Find Your Style
Women
Men
Accessories
Search for clothing, brands, styles...
×
Women
Men
Accessories
Domain Symbol Math For Range
Search
Loading...
No suggestions found
Inverse Trigonometric Functions: Definition, Formulas, Domain and Range
allen.in
Inverse Trigonometric Functions: Definition, Formulas, Domain and Range
allen.in
Inverse tan domain and range - Math, Class 11 Video Lecture
edurev.in
hey guys!!!the domain of f(x) = 1 / (x^3 - x) is options :(i) R - ( -1 ...
brainly.in
Inverse Trigonometric Function Notes for Class 12 and IIT JEE
esaral.com
Mode, Mean, Range and Median Poster Pack
twinkl.co.in
How to calculate the Mean, Mode, Median and Range in Maths
twinkl.co.in
What is Set Mathematics? - Answered - Twinkl Teaching Wiki
twinkl.co.in
formula for range in projectile motion - Brainly.in
brainly.in
What is the angle of projection for a projectile motion whose range is ...
brainly.in
How to calculate the Mean, Mode, Median and Range in Maths
twinkl.co.in
[Expert Verified] what is the domain function of x/x2-3x+2 - Brainly.in
brainly.in
Range: How Do You Find the Range in Maths? - Statistics Wiki
twinkl.co.in
Fillable Online bauerle math ucsc 1 Find and sketch the domain of f ( x ...
pdffiller.com
Media, mediana, moda y rango | Definiciones | Twinkl USA
twinkl.co.in
How to Interpret a Correlation Coefficient r - India Dictionary
1investing.in
Find the angle of projection for a projectile motion whose range r is n ...
brainly.in
Mathematische Diagrammsymbole - Edraw
edrawsoft.com
Buy 5 Math Formula Sheets PDF Instant Download Printable Letter Online ...
etsy.com
50+ rational expressions equations and functions worksheets on Quizizz ...
quizizz.com
Fundamentals and Branches of Mathematics [1 min read]
fairgaze.com
TM vs R Symbol - Understanding the Key Differences
trademarkia.in
Pi Symbol SVG Pi Math Symbol SVG Greek Letter Pi Pi Symbol - Etsy India
etsy.com
Classes - bg3.wiki
bg3.wiki
Explain the significant of the Curl and state what exactly is the ...
brainly.in
What Is a Domain Name? Domains Explained for Beginners
hostinger.in
Classes - bg3.wiki
bg3.wiki
Buy Domain Decomposition Methods in Optimal Control of Partial ...
amazon.in
A projectile has the same range R when the maximum height attained by ...
brainly.in
Maths Symbols Cards
twinkl.co.in
Buy 12 Pieces Educational Math Symbols Bulletin Board Strips Set Math ...
desertcart.in
Maths Operations Symbols Flashcards
twinkl.co.in
Danger All Around Genshin Impact: How To Solve Domain Symbol Puzzles
gurugamer.com
What are the Meanings of All Math Symbols? - Twinkl
twinkl.co.in
Danger All Around Genshin Impact: How To Solve Domain Symbol Puzzles
gurugamer.com
Danger All Around Genshin Impact: How To Solve Domain Symbol Puzzles
gurugamer.com
Buy Hand Drawn Mathematics Clip Art/math Elements and Symbols/back ...
etsy.com
which plateau lies between the aravali and the vindyan Ranges - Brainly.in
brainly.in
explain the major domains of earth along with the diagram - Brainly.in
brainly.in
GenMath Grade 11 Functions Flashcards | Quizlet
quizlet.com
Mathematical-symbols-479 - Creta Class
cretaclass.com
Acute angles Images - Free Download on Freepik
freepik.com
THE ANGLE OF PROJECTION OF A PROJECTILE WHICH IS PROJECTED WITH CERTAIN ...
brainly.in
BMW G 310 R Review: A Refined and Engaging Mid-Range Sports Bike ...
cartoq.com
A projectile has the same range R when the maximum height attained by ...
brainly.in
Buy 15 Pieces Educational Math s Set, 14×11 Inch Large Math Symbol s ...
