Find Your Style
Women
Men
Accessories
Search for clothing, brands, styles...
×
Women
Men
Accessories
Dxdy Integrals
Search
Loading...
No suggestions found
Karthik Sarma — INR 26,700 Cr (SRS Investment Management) - Hurun India ...
economictimes.indiatimes.com
Anand Kamalnayan Pandit — INR 8,660 Cr (Sri Lotus Developers & Realty ...
economictimes.indiatimes.com
Bitcoin price today, BTC to INR live price, marketcap and chart | Suncrypto
suncrypto.in
Facts about Indian businessman who is buying Lavasa city for INR 1814 ...
timesofindia.indiatimes.com
Anand Kamalnayan Pandit — INR 8,660 Cr (Sri Lotus Developers & Realty ...
economictimes.indiatimes.com
6. a) compute the double integral (x+2y) dx dy, where d is the region d ...
scoop.eduncle.com
Multiple integrals - 1. Evaluate R xydxdy, where R is the domain ...
studocu.com
6. a) compute the double integral (x+2y) dx dy, where d is the region d ...
scoop.eduncle.com
Xy dx dy over the positive quadrant of the circlex + y2 = 1. evaluate j ...
scoop.eduncle.com
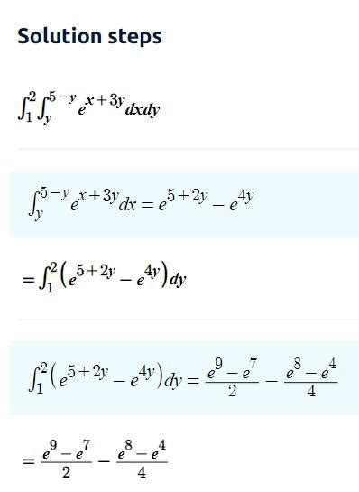
3. Evaluate the Double Integral 25-y S S ex+³y dxdy 1 y - Brainly.in
brainly.in
3. Evaluate the Double Integral 25-y S S ex+³y dxdy 1 y - Brainly.in
brainly.in
3. Evaluate the Double Integral 25-y S S ex+³y dxdy 1 y - Brainly.in
brainly.in
evaluate the double integrals of xy dx dy over the positive quadrant of ...
brainly.in
Definite and Indefinite Integrals: Calculating Areas and Finding ...
apurvainstitute.in
Example: evaluate the double integral e\"\" dx dy, when e is the domain ...
scoop.eduncle.com
Heterogeneous and Monolithic 3D Integration Technology for Mixed-Signal ICs
mdpi.com
[Solved] evaluate the double integrals of xy dx dy over the positive ...
brainly.in
Evaluate double integral y ^ 2 * dxdy over the area outside the circle ...
brainly.in
50+ derivatives of integral functions worksheets on Quizizz | Free ...
quizizz.com
Heterogeneous and Monolithic 3D Integration Technology for Mixed-Signal ICs
mdpi.com
UG Math
home.iitk.ac.in
Improper Integrals - Theorem, Worked Examples, Exercise with Answers ...
mech.poriyaan.in
Heterogeneous and Monolithic 3D Integration Technology for Mixed-Signal ICs
mdpi.com
All Integration Formulas PDF and Sheet for Class 12 Students
adda247.com
All Integration Formulas PDF & Sheet for Class 12 Students
adda247.com
Image not loaded
math.animations.fossee.in
Calculus-15 - MULTIPLE INTEGRALS are thoroughly explained through ...
studocu.com
Heterogeneous and Monolithic 3D Integration Technology for Mixed-Signal ICs
mdpi.com
Triple integration - Lectures notes - 2 2 ####### b Calculate take ...
studocu.com
Heterogeneous and Monolithic 3D Integration Technology for Mixed-Signal ICs
mdpi.com
50+ integrals worksheets for 12th Class on Quizizz | Free & Printable
wayground.com
(cos x siny-3y) dx + sin x cosy dy ,where c is the circd. (m.d.u. 20151 ...
