Find Your Style
Women
Men
Accessories
Search for clothing, brands, styles...
×
Women
Men
Accessories
Drought Condition In Field
Search
Loading...
No suggestions found
UNCCD COP14: Droughts most disastrous for agriculture
downtoearth.org.in
Drought-stricken Maharashtra farmers are ploughing their fields ...
scroll.in
Drought and Sudden Rain Lead to Catastrophic Losses Among Paddy Farmers ...
thewire.in
திருத்துறைப்பூண்டி அருகே தண்ணீரின்றி கருகிய நெற்பயிர்களை டிராக்டரில் ...
hindutamil.in
Why there is severe drought in Northern Ghana and a ban on grain export
ghanaweb.com
Experimental Drought Monitor For India – SANDRP
sandrp.in
In Photos: Tracking Gujarat's Worst Drought in Over Thirty Years
thewire.in
Drought-Induced Changes in Plant Morphology | Encyclopedia MDPI
encyclopedia.pub
Close to 4,000 Madhya Pradesh Villages Stare at Acute Drought | NewsClick
newsclick.in
Return of El Nino: Extreme Weather Warnings Issued Worldwide | NewsClick
newsclick.in
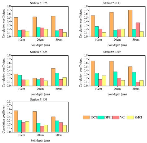
Improved Agricultural Drought Monitoring with an Integrated Drought ...
mdpi.com
Improved Agricultural Drought Monitoring with an Integrated Drought ...
mdpi.com
Improved Agricultural Drought Monitoring with an Integrated Drought ...
mdpi.com
Not Just Chennai, India's Drought Situation Is Far Worse Than We Realise
thewire.in
Drought-stricken Maharashtra farmers are ploughing their fields ...
scroll.in
Improved Agricultural Drought Monitoring with an Integrated Drought ...
mdpi.com
Adaptive Traits to Improve Durum Wheat Yield in Drought and Crown Rot ...
mdpi.com
The Story of India's Drought In Photographs: From Dry Fields, to ...
thecitizen.in
Telangana Farmers Suffer Crop Damage Due to Unseasonal Rains | Weather.com
weather.com
266 districts in 11 different states are drought affected in 2015-16 ...
zeebiz.com
Improved Agricultural Drought Monitoring with an Integrated Drought ...
mdpi.com
Drought Stress Impacts on Plants and Different Approaches to Alleviate ...
mdpi.com
Stress Combination and their Interactions in Plants (SCIP) Database
db.nipgr.ac.in
Project Details
dms.sig.ac.in
Improved Agricultural Drought Monitoring with an Integrated Drought ...
mdpi.com
Farm distress: 42% of India is now reeling under drought but government ...
scroll.in
Hydrological Drought Assessment Based on the Standardized Streamflow ...
mdpi.com
सूखा: सूखे के प्रकार, कारण और परिणाम (Drought: Types, Causes ...
hindiarise.com
Improved Agricultural Drought Monitoring with an Integrated Drought ...
mdpi.com
Improved Agricultural Drought Monitoring with an Integrated Drought ...
mdpi.com
After deficit monsoon and drought, Maharashtra is staring at its worst ...
scroll.in
FLASH DROUGHT - UPSC Current Affairs - IAS GYAN
iasgyan.in
Improved Agricultural Drought Monitoring with an Integrated Drought ...
mdpi.com
Drought Conditions Briefing
weather.gov
Effect of Drought Stress on Chlorophyll Fluorescence Parameters ...
mdpi.com
Physiological Responses to Drought, Salinity, and Heat Stress in Plants ...
mdpi.com
Impacts of Drought Large Information Poster (teacher made)
twinkl.co.in
Improved Agricultural Drought Monitoring with an Integrated Drought ...
mdpi.com
The devastating drought - India Today
indiatoday.in
Drought Stress Impacts on Plants and Different Approaches to Alleviate ...
mdpi.com
Drought in Karnataka: A Human-made Disaster | NewsClick
newsclick.in
Drought Stress Impacts on Plants and Different Approaches to Alleviate ...
