Find Your Style
Women
Men
Accessories
Search for clothing, brands, styles...
×
Women
Men
Accessories
Emf Questions
Search
Loading...
No suggestions found
INR Frequently Asked Questions | RCS
remotecardiacservices.com
INR Full Form
adda247.com
INR Frequently Asked Questions | RCS
remotecardiacservices.com
INR Frequently Asked Questions | RCS
remotecardiacservices.com
Print question on KBC for INR one-crore | PrintWeekIndia
printweek.in
Two cells of emf1.25V , 0.75V and each of internal resistance1andOmega ...
edurev.in
EMF and Internal Resistance - Physics for Grade 12 PDF Download
edurev.in
A cell of emf E & internal resistance r is connected across an external ...
brainly.in
EMF and Internal Resistance - Physics for Grade 12 PDF Download
edurev.in
Electric Cell : E.M.F., Terminal Potential, Internal Resistance ...
chemistrypage.in
48. Four identical cells each having emf E and internal resistance r ...
brainly.in
Two batteries each of emf E and internal resistance r are connected ...
tardigrade.in
A cell of emf (E) and internal resistance r is connected across a ...
brainly.in
Mock questions emf - EMF NOTES - Electromagnetic Field Theory Exam ...
studocu.com
EMF-Assignment 1 - assignment - Department of Electronics Engineering ...
studocu.com
emfs and Internal Resistance, Class 12 Physics NCERT Solutions
evidyarthi.in
A cell of emf E & internal resistance r is connected across an external ...
brainly.in
1. Five cells each of emf E and internal resistance r send the same ...
brainly.in
Class 12 ISC Chemistry Board Questions Chapter Electrochemistry
iqclasses.in
A cell having an emf E and internal resistance r is connected across a ...
brainly.in
Electrochemistry important qns - MODULF 1 Test Papey Questions DiseuSS ...
studocu.com
Electro Magnetic unit 1 questions - UNIT – 1 - INTRODUCTION ...
studocu.com
EMF Questions - practice problems for EMF - 2 MARKS Convert the given ...
studocu.com
N identical current sources each of emf E and internal resistance r are ...
allen.in
Question Bank for EC3452 - Electromagnetic Fields - Studocu
studocu.com
50+ magnetic forces magnetic fields and faradays law worksheets for ...
wayground.com
R&S®BBA150 Broadband Amplifier - Rohde Schwarz - PDF Catalogs ...
pdf.directindustry.com
EC 8451 Electromagnetic Fields - Question Paper Notes - Studocu
studocu.com
EMF Question Bank - BETHLAHEM INSTITUTE OF ENGINEERING KARUNGAL – 629 ...
studocu.com
Electromagnetic Induction: NEET Exam Guide and Concepts Explained
allen.in
Four points of difference between potential difference and electro ...
brainly.in
EMF - QB - EMT Question Bank for Units 3, 4, and 5 - Studocu
studocu.com
Emf equation of Transformers - abdul@theglocaluniversity Page 1 E.M ...
studocu.com
Two sources of emf 6 V and internal resistance 3 Ω and 2 Ω are ...
tardigrade.in
Faraday's Law of Induction Class 12, 10- Electromagnetic Induction
adda247.com
EMF Question Bank - Vector Analysis, Electric Field & Magnetic Concepts ...
studocu.com
Emf equation - Let ɸ= flux per pole in Weber Z = Total number of ...
studocu.com
Motional EMF and Induced Current - MOTIONAL EMF, INDUCED CURRENT ...
studocu.com
Explain dynamic and static induced emf. with neat diagram - Brainly.in
brainly.in
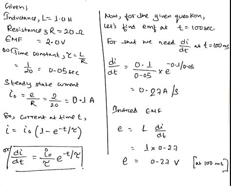
An LR circuit has L = 1.0H and R = 20Ω . It is connected across an emf ...
toppr.com
Electromagnetic Induction - JEE Advanced Previous Year Questions with ...
esaral.com
Two cells of emf's approximately 5 V and 10 V are to be accurately ...
