Find Your Style
Women
Men
Accessories
Search for clothing, brands, styles...
×
Women
Men
Accessories
Equidistant Points Line
Search
Loading...
No suggestions found
Show that the locus of a point, equidistant from two intersecting lines ...
allen.in
The equation of the straight line equally inclined to the axes and ...
brainly.in
If the line y = mx + 1 meets the circle x2 + y2 + 3x = 0 in two points ...
tardigrade.in
How to find a point on a line equidistant from two points on x axis ...
brainly.in
P is a point equidistant from two lines l and m intersecting at point A ...
allen.in
Which figure is described below? All points in a PLANE equidistant from ...
brainly.in
P is a point equidistant from two lines l and m intersecting at point A ...
allen.in
Find the coordinates of point on `Y`-axis which is equidistant from ...
allen.in
A point on the straight line, 3x + 5y = 15 which is equidistant from ...
tardigrade.in
In the given fig P is a point equidistant from two lines l and m ...
brainly.in
P is a point equidistant from two lines l and m intersecting at point A ...
edurev.in
find the locus of the point equidistant from two given points - Brainly.in
brainly.in
A point on the straight line 3x+5y=15 , which is equidistant from the ...
tardigrade.in
If P is a point equidistant from two lines l and m intersecting at ...
brainly.in
find the equation of locus of a point equidistant from A(2,0) and the y ...
brainly.in
Prove that in a right angled triangle the midpoint of the hypotenuse is ...
brainly.in
point P is equidistant from 2 intersecting lines l and m, intersecting ...
brainly.in
In the figure a is a point equidistant from to linesl1 and l2 ...
brainly.in
In the given fig P is a point equidistant from two lines l and m ...
brainly.in
Q . As shown in the figure, B1, B2, ..., B11 are eleven equidistant ...
brainly.in
In figure P is a point equidistant from the lines l and m intersecting ...
allen.in
find coordinates of points having ordinate 3 and which is equidistant ...
brainly.in
Consider the line L: = 3x + y + 4 = 0 and the points A(-5, 6) and B(3 ...
tardigrade.in
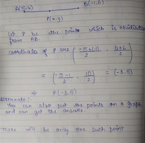
find a point that is equidistant from the points a(-5,4) b(-1,6) How ...
brainly.in
Define an equipotential surface. Draw equipotential surfaces : `(i)` in ...
allen.in
The point equidistant from the four points (0,0, 0), (3/2, 0, 0), (0,5/ ...
tardigrade.in
Find the point on the line 3x + y + 4 = 0 which is equidistant from the ...
brainly.in
Statement I The equation of the line which is equidistant from parallel ...
tardigrade.in
P is a point equidistant from two lines and and M intersect at point a ...
brainly.in
P is a point equidistant from two lines l and m intersecting at point A ...
brainly.in
P is equidistant from 2 lines l and m intersecting at point A. show ...
brainly.in
The equation of the locus of the points equidistant from the points A ...
brainly.in
6. Answer the questions with the help of figure 1.14.Fig. 1.14 given in ...
brainly.in
P is equidistant from 2 lines l and m intersecting at point A. show ...
brainly.in
As all points of parabola are equidistant from a fixed line and fixed ...
tardigrade.in
7. AB is a line segment P and Q are point on opposite sides of AB such ...
brainly.in
AB is a line segment. P and Q are points on opposite sides of AB such ...
brainly.in
Define an equipotential surface. Draw equipotential surfaces : `(i)` in ...
allen.in
1. If the points (2,1) and (1,-2) are equidistant from the point(x,y ...
brainly.in
(x) The three vertices of a scalene triangle are always equidistant ...
iqclasses.in
the point on x-axis equidistant from the points P(5,0)andQ(-1,0)is ...
brainly.in
find the co-ordinates of the point equidistant from the four points (a ...
brainly.in
Two identical circular loops, P and Q each of radius r and carrying ...
allen.in
An electric dipole is placed at origin, directed along +ve x axis ...
