Find Your Style
Women
Men
Accessories
Search for clothing, brands, styles...
×
Women
Men
Accessories
Eax With Stack
Search
Loading...
No suggestions found
Buy Stack Onyx 5Pcs Glass Cruet Set from Home Centre at just INR 599.0
homecentre.in
Buy Stack Onyx 5Pcs Glass Cruet Set from Home Centre at just INR 599.0
homecentre.in
Buy Stack Onyx 5Pcs Glass Cruet Set from Home Centre at just INR 599.0
homecentre.in
Buy Stack Onyx 5Pcs Glass Cruet Set from Home Centre at just INR 599.0
homecentre.in
Buy OCEAN Stack Set of 6 Juice Glasses - 245ml from Ocean at just INR 442.0
homecentre.in
Buy Stack Onyx 5Pcs Glass Cruet Set from Home Centre at just INR 599.0
homecentre.in
Buy Stack Onyx 5Pcs Glass Cruet Set from Home Centre at just INR 599.0
homecentre.in
Buy OCEAN Stack Set of 6 Juice Glasses - 245ml from Ocean at just INR 442.0
homecentre.in
Buy Redscience FULL STACK™ Hulk Mass Gainer 6Lbs COMBO
pigi.in
GLINET | Full-Stack Developer | MERN Stack & Cloud Solutions | glinet.in
glinet.in
MERN Stack Developer Course with Placement Support
ccbp.in
Become a High-Demand Java Full Stack Developer in 2025 | Best Java Full ...
teluguwebguru.in
Durgesh Prasad - Full Stack Developer | Web & App Portfolio
durgeshprasad.in
(d) problems based on R.H.S = eax + sin ax(or) eax + cos ax - Solved ...
eee.poriyaan.in
Internship Opportunities in Pune | Apnasite IT Services Pvt. Ltd ...
apnaguru.in
10 Best Full Stack Development Books to Read in 2025
vtricks.in
Jeyabalaganesh S | MERN Stack Software Developer
jeyabalaganesh.in
Data Science vs Full Stack Developer: Which is Easier to Learn in 2025?
vtricks.in
Training | Java | Python | Dot Net | PHP | MERN Stack | MEAN Stack ...
tcpindia.in
Become a High-Demand Java Full Stack Developer in 2025 | Best Java Full ...
teluguwebguru.in
Socialization of Knowledge Extractivism - Agri-Stack in India
politicallymath.in
Understanding Stack in Assembly
thejat.in
(d) problems based on R.H.S = eax + sin ax(or) eax + cos ax - Solved ...
eee.poriyaan.in
If y = eax cos bx, then prove that
iqclasses.in
Buy Enterprise Switching - C9200L-STACK-KIT Cisco StackWise-80 Stacking ...
metapoint.in
Stack and Stack Pointer - 8051 Microcontroller
eee.poriyaan.in
(h) problems based on eax integral e-ax - Solved Example Problems ...
eee.poriyaan.in
(f) Problems based on R.H.S. = eax X - Solved Example Problems ...
eee.poriyaan.in
Calling Convention in X86-64
thejat.in
(d) problems based on R.H.S = eax + sin ax(or) eax + cos ax - Solved ...
eee.poriyaan.in
Understanding Stack in Assembly
thejat.in
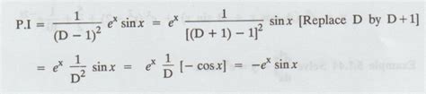
(b) Problems based on P.I.= 1/f(D) eax ⇒ Replace D by a - Solved ...
eee.poriyaan.in
(f) Problems based on R.H.S. = eax X - Solved Example Problems ...
eee.poriyaan.in
(f) Problems based on R.H.S. = eax X - Solved Example Problems ...
eee.poriyaan.in
(b) Problems based on P.I.= 1/f(D) eax ⇒ Replace D by a - Solved ...
eee.poriyaan.in
(f) Problems based on R.H.S. = eax X - Solved Example Problems ...
eee.poriyaan.in
Full Stack BI Certification Program | Excelgoodies
excelgoodies.in
(f) Problems based on R.H.S. = eax X - Solved Example Problems ...