toppr.com
Electrochemistry Class 12 Important Questions with Answers
esaral.com
Difference between galvanic series and emf series - Brainly.in
brainly.in
Electrochemical Series (e.m.f series) - 5. ELECTROCHEMICAL SERIES (e.m ...
studocu.com
A metallic rod of length l and resistance R is rotated with a frequency ...
ask.learncbse.in
A battery of emf E and internal resistance, r, when connected an ...
ask.learncbse.in
EMF University Question Papers - X10361 Reg. No. : Question Paper Code ...
studocu.com
The rms value of emf given by e=8sin(wt)+6cos(wt)is - Brainly.in
brainly.in
JahyShow Emf Meter Ghost Hunting: Emf Meter Radiation Detector for EF ...
amazon.in
Unit-2 - magnetic field - Electromagnetic Fields - Unit-II Static ...
studocu.com
[tex]\green{\huge{\colorbox{aqua}{QUESTION}}}[/tex]A battery of unknown ...
brainly.in
The emf of a standard cadmium cell is 1.02 v at 300 k. the temperature ...
scoop.eduncle.com
Calculate the emf of the following cell at 298 K: Al(s)/Al3+ (0.15M ...
brainly.in
Assertion: In the following circuit, emf is 2 V and internal resistance ...
tardigrade.in
A battery of emf E and internal resistance r is connected across a ...
allen.in
Quality Engineer Question Answer Bank PPT – Smart Office Template (INR)
smartofficetemplates.myshopify.com
EE2010 - Question paper - 2010 ELL EE ELECTRICAL ENGINEERING Duration ...
studocu.com
1. A cell of emf 2 V and internal resistancel is connected to a ...
brainly.in
Model Question Paper for R22-ODE I B.Tech II Sem Exams - Studocu
studocu.com
Why emf decreases with increase in temperature..here plz check the ...
scoop.eduncle.com
53. A group of n identical cells each of EMF E and internal resistance ...
brainly.in
EMF Question Bank - BETHLAHEM INSTITUTE OF ENGINEERING KARUNGAL – 629 ...
studocu.com
Current passing through 1 ohm resistance is zero then the emf is ...
brainly.in
name the two factors on which the magnitude of an induced EMF in the ...
brainly.in
as shown in the circuit, if all the cells are identical, each of emf E ...
brainly.in
Previous semster question papers for CT1 - SRM DEPARTMENT OF CHEMISTRY ...
studocu.com
EMF Equation Of The Transformer - Due to this, the current in the ...
studocu.com
Q. In the figure, the potentiometer wire AB of length L and resistance ...
brainly.in
Question 3.12: In a potentiometer arrangement, a cell of emf 1.25 V ...
brainly.in
Emf Detector Detect All 3 Types Of Electromagnetic Radiation Field ...
desertcart.in
Six cells, each of emf 5 V and internal resistance 0.1 Ω are connected ...
tardigrade.in
The induced emf in the loop, if the long wire carries a current of 50 A ...
tardigrade.in
A cell of emf 1.5v is connected with an ammeter of resistance 0.05 ohm ...
brainly.in
What is the emf of a galvanic cell consisting of a Cd2+/Cd half-cell ...
brainly.in
48. Four identical cells each having emf E and internal resistance r ...
brainly.in
Three batteries of emf 1 V and internal resistance 1 Ω each are ...
tardigrade.in
give two difference between EMF and potential difference - Brainly.in
brainly.in
Question and answers system software - Two mark questions and answers ...
studocu.com
The current i in a coil varies with time as shown in the figure. The ...
tardigrade.in
emf equation of transformer - E.M. Equation of a Transformer Consider ...
studocu.com
IF C=2µF, V = 4 Volt , EMF = 5V, key is closed then find work done by ...
brainly.in
A magnet is made to oscillate with a particular frequency, passing ...
tardigrade.in
Human energy field electromagnetic field surrounding the human body ...
freepik.com
Two cells having emf of 10V and 8V ,and internal resistance of 1 ohm ...
brainly.in
Chapter 3 Current Electricity - Question 3: The storage battery of a ...
