Find Your Style
Women
Men
Accessories
Search for clothing, brands, styles...
×
Women
Men
Accessories
Eap Program Algorithm
Search
Loading...
No suggestions found
Deploying JBoss EAP with RHEL and Azure | Red Hat Developer
developers.redhat.com
Buy Neonatal Resuscitation Program Reference Chart Book Online at Low ...
amazon.in
A Hybrid Sparrow Search Algorithm of the Hyperparameter Optimization in ...
mdpi.com
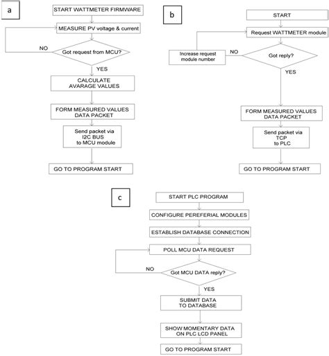
Investigation of the Automatic Monitoring System of a Solar Power Plant ...
mdpi.com
Discover Enrollment Assistance Program (EAP) Events | Tickets & Details ...
allevents.in
Study Glance | Programming for Problem Solving Lab Manual(Programs)
studyglance.in
Best Fit DNA-Based Cryptographic Keys: The Genetic Algorithm Approach
mdpi.com
UDP Algorithms for Network Lab Program - Studocu
studocu.com
Program-7 page replacement algorithms - Program 7: Develop a C program ...
studocu.com
Chapter 13. Developing an application for the JBoss EAP image | Fuse on ...
docs.redhat.com
Buy NRP Pocket Card, 2016 Book Online at Low Prices in India | NRP ...
amazon.in
UNIT-I CF Planning a Computer Program: Algorithms, Flowcharts ...
studocu.com
Implementation OF Scheduling Algorithms - AIM: To write the C program ...
studocu.com
Extractive Article Summarization Using Integrated TextRank and BM25 ...
mdpi.com
Integrated DR-TB Algorithm | Knowledge Base
ntep.in
C Program for FCFS CPU Scheduling
levelupsynergy.in
Algorithms Plus Data Structures Equals Programs (Prentice-Hall series ...
amazon.in
Diagnostic Algorithm for EPTB | Knowledge Base
ntep.in
OS Lab File for CS - PROGRAM 1 Write a C program to implement FCFS CPU ...
studocu.com
Faculty Blogs
marwaricollegeranchi.ac.in
CIGNA Form 00033 - Fill Online, Printable, Fillable, Blank - pdfFiller
pdffiller.com
Even sem Experiment List - Department Computer Science & Engineering ...
studocu.com
Write algorithm and create flowchart for calculating area and perimeter ...
brainly.in
Algorithm and flowchart are two types of tools to explain the process ...
studocu.com
NCERT Solution - Algorithms and Flowcharts, Computer Science (Python ...
edurev.in
Algorithms: Time Complexity of Iterative Program
gateoverflow.in
Flowchart Algorithm
vedveethi.co.in
Input and Output - Syntax, Example | Python Programming
eee.poriyaan.in
Algorithms and Flow Chart - C Tutorial | Study Glance
studyglance.in
write an algorithm flowchart to find smallest of two numbers - Brainly.in
brainly.in
Write a program, draw a flowchart and write an algorithm to input a ...
brainly.in
[Answered] Write an algorithm and draw a flowchart to find simple ...
brainly.in
Grade 1 Robotics and Coding - Debugging an Algorithm
twinkl.co.in
Algorithm - Sum of two numbers - 4(a) ADDITION OF TWO NUMBERS Aim: To ...
studocu.com
[Expert Answer] Develop an algorithm. flowchart and program to add two ...
brainly.in
Write an algorithm and draw a flowchart to find the sum of first 50 ...
allen.in
Meet Your Therapist - Best Depression, Relationship, Anxiety ...
meetyourtherapist.in
Grade R Coding and Robotics Tangram Algorithm
twinkl.co.in
Eap Referral Form - Fill and Sign Printable Template Online
uslegalforms.com
Buy Kids get coding collection 4 books set (staying safe online, learn ...
amazon.in
write an algorithm and flowchart to find .1) sum of first n natural ...
