Find Your Style
Women
Men
Accessories
Search for clothing, brands, styles...
×
Women
Men
Accessories
Ekko S Base
Search
Loading...
No suggestions found
Arjun Tendulkar moves from MI to LSG in IPL 2026 for base price of INR ...
msn.com
Ekkography ー Ekko's Art ー
ekkography.thebase.in
Skoda Kylaq Classic: All details of base variant with images
msn.com
An Overview of Convergence: A League of Legends Story Gameplay
gurugamer.com
Se confirma la teoría de Ekko sobre Major League of Legends en el ...
amkstation.com
RNABP COGEST::Help
bioinf.iiit.ac.in
Pharmacological Activities of Schiff Bases and Their Derivatives with ...
mdpi.com
Against all odds: 5 greatest space survival stories
msn.com
social.jpg?23
himtex.in
An Indian-origin executive in Nvidia just saw a pay rise from 13.6 to ...
msn.com
S&P 500 ends lower; traders focus on Middle East tension and await ...
msn.com
'I Don't Want To Be Greedy': Chirag Paswan Dismisses Deputy CM Buzz ...
msn.com
Ekko Badshah Rani 2021 Full Movie Online - Watch HD Movies on Airtel ...
airtelxstream.in
Trump Attacks Putin With 'Stop, Vladimir' Roar After Russia Hammers ...
msn.com
Ekko
brandshops.in
RNABP COGEST::Help
bioinf.iiit.ac.in
Check SBI's latest lending rates for March 2025: MCLR and base rate
msn.com
Which of the following is the strongest base in aqueous solution?
gktoday.in
Ekko Skull PRO H03 - Wireless Headphones with ANC Active Noise ...
amazon.in
Buy League of Legends Dual Cities Pack Jinx Vi Caitlyn Ekko 4" Action ...
ubuy.co.in
Decarbonizing Telecommunication Sector: Techno-Economic Assessment and ...
mdpi.com
'He was an FBI informant': House speaker Johnson defends Trump on ...
msn.com
Coastline 2024 ft. Ekko & Sidetrack (AUS) | Auckland, The Lula Inn ...
allevents.in
Buy League of Legends, Life-size Ekko’s Bat, Over 90cm with 15+ Iconic ...
desertcart.in
Iran Issues Missile Threat To U.S. Bases, Cites 2-Ton Warhead Test ...
msn.com
League of Legends Fighting Game 2XKO Will Have Just 10 Playable ...
in.ign.com
Buy Ekko Figure - Authentic League of Legends - Riot Games Merchandise ...
ubuy.co.in
'We Have The Capability To Target Every System At Pakistan's Bases ...
freepressjournal.in
Amazon.in: EKKO: EKKO Skull
amazon.in
Nixon after India counter-attacked Pak in 1971: ‘Pakistan thing makes ...
msn.com
Trump 'READY' To Blow Up Iran's NUKES; 300+ Flights UNLOAD Munitions At ...
msn.com
'Numbers not important, rectified tactical mistakes': CDS Gen Anil ...
msn.com
Iran Threatens US Bases Amid Rising Tensions Over Nuclear Deal ...
firstpost.com
US base in Iraq attacked: Rockets fired at Iraq's Ain al-Asad airbase ...
msn.com
Two spheres of radii 6 cm and 1 cm are inscribed inside a right ...
brainly.in
Iran To Build New Uranium Site After IAEA Censure; Tehran Threatens U.S ...
msn.com
List of US Military Bases around the World, Location and Significance
studyiq.com
'No terror bases in India, so Pakistani army hit civilian areas ...
msn.com
Design studio – Karot Hizmetleri
karothizmeti.com
एक्सक्लूसिव सैटेलाइट तस्वीरें : चीन का हिंद महासागर पर ठिकाना हुआ ...
ndtv.in
Engineering Graphics III - SECTIONS OF SOLIDS: PROBLEMS ON pentagonal ...
studocu.com
Ekko Opus 3, TOLDI, Budapest, 24 May 2023 | AllEvents.in
allevents.in
This Indian-origin CFO's salary was higher than Sundar Pichai and Satya ...
