE EAU DE PARFUM 100ML FOR MAN & WOMAN – Luxury D ...
luxurydallure.in
Entrepreneur drawing Images - Free Download on Freepik
freepik.com
Applicability of various Accounting Standards
taxguru.in
VISUAL CHART in Products | Rumax International
rumax.co.in
draw a flowchart to calculate the area of a triangle - Brainly.in
brainly.in
Buy Easy Peak Flow Meter for Child to Monitor Lung Function, Expiratory ...
desertcart.in
LATTAFA DYNASTY EAU DE PARFUM 100ML FOR MAN & WOMAN – Luxury D'Allure
luxurydallure.in
Water Flow Sensor Ht30 Water Flow Switch Water Flow Sensor | Desertcart ...
desertcart.in
Organization Chart
db.and.nic.in
How to read your Vedic birth chart
jyotishgher.in
Los mejores medicamentos para la espondilitis anquilosante ...
medicoverhospitals.in
Buy NUA SANITARY PADS (L PADS- MEDIUM FLOW)- PACK OF 12 Online & Get ...
pharmeasy.in
Fetal Weight Chart in Grams | Max Lab
maxlab.co.in
To create pie chart and 3D pie chart in R Data science | S-Logix
slogix.in
310 Stainless Steel Tube Suppliers, 310S SS Tubing Manufacturers
tubos.in
Différentes façons de créer un organigramme dans Microsoft Office 365
edrawsoft.com
T.R.R GOVERNMENT DEGREE COLLEGE
gdckandukur.ac.in
Punjab dam in India ceases River Ravi water flow to Pakistan THE NEW ...
newindian.in
Shopify Analytics and Reporting Dashboards - Shopify India
shopify.com
ALENLYTICS
inboundmarketer.in
VISUAL CHART in Products | Rumax International
rumax.co.in
Children's Weather Chart for Classrooms - Primary Resource
twinkl.co.in
Dhan Taan Dha ~ Kathak | Unisex Sweatshirt – The Mad Riyazi
themadriyazi.com
Flow Sensors/Flow Meters | Turck India Automation Private Limited
turck.in
Maruti Suzuki Wagon R 1.2L ZXI Plus Petrol AGS price, specs, mileage ...
carz4sale.in
Related Searches
INR Flow Sheet
Blood INR Chart
Coumadin INR Chart
Nursing Flow Sheet Template
RTI Flow Chart
Printable INR Chart
INR Chart Warfarin
Coumadin Log Sheet
Anticoagulant Chart
PT/INR Results Chart
Patient Flow Sheet Template
Coumadin INR Dosing Chart
Gene Therapy Flow Chart
INR Flow Control
Normal INR Range Chart
INR Chart for Patients
IEP Flow Chart
Medical Flow Sheet Template
INR Blood Test Machine
INR Adjustment Chart
Heparin Flow Sheet
INR. Check Flow Chart
INR Levels Chart
Coumadin Dosage Chart
Prothrombin INR Levels Chart
Target INR Range Chart
INR Chart Documents
Flow Chart Supratherapeutic INR
PT/INR Charting Flow Sheet
Reception Flow Chart
INR Management Chart
INR Flow Sheet Printable Free
Pharmacy First Flow Chart
INR Monitoring Chart
aPTT Flow Chart
Warfarin Dosing Table
Prothrombin Time and INR Chart
Specimen Reception Flow Chart
Telephone Reception Flow Chart
INR Flow Sheet Example
Download Acelis INR Chart
INR Measurement Flow Sheet
Coumadin Dose Sheet
Normal INR Score Chart
INR Flow Sheet of the Month
VitalSigns Flow Sheet Template
Teja Software Reception Flow Chart
Types of Ratios with Flow Chart
Warfarin Tablet Color Chart
Normalized INR Levels Chart NHS
Search
×
Search
Loading...
No suggestions found