desertcart.in
What are the 7 Areas of Learning? | EYFS Wiki | Twinkl
twinkl.co.in
Practice Set 1.21. Complete the following table to draw graph of the ...
brainly.in
Pasimy 15 Pcs Math Posters For Classroom Large Math Symbol | Desertcart ...
desertcart.in
Find the area of a rhombus if its vertices are (3, 0), (4, 5), (-1, 4 ...
brainly.in
Entity-Relationship (ER) Diagram Symbols and Notations | EdrawMax
edrawsoft.com
Goyal ICSE Foundation Math for Class 8 - Latest for 2025-26 Session ...
thebookmasters.in
A projectile can have the same range R for two angles of projection. It ...
edurev.in
What is the length of the side between point (5,6) and (12,10 ...
brainly.in
A projectile can have same range R for two angles of projection. If t1 ...
brainly.in
Cheap Domain Name Registration India, Cheap Web Hosting India, Website ...
the-online.com
On an outline map of India locate and label the following: Mountain ...
brainly.in
A projectile is fired with initial velocity 20 m/s at some angle has a ...
brainly.in
Photos Land Rover Range Rover Evoque 2024 - 1/1 - Guide Auto
guideautoweb.com
Find the range of the data 10,13,8,25,17,4,19,20 - Brainly.in
brainly.in
Explore o Range Rover Sport 2025 | Range Rover
rangerover.com
Mount Kailash
peakvisor.com
Buy 10 Sets Math s for Classroom, Educational Math s Laminated Math ...
desertcart.in
1/5 x square + 1 by 3 y square ka whole square - Brainly.in
brainly.in
In the Fig.8.12, ∠R is the right angle of ΔPQR. Write the following ...
brainly.in
Buy Math Symbol Tree Watercolor Print Math Teacher Gift Math Art Gift ...
desertcart.in
Buy 12 Pieces Math Symbol s for Classroom,Laminted Math Keywords Math ...
desertcart.in
Early Rising Readers Spanish Classroom Domain Set: Math/¡Vamos a leer ...
amazon.in
Grundriss-Symbole und Bedeutungen | EdrawMax Online
edrawsoft.com
15.If one root of the quadratic polynomial 2x²− 3x + p is 3, find the ...
brainly.in
the relation between range R and time of flight T is given by R. theR ...
brainly.in
[tex]2x = 5y + 4 \\ 3x - 2y + 16 = 0[/tex]by elimination method ...
brainly.in
Find the solution of 2x-3=9 - Brainly.in
brainly.in
Derive the formula for the range andmaximum height achieved by a ...
brainly.in
political map of india with mountain ranges,plateau,coastal plains ...
brainly.in
167D Series Switching Valves - FISHER REGULATORS - PDF Catalogs ...
pdf.directindustry.com
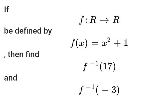
If the function f:rr be defined by f(x) = x2 +1, then find f1(17 ...
brainly.in
Range Rover Velar 2025 | Electrified Performance | Range Rover
rangerover.com
Guest Lectures : Library and Information Center
dbit.co.in
Practice Set 1.21. Complete the following table to draw graph of the ...
brainly.in
Derive expression for horizontal range of projectile - Brainly.in
brainly.in
solve the following questions :1. Find the square root of 6432 . 04 by ...
brainly.in
4) Find the sum of series 2²+ 5² + 8² + ... upto 15 terms. ap or gp to ...
brainly.in
Grundriss-Symbole und Bedeutungen | EdrawMax Online
edrawsoft.com
It is given that the equations x^2-y^2=0 and (x- a)^2+y^2=1 have single ...
brainly.in
solve this problem.... - Brainly.in
brainly.in
plz solve this equation - Brainly.in
brainly.in
lim x approach to a{ (x+2) ^5/3 - (a + 2)^5/3 }/x-a - Brainly.in
brainly.in
Trigonometric Functions - NCERT Book of Class 11 Mathematics
betrained.in
Buy Numerical Ranges of Hilbert Space Operators: 179 (Encyclopedia of ...
