Find Your Style
Women
Men
Accessories
Search for clothing, brands, styles...
×
Women
Men
Accessories
Entities Involved In Kyc Process
Search
Loading...
No suggestions found
INR Full Form: What is full form of INR?
bankersadda.com
Assisted Video KYC | Unassisted Video KYC | Video Verification ...
frslabs.com
Merchant Onboarding Process, Steps, And Best Practices
leadsquared.com
What Is KYC? Full Form, Meaning, and Importance | Axis Max Life Insurance
axismaxlife.com
KYC and AML Compliance For Crypto Exchanges in India: A Comprehensive ...
finlaw.in
Central KYC Process,Know Your Customer,Know Your Client,KYC Solutions ...
scannersindia.in
Assisted Video KYC | Unassisted Video KYC | Video Verification ...
frslabs.com
Aadhaar Paperless Offline E-KYC
taxguru.in
What is KYC? Its Importance, Types, Process & Benefits
fyers.in
Overview of Director’s KYC Process – DIR-3 KYC
taxguru.in
Central KYC Process,Know Your Customer,Know Your Client,KYC Solutions ...
scannersindia.in
Central KYC Registry in India | What is CKYC Registry?
tapglobal.in
Demat Account KYC - Know How to Update KYC Online | PL Capital
plindia.com
How To Do The KYC Update: A Step-By-Step Guide
godigit.com
Video KYC - All About Video KYC, Guidelines & Verification
bankbazaar.com
Assisted Video KYC | Unassisted Video KYC | Video Verification ...
frslabs.com
KYC: What is KYC, KYC Full Form, KYC Meaning 2025
moneyview.in
KYC Documents Individuals - India Dictionary
1investing.in
WorkIndia - KYC Process
workindia.in
Ladki Bahin Yojana: If you want money to flow into your account ...
msn.com
KYC Process
licmf.com
Process to complete eMudhra Partner Login KYC 2023 | Partner Login
esolutions.net.in
KYC Venue | Research Analyst KYC Software | ZERO Investment
kycvenue.com
KYC KRA Inquiry for CVL CAMS Karvy Dotex NSE | CVL KRA API
cvl-kra.in
KYC Process
licmf.com
How to complete Capricorn Cash Login KYC Process ? | Partner Login
esolutions.net.in
KYC Process
licmf.com
AssetPlus i-KYC - Reduce KYC processing time | AssetPlus Insights
partners.assetplus.in
Aadhaar Paperless Offline e-KYC Verification
moneyview.in
Foreign Remittance: A Detailed Guide for Indian Nationals
orientexchange.in
ER Diagram for University Management
edrawmax.wondershare.com
State Bank Of India Embarks On Drive To Cut The KYC Process To A Single ...
msn.com
Due Diligence Procedure under FATCA and CRS
taxguru.in
EPFO KYC - Steps to Update UAN & EPF KYC Details Online
bankbazaar.com
Secretarial Compliance | DPT-3 | DIR-3 KYC | MSME-1 | INC-22A (Active)
taxguru.in
EPF KYC Details Online: How to update UAN and EPF KYC details Online ...
economictimes.indiatimes.com
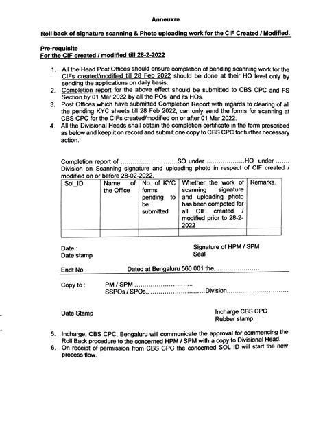
Revised procedure for capture of specimen signature and Photo KYC Form ...
postalstudy.in
Revised procedure for capture of specimen signature and Photo KYC Form ...
postalstudy.in
Big Relief for Mutual Fund Investors: Now Complete Your KYC at Any Post ...
msn.com
The KYC process explained | Swift
swift.com
Ladki Bahin Yojana e-KYC Official Website: Check Key Documents to ...