eee.poriyaan.in
(f) Problems based on R.H.S. = eax X - Solved Example Problems ...
eee.poriyaan.in
(f) Problems based on R.H.S. = eax X - Solved Example Problems ...
eee.poriyaan.in
(f) Problems based on R.H.S. = eax X - Solved Example Problems ...
eee.poriyaan.in
(b) Problems based on P.I.= 1/f(D) eax ⇒ Replace D by a - Solved ...
eee.poriyaan.in
Understanding Stack in Assembly
thejat.in
(i) Problems based on R.H.S = eax + xn + cos ax - Solved Example ...
eee.poriyaan.in
(b) Problems based on P.I.= 1/f(D) eax ⇒ Replace D by a - Solved ...
eee.poriyaan.in
Pentagonspace - Java Fullstack | Python Fullstack | Mern Stack ...
pentagonspace.in
MERN Stack Developer Course With Placement and Certification
milestone.ac.in
(b) Problems based on P.I.= 1/f(D) eax ⇒ Replace D by a - Solved ...
eee.poriyaan.in
Aditya Shah | Aditya Nikunj Shah - Full Stack Developer | React, Next ...
theadityashah.in
(b) Problems based on P.I.= 1/f(D) eax ⇒ Replace D by a - Solved ...
eee.poriyaan.in
Snapdragon for India Auto Day 2025: Qualcomm to Develop Made-in-India ...
timesdrive.in
Top Python Full Stack Course in Hyderabad & Bangalore | 10000coders
10000coders.in
Choosing a Tech Stack: Guide for Scalable Software Projects
aimprosoft.com
(f) Problems based on R.H.S. = eax X - Solved Example Problems ...
eee.poriyaan.in
eax sinbx மற்றும் eax cosbx - எடுத்துக்காட்டு கணக்குகள் | கணக்கு ...
brainkart.in
Buy OCEAN Stack Set of 6 Glass Serving Bowls - 70ml from Ocean at just ...
homecentre.in
Pentagonspace - Java Fullstack | Python Fullstack | Mern Stack ...
pentagonspace.in
Stacked Heat Exchanger
heatexchanger.co.in
Become a High-Demand Java Full Stack Developer in 2025 | Best Java Full ...
teluguwebguru.in
Full-Stack Generative AI Platform for Developers | NVIDIA Developer
developer.nvidia.com
Top Python Full Stack Course in Hyderabad & Bangalore | 10000coders
10000coders.in
Compass Layered Chain
cariove.com
Pentagonspace - Java Fullstack | Python Fullstack | Mern Stack ...
pentagonspace.in
Best MERN Stack Institute in Hyderabad & Bangalore | 10000coders
10000coders.in
(b) Problems based on P.I.= 1/f(D) eax ⇒ Replace D by a - Solved ...
eee.poriyaan.in
(i) Problems based on R.H.S = eax + xn + cos ax - Solved Example ...
eee.poriyaan.in
(i) Problems based on R.H.S = eax + xn + cos ax - Solved Example ...
eee.poriyaan.in
Pentagonspace - Java Fullstack | Python Fullstack | Mern Stack ...
pentagonspace.in
GLINET | Full-Stack Developer | MERN Stack & Cloud Solutions | glinet.in
glinet.in
(h) problems based on eax integral e-ax - Solved Example Problems ...
eee.poriyaan.in
Zidio Learning | Java Full Stack
zidiolearning.in
Full Stack Development Course with Java in Thane | MIT
milestone.ac.in
Cloud-Native Logging and Monitoring Stack: ELK, Fluentd, and Prometheus ...
johal.in
Buy Big Joe Stack Chair, Desert Rose Plush Bean Bag Online at Lowest ...
ubuy.co.in
The Future of Full Stack Development: Trends to Watch in 2025
vtricks.in
(b) Problems based on P.I.= 1/f(D) eax ⇒ Replace D by a - Solved ...
eee.poriyaan.in
(b) Problems based on P.I.= 1/f(D) eax ⇒ Replace D by a - Solved ...
eee.poriyaan.in
Best Java Full Stack Institute in Hyderabad & Bangalore | 10000coders
10000coders.in
Aura Edge Set
cariove.com
Pentagonspace - Java Fullstack | Python Fullstack | Mern Stack ...