studocu.com
A potentiometer wire AB having length L and resistance 12r is joined to ...
tardigrade.in
If three cell are connected in parallel then equivalent emf……. and ...
allen.in
The current i in a coil varies with time as shown in the figure. The ...
tardigrade.in
Three cells of emf 1V and internal resistance 1 Ω each are connected as ...
tardigrade.in
Consider the change in oxidation state of Bromine corresponding to ...
tardigrade.in
Electric Cell : E.M.F., Terminal Potential, Internal Resistance ...
chemistrypage.in
give the observation table and all readings of the experiment To ...
brainly.in
The emf per turn of a single phase 2200/220v 50 Hz transformer is ...
edurev.in
circuit analysis - Inductor Back EMF, Ideal Switch - Electrical ...
electronics.stackexchange.com
Draw the graph showing variation of the value of the induced EMF as a ...
brainly.in
In order to measure the internal resistance r1 of a cell of emf E, a ...
tardigrade.in
Mandatory Assignments - DLD MCQs What is a multiplexer? a) It is a type ...
studocu.com
A magnet is made to oscillate with a particular frequency, passing ...
tardigrade.in
In a circuit consisting of a capacitance and a generator with ...
brainly.in
Two batteries of emf ε1 and ε2(ε2>ε1) and internal resistance r1 and r2 ...
tardigrade.in
A square loop of side 5 cm enters a magnetic field with 1 cm s -1. The ...
tardigrade.in
The standard EMF of the cell Zn+Cu2andrarr;Cu + Zn2 is 1.10 V at ...
edurev.in
Four cells of identical emf ε and internal resistance r are connected ...
tardigrade.in
Three cells of emf 1V and internal resistance 1 Ω each are connected as ...
tardigrade.in
a battery whose emf is 40V has an internal resistance of 5ohm.If this ...
brainly.in
Mutually Induced E.M.F. and Mutual Inductance
eee.poriyaan.in
Two cells of emf e1 e2 and internal resistance r1 r2 respectively are ...
brainly.in
A cell of emf `E` has an internal resistance `r` and is connected to ...
allen.in
In the given figure, a diode D is connected to an external resistance R ...
tardigrade.in
A cell of emf 'E' and internal resistance 'r' is connected to a ...
allen.in
Chapter 3 Current Electricity - Question 3: The storage battery of a ...
studocu.com
Electric Cell : E.M.F., Terminal Potential, Internal Resistance ...
chemistrypage.in
The circuit in Fig. shows two cells connected in opposition to each ...
allen.in
four cells, each of EMF 2 volt and internal resistance 2 ohm are ...
brainly.in
A number of identical cells, n each of emf E, internal resistance r ...
brainly.in
A cell of emf 'E' and internal resistance 'r' is connected across a ...
brainly.in
The value of alternating emf E in the given circuit will be
tardigrade.in
When induced emf in inductor coil is 50 % of its maximum value then ...
tardigrade.in
In the circuit shown in figure a `12 V` battery with unknown internal ...
allen.in
Related Searches
INR Normal Range
INR Testing
Inr Machine
INR Ratio
INR Values
INR Lab
INR Test Meter
INR Meaning
INR Chart
INR Currency
INR Calculation
INR Management
INR Blood Test
Warfarin
Therapeutic INR
Normal INR Value
PT/INR Values
Printable INR Chart
INR Scale
INR and PTT
Normal INR Levels Chart
Home INR Monitoring
INR Calculation Formula
INR aPTT
INR Norms
What Is INR Blood Test
Home INR Monitor
INR Equation
INR Meaning Medical
Money INR
INR Diagram
INR Logo
INR Readings
1 INR
INR PNG
INR Targets
INR Symbol
INR Medical Term
INR Dose
Causes of High INR
INR Rupee
Isi INR
Warfarin Nomogram
INR Notes
Supratherapeutic INR
Normal PT Time
INR Definition
International Normalized Ratio INR
INR Foods
INR Word
Search
×
Search
Loading...
No suggestions found