scoop.eduncle.com
Properties of Triple Integrals - BSC Mathematics - Studocu
studocu.com
solveintegrate 1/((1 + x) * sqrt(3 + 2x - x ^ 2)) dx - Brainly.in
brainly.in
Heterogeneous and Monolithic 3D Integration Technology for Mixed-Signal ICs
mdpi.com
3. Evaluate the Double Integral 25-y S S ex+³y dxdy 1 y - Brainly.in
brainly.in
Heterogeneous and Monolithic 3D Integration Technology for Mixed-Signal ICs
mdpi.com
50+ integrals worksheets for 12th Class on Quizizz | Free & Printable
wayground.com
Integration Formula for Class 12th, Concepts and Examples
careerpower.in
Heterogeneous and Monolithic 3D Integration Technology for Mixed-Signal ICs
mdpi.com
Evaluate double integral y ^ 2 * dxdy over the area outside the circle ...
brainly.in
Evaluate double integral y ^ 2 * dxdy over the area outside the circle ...
brainly.in
Integration of Tan x - Explanation, Formula, Proof, Examples
adda247.com
An Attempt to Understand the Different Levels of Harden’s Ladder
jmsh.ac.in
ITGR to INR: Convert Integral (ITGR) to Indian Rupee (INR) | Coinbase ...
coinbase.com
find dy/dx if x^2+2xy+y^2=0 - Brainly.in
brainly.in
50+ integrals worksheets on Quizizz | Free & Printable
wayground.com
What is data integration architecture? | Blog | Fivetran - EU-Vietnam ...
1985.co.in
50+ derivatives of integral functions worksheets for 11th Class on ...
wayground.com
50+ integrals worksheets on Quizizz | Free & Printable
wayground.com
Multiple Integrals Assignment - SRM Institute of Science and Technology ...
studocu.com
50+ integrals worksheets for 11th Class on Quizizz | Free & Printable
wayground.com
Double Integrals Over General Regions Video Lecture - Calculus ...
edurev.in
Evaluation of real integrals using residues-V Video Lecture ...
edurev.in
change the order of Integration and evaluate 0toa and 0 to root a ...
brainly.in
Mind Maps For Indefinite Integration - Class 12, JEE (Main + Advanced)
esaral.com
Uses and SideEffects of Warfarin: What You Need to Know
medicoverhospitals.in
50+ derivatives of integral functions worksheets on Quizizz | Free ...
quizizz.com
50+ integrals worksheets for 12th Class on Quizizz | Free & Printable
wayground.com
Maxhub Share User Guides v1 - MAXHUB Share User Manual TABLE OF ...
studocu.com
Properties of Definite Integrals & Formula - Maths - Aakash | AESL
aakash.ac.in
Using the transformation x+y = u, y = u, y = uv, show that xy(1-x-y ...
brainly.in
50+ integrals worksheets for 12th Class on Quizizz | Free & Printable
wayground.com
Engineering Mathematics Short Notes | Calulus – Functions of Single ...
way2safety.blogspot.com
International Trade Settlement in Indian Rupee (INR)
taxguru.in
Bharati Bhawan Publishers & Distributors
bharatibhawan.in
Chapter 7 class 12 integration formula sheet by teachoo - Chapter 7 ...
studocu.com
Continuous Integration fundamentals
aboullaite.me
Applied Materials New Hybrid Bonding and TSV Technologies Advance ...
eetasia.com
What is the Scope of Enterprise Search Today? | T/DG Blog - Digital ...
blog.thedigitalgroup.com
Integration of e^x^2 ( e to the power x square) - Brainly.in
brainly.in
On the Direct Numerical Calculation of Elliptic Functions and Integrals ...
amazon.in
U=x2 y3+2xy+36xy2 verify that d2u÷dxdy=d2u÷dydx - Brainly.in
brainly.in
Discover Anime Customized Sneakers for Every Anime Lover | Moreiarty
moreiarty.in
prove that integration of xcosx / (1+cosx) to the limit 0 to 2pi = 2pi2 ...
brainly.in
50+ integrals worksheets for 12th Class on Quizizz | Free & Printable
wayground.com
Integration of Cos X upon sin 3x - Brainly.in
brainly.in
Mathmatics-1-23 - Mathmatics-1-23 - 206 Integrals Thorough ...
studocu.com
integration cos theta(tan theta+sec theta)d theta - Brainly.in
brainly.in
Evaluate ff (5 - 2x - y) dxdy where r is given by , x + 2y = 3, x = y ...
brainly.in
Tutorial 9 Improper Integrals - Tutorial Sheet 9 Improper Integral ...