mdpi.com
Improved Agricultural Drought Monitoring with an Integrated Drought ...
mdpi.com
Farm distress: 42% of India is now reeling under drought but government ...
scroll.in
After drought, pest attacks: Odisha’s paddy-centric farming is in crisis
scroll.in
Exploring the Potential Use of Sentinel-1 and 2 Satellite Imagery for ...
mdpi.com
After drought, pest attacks: Odisha’s paddy-centric farming is in crisis
scroll.in
Farmers suffer as states yet to declare drought
downtoearth.org.in
Select the correct location on the image. This map shows the intensity ...
brainly.in
Agriculture and Soil
isro.gov.in
Improved Agricultural Drought Monitoring with an Integrated Drought ...
mdpi.com
Drought Conditions: Mild drought conditions likely across state in ...
timesofindia.indiatimes.com
Exploring the Potential Use of Sentinel-1 and 2 Satellite Imagery for ...
mdpi.com
Responses of the Remote Sensing Drought Index with Soil Information to ...
mdpi.com
Saving agriculture from weather woes
livemint.com
Draw a Bar Graph of Percentage of drought affected States in India in ...
brainly.in
Evapotranspiration under Drought Conditions: The Case Study of a ...
mdpi.com
Improved Agricultural Drought Monitoring with an Integrated Drought ...
mdpi.com
What is Drought? Causes, Impact and Solutions
adda247.com
A Global Grassland Drought Index (GDI) Product: Algorithm and Validation
mdpi.com
Fall 2017 Drought Social Media
weather.gov
The Impact of Drought Stress on Soil Microbial Community, Enzyme ...
mdpi.com
Drought Conditions in China Risk Wheat Crops, UK Also to See Crop ...
eng.ruralvoice.in
Physiological Responses to Drought, Salinity, and Heat Stress in Plants ...
mdpi.com
Delineation of Physiological, Agronomic and Genetic Responses of ...
mdpi.com
Karnataka: Profile of 2015-16 Drought – SANDRP
sandrp.in
Agriculture and Soil
isro.gov.in
Groundwater Resources Assessment for Sustainable Development in South Sudan
mdpi.com
India Drought Atlas
indiadroughtatlas.in
March 30, 2013 – SANDRP
sandrp.in
Creating Climate-Resilient Crops by Increasing Drought, Heat, and Salt ...
mdpi.com
Effect of Natural Liquid Hydroabsorbents on Ammonia Emission from ...
mdpi.com
Delineation of Physiological, Agronomic and Genetic Responses of ...
mdpi.com
Drought Conditions Briefing
weather.gov
Pictures show grounded gondolas and miserable tourists in Venice as ...
businessinsider.in
Responses of the Remote Sensing Drought Index with Soil Information to ...
mdpi.com
Aerosols increases Drought Severity
opinionexpress.in
Kerala faces worst drought in a century; crop loss of 225 crore ...
skymetweather.com
DROUGHT | IAS GYAN
iasgyan.in
Potential of Purple Non-Sulfur Bacteria in Sustainably Enhancing the ...
mdpi.com
Anant Ambani's Vantara offers assistance to Namibia's wildlife amid ...
aninews.in
UP: कई जिलों में सूखे जैसे हालात, निपटने के लिए योगी सरकार 62 जिलों में ...
ndtv.in
After Floods That Killed Thousands, 235 Districts At The Risk Of Facing ...
indiatimes.com
Water Shortage: Thrissur facing drought conditions | Kochi News - Times ...
timesofindia.indiatimes.com
ENHANCE
people.iitism.ac.in
Drought field | Premium AI-generated image
freepik.com
Magnetic Boundary Conditions - with Example Solved Problems
eee.poriyaan.in
Italian drought conditions worsen; rivers and reservoirs dry out ...
economictimes.indiatimes.com
Chennai Is Getting Less Than Half Of Its Water Demand As TN Hit By ...
indiatimes.com
Bihar Likely to Declare Some Districts ‘Drought-hit’ | NewsClick
newsclick.in
Evaluation of seven different wheat cultivars for their resistance to ...