jagranjosh.com
What is eKyc - Documents Required, Process, Eligibility & Status
navi.com
Mukhyamantri Majhi Ladki Bahin scheme: Beneficiaries must do e-KYC in 2 ...
msn.com
Due Diligence Procedure under FATCA and CRS
taxguru.in
IDBI Bank Launched The Facility Of KYC Updation Through V-CIP Process ...
goodreturns.in
What is the Central KYC registry and how does it work? Enterslice
enterslice.com
How to Verify PayTM KYC - Full KYC - Online Verification | 2019
fabpromocodes.in
Online Re-KYC Process for Bank Account: A Complete Guide KYCPLUS
kycplus.in
E-KYC Prcoess in Forex Transactions | Orient Exchange
orientexchange.in
KYC Full Form, Meaning, Importance & Key Documents Required
fibe.in
Why is re-KYC required? - SBI’s YONO 2.0 explained: Features, KYC ...
economictimes.indiatimes.com
What is KYC: Full Form, Meaning, Types, Process
dbs.bank.in
KYC can now be done remotely; RBI eases fresh KYC process by starting V ...
studycafe.in
How to Trade in Futures and Options: Beginners Guide
jainam.in
KYC Process
licmf.com
A Complete Guide On ZebPay’s Re-KYC Process
zebpay.com
5 Things to Do at the EPF Member Portal
paisabazaar.com
KYC Process
licmfnew.cmots.com
Budget 2025: Revamped central KYC registry announced to simplify ...
msn.com
Overview of Director’s KYC Process – DIR-3 KYC
taxguru.in
Financial Services department proposes key revamp of Central KYC records
msn.com
International Trade Settlement in Indian Rupee (INR)
taxguru.in
Aadhaar Paperless Offline e-KYC Verification
moneyview.in
Majhi Ladki Bahin Yojana e-KYC deadline extended: Complete e-KYC before ...
msn.com
Big Update: Post Office To Help With Mutual Fund KYC, Easier Process ...
freepressjournal.in
SBI working to simplify KYC process: Chairman CS Setty
ianslive.in
International Trade Settlement in Indian Rupees (INR)
taxguru.in
Complete KYC Guide - Know Your Customer Process & Status Check · Meta ...
metainvestment.in
What is the Central KYC registry and how does it work? Enterslice
enterslice.com
ईपीएफओ केवाईसी: ईपीएफ पोर्टल पर केवाईसी विवरण अपडेट करने की चरण-वार ...
housing.com
EPF Claim Online: PF Withdrawal and How To Check Status
navi.com
E-Tutorial- PAN Verification & Consolidated TAN-PAN File
taxguru.in
Telecom Reforms- Govt. Simplifies KYC processes
taxguru.in
International Trade Settlement in Indian Rupee (INR)
taxguru.in
Re-KYC Online solution for a Faster Document Updation
meon.co.in
Online Re-KYC Process for Bank Account: A Complete Guide KYCPLUS
kycplus.in
DIR 3 KYC DIRECTOR KYC TYPE DOCUMENT AND PROCESS
crspl.in
What is Aadhaar e-KYC & How to Verify KYC Online?
godigit.com
Postpone Commencement of KYC process for companies: ICSI
taxguru.in
HDFC Bank Video KYC - How to Do Video KYC, Documents Required
paisabazaar.com
Ration Card E-KYC Deadline: 7.55 lakh people will lose ration benefits ...
msn.com
KYC Process
licmf.com
e-KYC Aadhaar: Sebi allows 39 entities to use e-KYC Aadhaar ...
economictimes.indiatimes.com
Reporting Financial Institutions under FATCA and CRS
taxguru.in
Master File And CBCR: Step Towards Making World One Tax Jurisdiction
taxguru.in
What is National Financial Reporting Authority (NFRA)?
taxguru.in
SBI eKYC: How to update KYC online - Updation of KYC details | The ...
economictimes.indiatimes.com
Fillable Online New KYC Template Legal Entity Annexure A2 1.2 New Fax ...