brainly.in
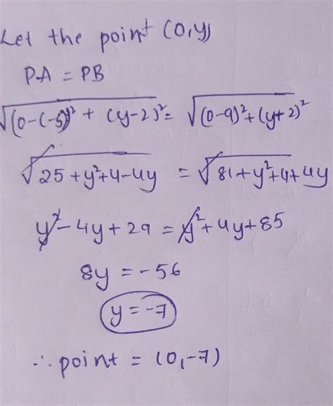
Find a point on Y-axis which is equidistant from A (6,5) and B (-4,3 ...
brainly.in
find the relation between x and y such that the points p(x,y) is ...
brainly.in
The points O, U, S, V, R, X, W, T, P, Q and Y on the number line are ...
brainly.in
The locus of a point which is equidistant from (0,2) and (0,8) is
tardigrade.in
find the point on X axis which is equidistant from the points M(-5,-2 ...
brainly.in
In the given figure, AB is a line segment P and Q are points on ...
brainly.in
Write three pairs of integers which are equidistant from the point ...
brainly.in
Let P denotes the plane consisting of all points that are equidistant ...
tardigrade.in
5 Find the coordinates of point which are equidistant from these two ...
brainly.in
Find a relation between x and y such that the point (x, y) is ...
ask.learncbse.in
Find a point on the Y axis equidistant from points( 6 5)( -4 3 ...
brainly.in
Write the coordinates of any point p in the fourth quadrant which is ...
brainly.in
Solved: George placed a compass on the vertices of the triangle and ...
gauthmath.com
If every point on the line (a₁ - a₁) x + (b₁ – by)y =c is equidistant ...
brainly.in
ab is a line segment p and q are points on the opposite sides of ab ...
brainly.in
p is a point equidistant from two lines L and M intersect at point A ...
brainly.in
Find the point on the line 3x + y + 4 = 0 which is equidistant from the ...
brainly.in
In the given figure, B is a point equidistant from two lines AQ and AP ...
brainly.in
ab is a line segment p and q are point on opposite sides of ab such ...
brainly.in
Find the point on the line 3x+y+4=0 which is equidistant from (-5,6 ...
brainly.in
Find the point on x-axis which is equidistant from the points (2,-2 ...
brainly.in
In the figure, BX bisects angle ABC and intersects AC at point D. Line ...
allen.in
If the points (5,4) and (X, y) are equidistant from the point (4,5 ...
brainly.in
Find a point on the y-axis which is equidistant from the points A(6, 5 ...
brainly.in
The locust of a point equidistant from the lines y-x=0, and y+x=0 is ...
brainly.in
Q9 A straight line AB is 8 cm long. Locate by construction the locus of ...
iqclasses.in
15. If the point C(-2, 3) is equidistant from the points A(3,-1) and B ...
brainly.in
•state the points which are equidistant from point B •write a pair of ...
brainly.in
Find the value of k if the point p(0 2) is equidistant from (3 k) and ...
brainly.in
AB is a line segment and line L is its perpendicular bisector. If a ...
brainly.in
Find the point on the x axis which is equidistant from the points (-2 5 ...
brainly.in
ABC is a triangle. Locate a point in the interior of ΔABC which is ...
esaral.com
7. Find the point on the x-axis which is equidistant from (2,-5) and ...
brainly.in
The points P is equidistant from A(1, 3), B ( - 3,5) and C(5, -1), then ...
tardigrade.in
If p(x, y) is equidistant from the points a(7,1) and b(3,5), find the ...
brainly.in
CBSE Notes for Class 6 Maths Chapter 8 – Playing With Constructions
allen.in
Q2. In the given figure, the isosceles triangleABC congruent EAD. The ...
brainly.in
Represent -5 upon 4 and 5 upon 4 on the same number line. Are these ...
brainly.in
find the equation of locus of a point which is equidistant from the ...
brainly.in
Find the point on the x axis, which is equidistant from the points A(2 ...
brainly.in
The co-ordinates of the ooint which is equidistant from the three ...
brainly.in
Let A and B be two points on the major axis of the ellipse ( x 2/25 ...
tardigrade.in
There are eight equidistant points on a circle. Ho
prepp.in
ab is a line segment p and q are point on opposite sides of ab such ...
brainly.in
S and T are the foci of the ellipse ( (x2/a2) )+( (y2/b2) )=1 and B is ...
