Find Your Style
Women
Men
Accessories
Search for clothing, brands, styles...
×
Women
Men
Accessories
Easypsisa Error
Search
Loading...
No suggestions found
RBI Allows Overseas Banks to Open INR Accounts
currentaffairs.adda247.com
Best whiskey under INR 1500 for a pocket-friendly drinking experience
lifestyleasia.com
33000 euro to inr - Claim a ₹300 Bonus Today! Android IOS V- 1.79
tax.lsgkerala.gov.in
usd to inr sbi rate: Latest News & Videos, Photos about usd to inr sbi ...
economictimes.indiatimes.com
Dhruv Dhanraj Bahl, former CEO of BharatPe, launches an INR 120 crore ...
businessoutreach.in
Ola’s Cloud Migration, Awfis’ Strong Debut, Avendus Launches INR 3,000 ...
startupchai.in
India Saves INR 35,000 Crore By Buying Discounted Oil from Russia » Car ...
carblogindia.com
Easypaisa — Not working
consumercomplaints.in
easypaisa – a digital bank – Apps on Google Play
play.google.com
EasyPaisa Complaints & Reviews | Page 5
consumercomplaints.in
Easypaisa — Wrong transaction
consumercomplaints.in
easypaisa – a digital bank – Apps on Google Play
play.google.com
easypaisa | TikTok for Business Case Study
ads.tiktok.com
Easypaisa — Trx Id refund
consumercomplaints.in
Revolutionizing_Healthcare_a677307119.webp
blog.defx.in
easypaisa - Payments Made Easy – Apps on Google Play
play.google.com
Objectives_template
archive.nptel.ac.in
What is a Hostname? Importance and Functionality
sitechecker.pro
find fractional error in { R=x/(x+y) } - Brainly.in
brainly.in
Uttrakhand Excise Management System
uttrakhandexcise.org.in
Getting a validation error when entering price in varriation table
sellercentral.amazon.in
Mere error in Diagnosis not medical negligence! HC relief to ...
medicaldialogues.in
MGT-6 Form Filing Process and Key Requirements
taxguru.in
India and Malaysia can now trade in Indian rupee
currentaffairs.adda247.com
USD/INR Cracks Big: Falls 2% in 4 Days! | Investing.com India
in.investing.com
India shining: Rupee inches closer to becoming international currency ...
timesnownews.com
Indonesian Rupiah - Buy IDR Currency Online in India
makemytrip.com
Woman From Bengaluru Staged Getting Husband's Name Tattooed On Forehead
indiatimes.com
How Indian Rupee Stands Against Other Major Currencies
indiatimes.com
VR Creatives Mix Note Counting Machine Old & New INR- Rs.10, 20 ...
amazon.in
VR Creatives Mix Note Counting Machine Old & New INR- Rs.10, 20 ...
amazon.in
No error in treatment given to Jayalalithaa: AIIMS panel- The Week
theweek.in
Fed’s 75 bps Hike: Rupee Falls to Record Low, Sets Eye for ‘82 ...
in.investing.com
Explain Positive And Negative Error of Micrometer screw gauge with ...
brainly.in
JEE Mains Previous Year Questions (2021): Units and Measurements ...
edurev.in
Hurun India 2025: 10 billionaire Indians who entered the rich list this ...
economictimes.indiatimes.com
Sri Lanka and Russia in talks to use the rupee in foreign trade
currentaffairs.adda247.com
USD/INR Breaking Imp. Trendline; Is Nifty 50 Topping Out? | Investing ...
in.investing.com
Buy Diamond Necklace Online | Diamond Set Online Manubhai Jewellers
manubhai.in
RET00009 Error in GSTR-9: Reasons and Solutions
cleartax.in
VR Creatives Mix Note Counting Machine Old & New INR- Rs.10, 20 ...
amazon.in
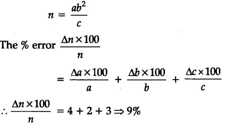
A physical quantity X is connected from X = a${{b}^{2}}$/C. Calculate ...
ask.learncbse.in
Error Identification Questions - Improve Your Grammar
talentbattle.in
Welingkar Institute of Management - NewsWire
newswire.nokomis.in
9. The range R of a projectile which starts with a velocity v at an ...
brainly.in
Hurun India 2025: 10 billionaire Indians who entered the rich list this ...
economictimes.indiatimes.com
Systematic and Random Errors - Physics for Grade 12 PDF Download
edurev.in
Madras High Courts Landmark Decision on JAO vs FAO
ascgroup.in
How To Fix Internal Hard Drive Not Detected? [2025]
stellarinfo.co.in
Get the Best Saudi Riyal to Indian Rupees Conversion Rates in India
orientexchange.in
Error Code 2150: How to Solve Duplicate IRN Error in e-Invoice?
cleartax.in
Attribute 'purchasable_offer.our_price' does not have the expected ...
sellercentral.amazon.in
If error in radius is 3% what is error in volume of sphere a) 3% b)27 c ...
brainly.in
Why the SC's Judgment in R.N. Ravi Case Restores the Autonomy of ...
thewire.in
Thyrocare Founder Partners With YEA and Magnifiq Capital Trust to ...
businessoutreach.in
Bracketing Methods:
archive.nptel.ac.in
windows xp error meme | Free Memes Download
memes.co.in
THEORYNINE TECHNOLOGIES
theorynine.in
Error 404 Not Found: What It Is and How to Fix It
hostinger.in
Hurun India 2025: 10 billionaire Indians who entered the rich list this ...