brainly.in
Double Hashing C program - Double Hashing: C program Algorithm to ...
studocu.com
Write an algorithm and draw a flowchart to find the area of a rectangle ...
brainly.in
What is Algorithms and its Characteristics with examples | MY.NET Tutorials
msdotnet.co.in
write a algorithm and draw a flowchart to enter the time in hours and ...
brainly.in
Introduction to Algorithm and Data Structures | As per SPPU syllabus
dse.cwipedia.in
Write algorithm and Draw flowchart to find Area and circumference of ...
brainly.in
36 hours Entrepreneur Program - HICM- Investment Banking training ...
hicm.in
[Expert Answer] When an algorithm is written in the form of a ...
brainly.in
Buy PLC Program Implementation: Traffic Light Controlling Using PLC ...
desertcart.in
Importance Of Learning Data Structures And Algorithms (DSA) | nasscom ...
community.nasscom.in
Brainologi Fun With Algorithms Activity Book and Android App - Learn ...
flipkart.com
Daa UNIT5 notes - UNIT – V Deterministic and non-deterministic ...
studocu.com
Google’s 'Helpful Content' Algorithm: All you need to know - AdLift
adlift.com
algorithm and flow chart to divide one number by another and find the ...
brainly.in
Quick Sort | Ujjwalit
ujjwalit.co.in
ICT Challenge Cards Programming Turtle Logo (teacher made)
twinkl.co.in
Draw a flowchart to find the sum of three numbers. - Brainly.in
brainly.in
Linear Search in C Program & Flowchart - Sequential Search
codeamy.in
Write algorithm and flowchart to find if a number is prime or not ...
brainly.in
Algorithm Visualizer | DSA Visualizer
dsavisualizer.in
Flowchart Algorithm 2
vedveethi.co.in
Draw a flowchart to determine a student's final grade and indicate ...
brainly.in
Faculty Blogs
marwaricollegeranchi.ac.in
Write a python program that generate four terms of an AP by providing ...
brainly.in
Data Structures, Algorithms and Program Style Using C. : Korsh, J.F ...
amazon.in
Write an algorithm and draw a flowchart that reads two values ...
brainly.in
write an algorithm and draw a flowchart to input name and age of a ...
brainly.in
IT-403-ADA-LAB Manual WITH Programs - Program- 1 Iterative Binary ...
studocu.com
MS Infra
msinfrasolutions.in
Toyota Kirloskar Motor launches Toyota Technical Education Program [T ...
toyotabharat.com
Draw a flowchart to separate the odd and even numbers from the ...
brainly.in
What is Algorithms and its Characteristics with examples | MY.NET Tutorials
msdotnet.co.in
EAP615-Wall | AX1800 Wall Plate WiFi 6 Access Point | TP-Link India
tp-link.com
Key Elements of a Perfect Employee Recognition Program
hifives.in
Mahatma Phule Krishi Vidyapeeth CAAST,Rahuri
mpkv-caast.ac.in
Top Bug Bounty Websites: Check Bug Bounty Program Complete List
eicta.iitk.ac.in
UnitedHealthcare – Apps on Google Play
play.google.com
Draw a flowchart to print the Even numbers between 1 to 50. - Brainly.in
brainly.in
Fillable Online eap ucop STUDENT ADDRESS and INFORMATION FORM ...
pdffiller.com
Data Structure in C - Data Structure Tutorial
sitesbay.com
write the algorithm and draw the flowchart to check whether the given ...
brainly.in
Algorithms: Complexity of the following program segment
gateoverflow.in
Draw a flowchart to find the sum and average of 5 numbers. - Brainly.in
brainly.in
36 hours Entrepreneur Program - HICM- Investment Banking training ...
hicm.in
Even or Odd Program in C++ | C++ Program to Check Number is Even or Odd
sitesbay.com
Algorithms: Explained and Animated Mobile App - Youth Apps
youthapps.in
Draw a flowchart to take marks of 5 subjects of students and calculate ...
brainly.in
Investigation of the Automatic Monitoring System of a Solar Power Plant ...
mdpi.com
Mahatma Phule Krishi Vidyapeeth CAAST,Rahuri
mpkv-caast.ac.in
Write an algorithm and flow chart to swap two numbers without using ...