jabonline.in
Evaluation of the Effect of Wind Velocity and Soil Moisture Condition ...
mdpi.com
IITM: Current Research Highlights
tropmet.res.in
Assessment of Drought in Kachchh using Spectral Indices | CEPT - Portfolio
portfolio.cept.ac.in
Vagaries of the Weather
vagaries.in
State govt declares 195 taluks drought-affected: Full list here
english.varthabharati.in
DRP New Bulletin 18 February 2019: Salutes to the Mithi River Clean up ...
sandrp.in
Khalsa Aid Comes To The Rescue Of People In Drought-Hit Maharashtra ...
indiatimes.com
Chennai Is Getting Less Than Half Of Its Water Demand As TN Hit By ...
indiatimes.com
Long Question Answers: Natural Hazards and Disasters - Geography Class ...
edurev.in
Look what the drought turned up: Lost cities, ancient treasures and ...
foxweather.com
Unseasonal rain activities may occur once again over Central and East ...
skymetweather.com
Kolar Gold Mines: India's Forgotten Treasure Trove
jaincollege.ac.in
Assessment of Drought in Kachchh using Spectral Indices | CEPT - Portfolio
portfolio.cept.ac.in
Wildfires grow in Florida amid intensifying drought | Fox Weather
foxweather.com
Severe drought in Namibia
varthabharati.in
Mitigation of drought stress in wheat (Triticum aestivum L.) by ...
jabonline.in
Differential metabolic responses associated with drought tolerance in ...
jabonline.in
Assessment of Drought in Kachchh using Spectral Indices | CEPT - Portfolio
portfolio.cept.ac.in
Forecast
wdbj7.com
महाराष्ट्रात आहे पावसाचा मोठा खंड अशाप्रकारे करा पाण्याच्या ताणाचे ...
ahmednagarlive24.com
Understanding Gravitation: Concepts, Principles and Application
allen.in
HOME [www.ksmscl.in]
ksmscl.in
Maharashtra's Drought Claims Its Second Child In Two Days, This Time By ...
indiatimes.com
Odisha: Depleting Ground Water Level, Drought-Like Situation Leave ...
thewire.in
Fighting Flood and Drought, Millions in Bihar Lose Livelihoods - The Wire
thewire.in
Magnetic Dipole : Magnetic Dipole Moment and Properties|Chemistry Page
chemistrypage.in
Multi-index approach for assessing drought vulnerability | CEPT - Portfolio
portfolio.cept.ac.in
DTE Coverage: Environment in elections
downtoearth.org.in
Buy PGPR from wheat under drought conditions Book Online at Low Prices ...
amazon.in
Related Searches
Drought Corn Field
Drought Wheatfield
Drought Rice Field
Farm Drought
Summer Drought
Drought Ground Condition
Rice Fieled Drought
Texas Drought
Drought Farmland
Dry Farmer Field
Drought Farming
Drought Paddy Field
Drought On a Fram
Yew in Drought
Ddrought Fields
Drought Monitor
Drought Period
Types of Drought
Drought Crops Field Yara
Drought Corn Field Green
Drought Conditions
Agricultural Drought
4 Types of Drought
Worst Drought in Texas
Hill Side Drought
Drought Resistant Crops
Drought Bean Field
India Drought
Drought Corn Field with Poor Irrigation
California Drought
Harsh Summer Drought
Rice Field with Drought Stress
Cabbage Growing in Drought
Corn Field Bad
Cabbage Grown in Drought Condition
Summer Drought Melyria
Natural Disasters Drought
Corn Harvest Drought
Droughts Cron Fields
Drought Example
Drought Corn Field Poor Stand
Drought Land with a Plant
Drought Tolerant Field Corn in Carrollton Georgia
Climate Change Drought
Drought Agriculture
Drought Corn Grad
Wheat Lose Drought Stress Senescence Field
Dry Crop Field Dirt Path Background
Burnt Cabbage On the Field
Drought and Desertification
Search
×
Search
Loading...
No suggestions found