studocu.com
Van Der Waals Layer Transfer Of 2D Materials For Monolithic, 44% OFF
elevate.in
Indefinite Integral Formulas - LearningScience
learningscience.co.in
Buy Complex Nonlinearity: Chaos, Phase Transitions, Topology Change and ...
amazon.in
Evaluate ff (5 - 2x - y) dxdy where r is given by , x + 2y = 3, x = y ...
brainly.in
Indian Financial System, 5e by H R Machiraju
vikaspublishing.com
What is "1 PLC" of integration time in the measurement speed setting ...
hioki.com
India and Malaysia can now trade in Indian rupee
currentaffairs.adda247.com
NCERT Solutions for Class 12 Maths Chapter 7 Exercise 7.11
oswalpublishers.com
Discover Anime Customized Sneakers for Every Anime Lover | Moreiarty
moreiarty.in
Warf 3 MG Tablet (30): Uses, Side Effects, Price & Dosage | PharmEasy
pharmeasy.in
Buy Improper Riemann Integrals Book Online at Low Prices in India ...
amazon.in
FKP to INR: Convert Falkland Pound (FKP) to Indian Rupee (INR ...
coinbase.com
Sell USDT for IDR | USDT to IDR Calculator
binance.com
FKP to INR: Convert Falkland Pound (FKP) to Indian Rupee (INR ...
coinbase.com
Warf 3 MG Tablet (30): Uses, Side Effects, Price & Dosage | PharmEasy
pharmeasy.in
Hurun India 2025: 10 billionaire Indians who entered the rich list this ...
economictimes.indiatimes.com
Buy Homogenization of Multiple Integrals: 12 (Oxford Lecture Series in ...
amazon.in
what is the integration of cos square x - Brainly.in
brainly.in
what is integral of xn - Brainly.in
brainly.in
Buy Elementary Functions (Vol 1) (Integrals and Series) Book Online at ...
amazon.in
Discover Anime Customized Sneakers for Every Anime Lover | Moreiarty
moreiarty.in
Warf 3 MG Tablet (30): Uses, Side Effects, Price & Dosage | PharmEasy
pharmeasy.in
Gold Necklace Set for Women | Buy Gold Necklace Set Online India ...
manubhai.in
Prototype Integration Facility celebrates 20 years of serving the ...
army.mil
Buy Gold Pendant Set with Earrings Online India | Latest Gold Pendant ...
manubhai.in
Aiwo Breath Easy – Aiwo Limited
aiwo.com
GeNX
integrals.in
Indian Rupee against US Dollar since 1947 - Insights
news.faltupana.in
RD Sharma Solutions Class 12 Maths Chapter 19 Indefinite Integrals - RD ...
rdsharmasolutions.com
Warf-5 Tablet: Uses, Side-effects, Price, Dosage & More Info - PharmEasy
pharmeasy.in
Chainlink Price, LINK Price, Live Charts, and Marketcap: chainlink ...
coinbase.com
Buy Diamond Necklace Online | Diamond Set Online Manubhai Jewellers
manubhai.in
Buy Gold Set Online | Gold Set by Manubhai.
manubhai.in
Discover Anime Customized Sneakers for Every Anime Lover | Moreiarty
moreiarty.in
Numerical Approaches to Fractional Integrals and Derivatives: A Review
mdpi.com
Integral University Online B.C.A. Programme
iulonline.in
Integration - 3 The Indefinite Integral and its Economic Applications 7 ...
studocu.com
FAQ
keydroid.in
India shining: Rupee inches closer to becoming international currency ...
timesnownews.com
Related Searches
Double Integral
Sinh Integral
Doble Integral
Single Integral Dxdy
Double Integral Examples
Integral with X and Y
Integral Xy
Double Integration Examples
Dy/Dx
XEX Integral
Double Integral Dxdy Strip
Double Integral R
Double Integral Dxdy Over a Sphare
Double Integral Dxdy for a Circle
Double Integral of Cosine
Double Integral with X Squared Plus Y Square D Dxdy
Transformation of Double Integral
Dy/Dx Y X Graph
Double Integral X and Y
Multiple Integral
Polar Coordinates Integral
Double Integrals in Polar Coordinates
Integral Dx Over
Search
×
Search
Loading...
No suggestions found