pdffiller.com
2014-2026 KYC CAMSKRA Application Form (for Non-Individuals Only) Fill ...
pdffiller.com
Due Diligence Procedure under FATCA and CRS
taxguru.in
The Business Universe for transformation from good to great
blog.processhorizon.com
Ration Card E-KYC Update - Process and Benefits
sikshalens.in
Streamline Your KYC Verification Process: Compliance Made Easy ...
ekychub.in
How to Complete e-KYC of Your Ration Card Online and Offline?
rozanaspokesman.com
Detailed Conversion Procedure of Different Business Entity
enterslice.com
Karisma Kapoor reportedly not a part of succession feud over Sunjay ...
msn.com
Intercompany Transactions Eliminations: Fundamentals & Procedures
taxguru.in
Video KYC : Is it in for a long run? - Enterslice
enterslice.com
Indane Gas Kyc Form Pdf Download - Fill Online, Printable, Fillable ...
pdffiller.com
Detailed Conversion Procedure of Different Business Entity
enterslice.com
Revised procedure for capture of specimen signature and Photo KYC Form ...
postalstudy.in
KYC - Zomato Legal entity name |As mentioned on PAN) Category Permanent ...
studocu.com
KYC and FASTag recharge limit - How to update KYC online, offline in ...
economictimes.indiatimes.com
How to Complete KYC for NRIs in India?
nobroker.in
KYC Automation: Top 10 Benefits for Improved Customer Experience ...
community.nasscom.in
DIN KYC: Procedure, Due Date, Status & Non-Filing Penalty
compliancecalendar.in
Ration card e-KYC last date: Get your Ration Card linked to Aadhaar ...
msn.com
Why You Need to Complete reKYC for Your Demat Account?
taxguru.in
KYC For Mutual Funds Online and Offline Process (2023)
navi.com
What Is KYC? Full Form, Meaning, & Process | Kotak 811 | Kotak Mahindra ...
kotak811.bank.in
Assisted Video KYC | Unassisted Video KYC | Video Verification ...
frslabs.com
Taking warfarin? Doctor warns this common food could be reducing your ...
msn.com
What is Aadhaar e-KYC & How to Verify KYC Online?
godigit.com
Aadhaar Based e-KYC: KYC Process, Benefits and Working
navi.com
PM Kisan E-KYC Process 2025: ಇ-ಕೆವೈಸಿ ಮಾಡುವುದು ಹೇಗೆ ಗೊತ್ತಾ..?, ಇಲ್ಲಿದೆ ...
karnatakahelp.in
KYC Requirements for Foreign Portfolio Investors (FPIs)
enterslice.com
Recombinant DNA Technology - Steps, Application and Process
careerpower.in
How to check SBI KYC update status?
howtoonline.in
Automate KYC and Due Diligence Processes with AI
stackai.com
KYC and FASTag recharge limit - How to update KYC online, offline in ...
economictimes.indiatimes.com
Related Searches
KYC Process Flow
KYC Steps
KYC Verification
KYC System
KYC Onboarding Process
KYC Workflow
KYC Procedure
KYC Process Flow Chart
KYC Bank
KYC Company
KYC Banking
Types of KYC
KYC Documents
KYC Format
KYC Form Bank
KYC/AML Process
SBI KYC Form
e-KYC Process
KYC Example
Customer KYC
KYC Platform
KYC Meaning
KYC Bank Account
KYC Verified
KYC Process Diagram Banks
KYC Importance
KYC Compliance
Digital KYC Process
Merchant KYC Process
KYC Laws
KYC Business
What Is KYC
KYC Process Journey Map
KYC Process Perso
KYC Form India
KYC Model
KYC Compliant
KYC Approach
Know Your Client
Corporate KYC Process
BSA KYC
KYC China
KYC Full Form
KYC Team
KYC Refresh
KYC End to End Process
KYC Certificate
Simplified KYC Process
Traditional KYC Process
Gov KYC
Search
×
Search
Loading...
No suggestions found