msn.com
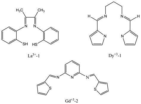
Schiff's Bases and Crown Ethers as Supramolecular Sensing Materials in ...
mdpi.com
Schiff's Bases and Crown Ethers as Supramolecular Sensing Materials in ...
mdpi.com
Additional Charges in Payment
help.techoerp.in
The Germination Core | CEPT - Portfolio
portfolio.cept.ac.in
Intel Core i7 Desktop Computers | Dell India
dell.com
Union minister Chirag Paswan slams J'khand CM's 'vulture' remark
msn.com
Schiff's Bases and Crown Ethers as Supramolecular Sensing Materials in ...
mdpi.com
Indo-Pak conflict had very negligible impact on economic activity: RBI ...
msn.com
US military bases in Middle East explained: What you need to know about ...
theweek.in
Genshin Impact Nilou Build Guide: Talents, Gears, And Team Comps (2022)
gurugamer.com
Base Fit Club - Best Gym in Thudiyalur, Coimbatore | Gym near me
basefitclub.in
Portable Live in Ekko Lounge Dallas - June 28, 2024, Ekko Lounge ...
allevents.in
US gets battle ready for drone warfare, fortifies its military bases as ...
msn.com
Ekko Skull AlterEgo H03 With Noise Cancellation,90H Playtime, Maxx Bass ...
flipkart.com
Iran Reportedly U.S. Bases After Israel Strike; Drones Target American ...
msn.com
Strangest Military Bases around the World
mensxp.com
Ekko - Pink – Hatsu
hatsu.in
Ekko SKULL ALTER EGO H02 - Wireless Headphones with ENC Call Noise ...
amazon.in
Worried about probable bird-hits, IAF expresses concerns over security ...
businessworld.in
Google CEO Sundar Pichai’s Pay Is 32 Times An Average Employee’s Salary ...
msn.com
Ekko - Pink – Hatsu
hatsu.in
Schiff's Bases and Crown Ethers as Supramolecular Sensing Materials in ...
mdpi.com
Press Information Bureau
pib.gov.in
Base Cover
klite.in
48246788 - Ekko Oneliner
mymarvel.in
First Pictures: Devastation visible at Russian air base
msn.com
Ini Dia Tutorial Cara Install Theme Ekko
kodingku.in
Base Fit Club - Best Gym in Thudiyalur, Coimbatore | Gym near me
basefitclub.in
Buy Ekko Book Online at Low Prices in India | Ekko Reviews & Ratings ...
amazon.in
Buy Vase Base, Vase Decoration Solid Wood Pedestal Bonsai Base Oriental ...
desertcart.in
Ukrainian aviation forces bomb Russian military bases: French equipment ...
msn.com
Denmark Warns: U.S. Bases At Risk If Trump Pulls America Out Of NATO ...
msn.com
'Expand Party Base, Strengthen Finance': Mayawati Urges Party Workers ...
msn.com
Iran will never surrender, Israel made a huge mistake, says country's ...
msn.com
Defence Minister Rajnath Singh Arrives At Karnataka's Karwar Naval Base ...
msn.com
India’s ballistic missiles hit Nur Khan Air Base, confirms Pakistan PM ...
english.varthabharati.in
Press Information Bureau
pib.gov.in
Exclusive LIVE TOUR of NEW 2024 Winnebago SPRINTER EKKO + Live Q&A ...
allevents.in
Pak Shuts Airspace; ALL AIR BASES Activated, JF-17, F-16 Deployed ...
msn.com
Mardi Gras on Midway: Fat Tuesday @ Ekko, Ekko Lounge, Dallas, 4 March ...
allevents.in
Bombs Explode at U.S. Base in Japan—Here’s What We Know
msn.com
Drone spotted near Kadamba Naval Base in Karnataka's Karwar ...
theweek.in
Polygon cofounder Sandeep Nailwal takes over as CEO amid restructuring
msn.com
Ekko - Pink – Hatsu
hatsu.in
Ukraine strikes again: a new air attack demolished a Russian base
msn.com
2XKO - Official Ekko Gameplay Trailer
in.ign.com
Sociology
sociologylens.in
Tesla CFO Vaibhav Taneja makes it to top minus tech heft, beats Pichai ...