economictimes.indiatimes.com
Railway Recruitment Board Chennai :: RRB Chennai Home
rrbchennai.gov.in
mesh
physics.iisc.ac.in
The correct increasing order of basic strength of amine is:\r\n\r\n(A ...
prepp.in
Here???s how you can fix the "Sorry, You Have Been Blocked" Error in ...
getmerlin.in
Clerical Error Can't Sink Charity Application, ITAT Sides with Trust in ...
taxscan.in
Euler and Modified Euler Method - Solved Example Problems
eee.poriyaan.in
the resistance R =V/I where v= (100+-5) and I = (10+-0.2) find % error ...
brainly.in
6 signs that your PC is hit by the Microsoft outage
techlusive.in
E-XMBSXCH80100-R-N-2 | X-Axis Motorized Positioning Stages, Long stroke ...
in.misumi-ec.com
If, R = a² √b c4d and percentage error in measurement of a, b, c and d ...
brainly.in
Buy Diamond Necklace Online | Diamond Set Online Manubhai Jewellers
manubhai.in
Light Weight & Daily Wear Gold Necklace Set Designs (2025) | Buy Gold ...
manubhai.in
realme Community
c.realme.com
Gold Necklace Set for Women | Buy Gold Necklace Set Online India ...
manubhai.in
DAC (Digital to Analog Converter) using Op-amp - Performance Parameters ...
eee.poriyaan.in
International Journal of Biological Innovation
ijbi.org.in
Railway Recruitment Board Chennai :: RRB Chennai Home
rrbchennai.gov.in
Mumbai Indians: 5 players MI can release ahead of IPL 2026 auction ...
crickettimes.com
Refractive Errors Causes, Types, And Treatment Process
pw.live
Buy Absolute Anticoagulant Journal: A Comprehensive logbook for ...
desertcart.in
Select the option that identifies the error and supplies the correction ...
brainly.in
Amazon.in: R. J. Palacio: books, biography, latest update
amazon.in
Sikandar cast salary: Exploring Salman Khan and his co-star's hefty fees
lifestyleasia.com
Invest In Stock Portfolios With AI
wrightresearch.in
Latest Car & Bike News & Reviews | BBC Topgear India Magazine
topgearmag.in
TheLastApe*
thelastape.in
Sell BTC for USD | BTC to USD Calculator
binance.com
Jasvin-Antique, Jasvin Antique numismatic items, JASVIN-ANTIQUE
jasvin-antique.in
Inflation or disinflation - Where are dollar & rupee moving? - The ...
economictimes.indiatimes.com
The BrainTree | Child Development Center
thebraintree.in
Thalapathy Vijay net worth: Movie fee, properties & other luxury assets
lifestyleasia.com
Top Gold ETFs in India with the Lowest Tracking Error in August 2025
angelone.in
Tamil Nadu SIR | Even a minor error could lead to exclusion from ...
theweek.in
Objectives_template
archive.nptel.ac.in
B.K Speech Therapy | Services
bkspeechtherapy.in
0xc1010103 Error in Windows- FIXED
stellarinfo.co.in
RET00009 Error in GSTR-9: Reasons and Solutions
cleartax.in
Objectives_template
archive.nptel.ac.in
How to fix Canon error code B504 — Teletype
teletype.in
ITAT Grants Relief to NGO: Technical Filing Error Won't Block 80G Tax ...
taxscan.in
Worksheet: Error Correction - Class 6 PDF Download
edurev.in
Linear Regression in R (R Tutorial 5.1) Video Lecture - Mastering R ...
edurev.in
List Of Countries That Have Opened Special Rupee Vostro Accounts
indiatimes.com
What Is an RPD Gas Meter? - Burak
burak.in
Because, of human error, inaccuracies due to buddy punching and further ...
electricaautomations.in
Gr. R Phonics R Flashcards (teacher made) - Twinkl
twinkl.co.in
The resistance R =V/I where V=(100_+5) V & I = (10_+0.2)A. Find the ...
brainly.in
Faculty Members
anthro.du.ac.in
MSN Money
msn.com
Free Bill Format | Download and Send Invoices Easily - Wise
wise.com
Extended Period u/s 11A of CEA Cannot be Invoked without Misstatement ...
taxscan.in
Correction Of Bonafide, Inadvertent Error In GST Returns Should Be ...
verdictum.in
Gold Necklace Set with Price | Buy Gold Necklace Set Online
manubhai.in
Gold Necklace Set with Price | Buy Gold Necklace Set Online
manubhai.in
Error in Airtable Data to list view - Discussion - Android Builder ...
community.androidbuilder.in
Is your Rs 500 note real or fake? RBI suggests how to check - Real or ...
economictimes.indiatimes.com
High Court Committed Serious Error In Discarding Sale Exemplars: SC ...
verdictum.in
Guide to Sarees For Fat Women - Plus Size Saree Draping | Amydus
amydus.com
Parichay
parichay.staging.nic.in
List Of Countries That Have Opened Special Rupee Vostro Accounts
indiatimes.com
Related Searches
KYC Error On Easypaisa
Easypaisa Limit Error
Easypaisa Transaction Error
Easypaisa Limit Exceed Error
Easypaisa Error Only 1 Device Error
Easypaisa Limit Exceeded Error
Eassypaisa Eror Screenshoot
Search
×
Search
Loading...
No suggestions found