amazon.in
Part a open the blank map file, and look at the maps of brazil, egypt ...
brainly.in
Find zeroes of the polynomial 16x²-96x =0 - Brainly.in
brainly.in
Indian institute of Technical Education
iite.in
Used Land Rover Range Rover Velar R-Dynamic HSE with Sunroof For Sale ...
capitalone.com
draw a flowchart to accept a number from the user and display it ...
brainly.in
if x²=4 then the sum of the roots is (please answer it faster) - Brainly.in
brainly.in
New Range Rover Velar launched in India, priced at Rs 93 lakh - Overdrive
overdrive.in
Used 2019 Land Rover Range Rover Velar R-Dynamic SE SUV For Sale in St ...
capitalone.com
A particle is projected under gravity with velocity √2 a g from a point ...
tardigrade.in
Human Growth and Development ~ Nursing Path
nursingpath.in
Expand... (x+2y+4z)^2 - Brainly.in
brainly.in
Welcome to Auto Best Emperio
autobest.co.in
Buy 1Set 3D Head Cover Hood Front Letters Emblem Sports Line Badge ...
desertcart.in
PALLIATIVE CARE | IAS GYAN
iasgyan.in
2x-3/4÷3x+4/5=1/5....SOLVE THE FOLLOWING EQUATION AND VERIFY YOUR ...
brainly.in
Early Years (EYFS) Planning Resources - Twinkl
twinkl.co.in
Select the correct answer. This table represents a quadratic function ...
brainly.in
112 km to mph discount
ladepeche24.com
Locate and label ANY THREE of the following with appropriate symbols on ...
brainly.in
Magnetic Dipole : Magnetic Dipole Moment and Properties|Chemistry Page
chemistrypage.in
Used 2017 Blue Land Rover Range Rover Evoque SUV For Sale in Tampa, FL ...
capitalone.com
find the missing frequencies in the following frequency distribution ...
brainly.in
Land Rover Range Rover Evoque 2021-R-Dynamic SE Petrol Exterior Car ...
overdrive.in
the quadratic equation with one root as the square root of -47+8√-3 ...
brainly.in
S. Find the quadratic polynomial whose zeroes are root 3 +root 5 and ...
brainly.in
9y + 3 - 4x - 2y - 3x - 5 - Brainly.in
brainly.in
find 4 x to the power 2 Y to the power 2 + 1 by 4 x to the power 2 Y to ...
brainly.in
write the family of quadratic polynomial having -1/4 and 1 as its ...
brainly.in
Cos'è un diagramma di tubazioni e strumentazione (P&ID)
edrawsoft.com
Related Searches
A Symbol in Math
I Symbol in Math
R Math Symbol
4 Math Symbols
Basic Math Signs
Vector Symbol Math
Higher Math Symbols
Range Symbol
Math Symbols and Their Names
Mathematical Math Symbols
Math Symbols Chart
Cool Math Symbols
Math Symbols Algebra
Math Symbols and Meanings Chart
3 Lines Math Symbol
Math Symbol Icon
College Algebra Symbols Math
Algebra 2 Symbols
Math Symbols in French
Free Math Symbols
Domain Symbol
ℝ Symbol Math
Math Unit Symbols
All Math Symbols
Calculus E Symbol
Epsilon Math Symbol
Math Symbols English
Element Symbol Math
Math Symbols List
Math Symbols 3rd Grade
Advanced Mathematical Symbols
Printable Math Symbols
Math Symbols SVG
Math Symbol That Looks Like an E
Math Logic Symbols
Math Symbols Clip Art
English Grammar Symbols
Math Set Theory Symbols
Math Set Notation Symbols
Cartoon Math Symbols
Math Symbols Easy to Draw
Domain Expansion Symbols
Includes Domain Symbol
Math Symbols PNG
Math Clip Art Clip
All Real Numbers Symbol
Imaginary Domain Symbol
Maths Symbols Decoration
Angle Symbol PNG
T-chart Math
Search
×
Search
Loading...
No suggestions found