msn.com
Buy 100Pcs 10ml Syringes Sterile Without Needle No Rubber Ring HPLC ...
desertcart.in
Ini Dia Tutorial Cara Install Theme Ekko
kodingku.in
2XKO - Official Warwick Gameplay Reveal Trailer
in.ign.com
David Warner registers for PSL 2025 player draft after going unsold in ...
msn.com
Download wallpaper Akali, Fan Art, League Of Legends, Senna, Yasuo ...
goodfon.com
Operation Sindoor impact: Indian rupee drops 42 paise to close at 84.77 ...
msn.com
PUP, Jeff Rosenstock, Ekko Astral in Seattle, Showbox SoDo, Seattle, 7 ...
allevents.in
best current transformer base in India | Radiant Enterprises
radiantenterprises.co.in
Coordination-driven self-assembly of M3L2 trigonal cages from ...
publications.iitpkd.ac.in
Performance Management System
portal.wabag.in
Another Mayawati Nephew On Political Horizon: After BSP Chief's ...
msn.com
Iranian General Threatens U.S. Bases | MEMRI
memri.org
Microsoft CEO Satya Nadella gets Rs 847 crore payday as AI push fuels ...
msn.com
Will This Become The Upcoming Mahindra Scorpio Classic? » Car Blog India
carblogindia.com
Understanding Psychology in Everyday Life with Real Examples
sssi.in
PAF base in Northern Pakistan faces terrorist attack, repels assailants ...
newindian.in
SS3-15-SS-S | Kalei Nut (for Stainless Steel Base Material) SS-SS ...
in.misumi-ec.com
Trump’s Syrian Pullout is a Game Changer | NewsClick
newsclick.in
HOTEL EKKOS (Kirovsk) - Lodge Reviews & Photos - Tripadvisor
tripadvisor.in
Home Page:Press Information Bureau
pib.gov.in
Iran attacks U.S. base in Qatar — shadowy alliance grows behind Tehran ...
msn.com
NAVBHARAT WATERPROOFING SERVICES in panaji, goa|Waterproofing ...
nbws.co.in
The Germination Core | CEPT - Portfolio
portfolio.cept.ac.in
Operation Sindoor: Jaish-e-Mohammed founder and Pulama attack ...
msn.com
Home Page:Press Information Bureau
pib.gov.in
Simple Gallery Lightbox Plugin with jQuery and Bootstrap - Ekko ...
p.bdir.in
Russian air base hit hard: Images show widespread damage after ...
msn.com
Press Information Bureau
pib.gov.in
Ekko Skull AlterEgo H03 With Noise Cancellation,90H Playtime, Maxx Bass ...
flipkart.com
Related Searches
Ekko PNG
Ekko's Staff
Ekko New Skin
Ekko Body Base
Ekko's Journal
Ekko Mohawk
Ekko Finale
Ekko Face
Ekko in Suit
Sigma Ekko
Ekko's Hideout
Ekko Ledge
Ekko Academia
Academy Ekko
Sad Ekko
Ekko Arcane
Ekko's Sanctuary
Ekko Hoverbard
Firefly Ekko
Firelight Ekko
Ekko Skins
Ekko W
Sandstorm Ekko
Lovestruck Ekko
Ekko Build
Naoumie Ekko
Arcane Ekko Tree
Ekko Final Arc
Ekko Peinados
Ekko Jungle
Ekko Timewinder
Ekko 3D Model
White Ekko
Ekko League of Le
Ekko Firelight Basre
Ekko in Bg3
Ekko Okey
LEGO Ekko
Ekko Skin Splash Arts
Ekko VRC Avatar
Ekko's Mark
Ekko Hourglass
Ekko Soldiers
Ekko New Skikn
Soujourn Ekko
Ekko Teleporting
New Seats for Ekko
Ekko's Symbolleuge
Ekko Profile
Firelight Ekko Background
Search
×
Search
Loading...
No suggestions found