brainly.in
write an algorithm and draw a flow chart to find sum of digits of a ...
brainly.in
EAP225 | AC1350 Wireless MU-MIMO Gigabit Ceiling Mount Access Point ...
tp-link.com
Advanced Symbolic Analysis for Compilers: New Techniques and Algorithms ...
amazon.in
Faculty Blogs
marwaricollegeranchi.ac.in
Algorithm of largest of 3 numbers using ternary operator - Brainly.in
brainly.in
EAP245 | AC1750 Wireless MU-MIMO Gigabit Ceiling Mount Access Point ...
omadanetworks.com
Module 1 - Basics of Computer Architecture: processor, Memory, Input ...
studocu.com
EAP225-Outdoor | AC1200 Wireless MU-MIMO Gigabit Indoor/Outdoor Access ...
tp-link.com
Oxford EAP: Pre-Intermediate/B1: Teacher's Book, DVD and Audio CD Pack ...
flipkart.com
CFOP Algorithms - F2L Algorithms A+ U (R U R') A- y' U' (R' U R) B- y ...
studocu.com
A Hybrid Reinforcement Learning Algorithm for 2D Irregular Packing Problems
mdpi.com
Entrepreneurship Awareness Program (EAP-2023) on March 1, 2023 ...
pacific-it.ac.in
Iron Range
northernnewsnow.com
Api logo Images - Free Download on Freepik
freepik.com
Grade 3 - Algorithmic Thinking - Worksheet: Blowing Bubbles
twinkl.co.in
Algorithm and flowchart to find area and perimeter of circle - Brainly.in
brainly.in
Lagware - Generative_Algorithm_R (IC011) - Industrial Complexx
industrialcomplexx.com
Write a program in c to find the area and perimeter of a circle ...
brainly.in
Draw a flowchart for a program which asks the user to enter a password ...
brainly.in
Grade 2 Robotics and Coding Follow the Algorithm
twinkl.co.in
Top Bug Bounty Websites: Check Bug Bounty Program Complete List
eicta.iitk.ac.in
EAP235-Wall | Omada AC1200 Wireless MU-MIMO Gigabit Wall Plate Access ...
omadanetworks.com
Eap Form - Fill Online, Printable, Fillable, Blank | pdfFiller
pdffiller.com
F2L Method Explained: Why It Is Essential to Learn F2L to Solve Cube
cubelelo.com
Identify if an inputted number is prime or composite flowchart ...
brainly.in
Virtual Labs
he-coep.vlabs.ac.in
Mahatma Phule Krishi Vidyapeeth CAAST,Rahuri
mpkv-caast.ac.in
Faculty Blogs
marwaricollegeranchi.ac.in
LiDAR Based Person Detection Using YOLO Algorithm - Project Details
collegeprojectexpert.in
Related Searches
Design Algorithm and Flowchart
Prompt Pph Algorithm
Genetic Algorithm Flowchart
EAP Semi
Optimization Algorithms
DVT Algorithm Nice
Dialogue EAP
EAP Plan
EAP System Flow
EAP Generica
EAP Com Percentual
Algorithm Macabe
EAP Comparison Chart
Eclipse EAPs
Access EAP
PEAP Flow
EAP Authentication
EAPs Cleaning
Lppl Algorithm
Covid 19 Algorithm
New Optimization Algorithms Nadimi
EAP Platform Mind Way
Cisco EAP Protocol
Atls Algorithm PDF
Itls Algorithm
Itls Algorithms
ACLS Algorithms 2025
Nudification Algorithm
EAP Mes
ACLS Algorithms 2024
What Is EAP in Business
EAP Operation Diagram
Make Flowchart From Algorithm
Diagnostic Algorithm for Pulmonary Embolism
Algorithm Flowchart Examples
EAP Formula
Overall Algorithm
Ify EAP
Vesi EAP
ACLS 2025 Algorithm
EAP Offering
EAP JPEG
ACLS Algorithms PDF
EAP Programs for Employees
ACLS Bradycardia Algorithm
Algorithm of Pcv21
The Effectiveness of EAPs Is
Search
×
Search
Loading...
No suggestions found