pentagonspace.in
Modern House Ventilation Designs: 20 Innovative Ideas for Homes
creditdharma.in
Top Python Full Stack Course in Hyderabad & Bangalore | 10000coders
10000coders.in
Arkapravo Ghosh | Full Stack Developer & DevSecOps Engineer
arkapravo.in
Pentagonspace - Java Fullstack | Python Fullstack | Mern Stack ...
pentagonspace.in
eax sinbx மற்றும் eax cosbx - எடுத்துக்காட்டு கணக்குகள் | கணக்கு ...
brainkart.in
Full Stack Developer Job | India | Mid-Level
expertia.ai
Become a High-Demand Java Full Stack Developer in 2025 | Best Java Full ...
teluguwebguru.in
Implementation of Stack - Declaration, Operations, Structure, Example C ...
eee.poriyaan.in
DSA Stack
dsastack.in
GLINET | Full-Stack Developer | MERN Stack & Cloud Solutions | glinet.in
glinet.in
Full Stack Web Development Course In Patiala – Excellence Technology
excellencetechnology.in
Amarendra Varma | Full Stack Developer
amarendradeveloper.in
Full Stack DevOps with AI
apnaguru.in
What is a tech stack, and how to choose the best one?
1985.co.in
Buy Stack Oren Set of 3 Glass Condiment Jars - 290ml from Home Centre ...
homecentre.in
Durgesh Prasad - Full Stack Developer | Web & App Portfolio
durgeshprasad.in
(i) Problems based on R.H.S = eax + xn + cos ax - Solved Example ...
eee.poriyaan.in
F Wax Ring Toilet,Wax Toilet Ring Seal includes India | Ubuy
ubuy.co.in
(i) Problems based on R.H.S = eax + xn + cos ax - Solved Example ...
eee.poriyaan.in
Money Laundering – Layering - Getlegal India
getlegalindia.com
eax sinbx மற்றும் eax cosbx - எடுத்துக்காட்டு கணக்குகள் | கணக்கு ...
brainkart.in
Understanding Stack in Assembly
thejat.in
(i) Problems based on R.H.S = eax + xn + cos ax - Solved Example ...
eee.poriyaan.in
Thirupathi Padidepu | Full Stack .NET & React Developer | Freelancer ...
thirupathipadidepu.in
Exploring Career Options After 12th: Digital Marketing, Graphic ...
dsom.in
Hydrogen | Schaeffler medias
medias.schaeffler.co.in
Buy OCEAN Stack Set of 6 Glass Serving Bowls - 70ml from Ocean at just ...
homecentre.in
FITA Academy offers AWS, Python, Java, Testing, Selenium, Data Science ...
fita.in
Java Full Stack Development Course - Tapinix
tapinix.in
Buy Virgor Set of 3 Stacked Wall Shelves - Brown from Home Centre at ...
homecentre.in
Full Stack Development Services in Kota, Full Stack Development company ...
highxbrand.in
Vishal Sharma Portfolio - Full Stack Developer | MERN Stack Specialist
vishalsharmadev.in
GLINET | Full-Stack Developer | MERN Stack & Cloud Solutions | glinet.in
glinet.in
Python Full Stack Development Course In Mumbai and Navi Mumbai
milestone.ac.in
Dual Rated Mechanical Connector, Stacked Lug, 350 MCM-6 Wire Range, 5/ ...
amazon.in
Implementation of Stack - Declaration, Operations, Structure, Example C ...
eee.poriyaan.in
.NET Full Stack Developer Interview Questions (2025 Ultimate Guide ...
vtricks.in
Stack Profile, Vertical - in the Häfele India Shop
hafeleindia.com
(i) Problems based on R.H.S = eax + xn + cos ax - Solved Example ...
eee.poriyaan.in
eax sinbx மற்றும் eax cosbx - எடுத்துக்காட்டு கணக்குகள் | கணக்கு ...
brainkart.in
Related Searches
Anatomy of a Stack Trace 4 Parameters Eax
Eax Settings
Stack and Heap Eax EBX ECX EDX ESP EBP
Stack Eax EBX
Search
×
Search
Loading...
No suggestions found