tardigrade.in
The vertices of a triangle are (0,0) (2x,0) (0,2y) find the coordinates ...
brainly.in
find a point which is equidistant from points A (-5,4)and B (-1,6) how ...
brainly.in
Find the point on y-axis which is equidistant from the point(3, 1, 2 ...
brainly.in
find the locus of a point equidistant from the lines x+y+4=0 and 7x +y ...
brainly.in
If P is a point equidistant from two lines l and m intersecting at ...
brainly.in
Find a point on y-axisis which is equidistant from the point (6,5) and ...
brainly.in
write the coordinates of a point P on x-axis which is equidistant from ...
brainly.in
Find a relation between x and y such thatthe point (x, y) is ...
brainly.in
Four infinitely long `L` shaped wires, each carrying a current `i` have ...
allen.in
The equation to the locus of the points, equidistant from the points (2 ...
brainly.in
Define an equipotential surface. Draw equipotential surfaces : `(i)` in ...
allen.in
Find the linear relation between x and y such that p(x,y) is ...
brainly.in
Find that point equidistant from the four points (a,0,0),(0,b,0),(0,0,c ...
brainly.in
Find the point on x axis which is equidistant (-2,5) and (2,-3 ...
brainly.in
What is "Locus" ? "The Locus of a point equidistant from the 2 fixed ...
brainly.in
[Solved] find the point on the x axis which is equidistant from (2,-5 ...
brainly.in
A point on x axis which is equidistant from the points (1,3) and (-1,2 ...
brainly.in
a point on a line segment that is equidistant from the two endpoints of ...
brainly.in
Represent -5 upon 4 and 5 upon 4 on the same number line. Are these ...
brainly.in
Two lines l and m interset at the O and P is Point on a line n Passing ...
allen.in
A fixed point is 80 mm from a fixed straight line. Draw the locus of ...
brainly.in
Find the points on y axis which is equidistant from the points (-5,2 ...
brainly.in
P is an interior point of an equilateral triangle ABC. If P equidistant ...
allen.in
Any point on the right bisector of a line segment is equidistant from ...
brainly.in
find tha linear relation between x and y such that p(x, y). is ...
brainly.in
Solved: 7, Points A, 8, and C are the corners of a triangular park. The ...
gauthmath.com
Find the coordinates of the point on the y-axis which is equidistant ...
brainly.in
Define an equipotential surface. Draw equipotential surfaces : `(i)` in ...
allen.in
Write the coordinates of a point P on x-axis which is equidistant from ...
brainly.in
What is "Locus" ? "The Locus of a point equidistant from the 2 fixed ...
brainly.in
1. A circle is the collection of all points in a plane, which are ...
brainly.in
Related Searches
Locus Point
Equidistant Meaning
Equidistant Formula
Equidistant Triangle
Locus of Points Equidistant
Equidistant Definition
Equidistant Definition Geometry
Non Collinear Points Example
Locus Worksheet
5 Equidistant Points
Equidistant Math
Equidistant Location
How to Find Equidistant Points
Define Equidistant
3 Equidistant Points On a Circle
Equidistant Synonym
Locus Points On a Line
Equidistant Cross
A Set of Points
Plane Equidistant From Two Points
7 Equidistant Points On a Sphere
Equidistant Lines
Equidistant Angles
Equidistant Projection
Equidistant Quadrilateral
Equidistant Points for Kids
Graphing Points
Circle Equidistant From Four Points
Equidistant Loci
Azimuthal Equidistant Projection
Equidistant Bisector
Equidistant Def
Equidistant Conic Projection
Find Point Equidistant From Three Points
Equidistant Map
Locus of All Points
Equidistant Curves
Linear Equidistant Points
Equidistant Symbol
Equidistant Points On a Hemisphere
Equidistant Chords
Three Noncollinear Points
Equidistant Points for Kids Visual
Locus Maths
Draw the Locus of Points Equidistant
What Is Equidistant
Four Equidistant Points On Hexagon
Four Equidistant Points On Regular Hexagon
Equidistant Points On the Sphere Surface Force Paper
Equidistance Principle
Search
×
Search
Loading...
No suggestions found