Find Your Style
Women
Men
Accessories
Search for clothing, brands, styles...
×
Women
Men
Accessories
Establish Relation Between Phase Diff And Path Diff
Search
Loading...
No suggestions found
Mam, what is the difference between phase difference and path ...
ask.learncbse.in
The relation between phase difference and path difference is - Brainly.in
brainly.in
what is relation between phase difference and path difference - Brainly.in
brainly.in
What is phase in light? | Yahoo Answers
in.answers.yahoo.com
Point Function and Path Function - Engineering Thermodynamics
mech.poriyaan.in
Chapter 12: Differential amplifiers [Analog Devices Wiki]
wiki.analog.com
Virtual Labs
pe-iitr.vlabs.ac.in
Establish the relation between electric field and electric potential at ...
brainly.in
Differentiate between point function and path function - Brainly.in
brainly.in
Activity: Poly Phase Filter Circuits - ADALM1000 [Analog Devices Wiki]
wiki.analog.com
Phase Velocity and Group Velocity - Civil Engineering (CE) PDF Download
edurev.in
An intuitive, practical approach to mixed-signal grounding - EE Times
eetimes.com
Define different elastic constants and establish relation between them ...
brainly.in
Star and Delta Connection - Explained - TheElectricalGuy
theelectricalguy.in
establish relation between 'g' and 'G ' - Brainly.in
brainly.in
Phase Sequence | Explained - TheElectricalGuy
theelectricalguy.in
Phase Velocity and Group Velocity - Civil Engineering (CE) PDF Download
edurev.in
Dual Polarization Radar
weather.gov
write relation for power drawn in three phase star connected load ...
brainly.in
Differentiation of Tan Inverse x - Explanation, Formula, Examples
adda247.com
CB, CE and CC Transistor Configurations - Bipolar Junction Transistors ...
eee.poriyaan.in
How does the mobility of electrons in a conductor change, if the ...
brainly.in
He phase difference between two points separated by 0.8 meter in a wave ...
brainly.in
Establish relation between current density and drift velocity? - Brainly.in
brainly.in
Permittivity vs Permeability | The 7 Differences - TheElectricalGuy
theelectricalguy.in
Diff b/w resistance and resistivity? - Brainly.in
brainly.in
Distinguish between a sigma and a pi bond.
allen.in
relationship between m.a ,v.r and efficiency? - Brainly.in
brainly.in
-1/2 the phase velocity of pressure waves v, is related to the wave ...
scoop.eduncle.com
what is the difference between an absolute and relative location ...
brainly.in
Differentiate between distance and displacement - CBSE Class 9 Science ...
ask.learncbse.in
Docker Vs. Docker Container: Know The Difference Between the Two ...
milesweb.in
ER Diagrams - Databases Design - Database Management System
cse.poriyaan.in
what is the difference between parabola,hyperbola and an ellipse ...
brainly.in
Write the difference between Kinetic energy and Potential energy ...
brainly.in
Difference between Cruise and Ballistic Missiles
studyiq.com
Relation between cp and cv? - EduRev Class 11 Question
edurev.in
Connection RCD Issues: Switchgear Testing, PE-N Short-Circuit ...
elektroda.com
Patterns of Biodiversity: Latitudinal and Altitudinal Gradients ...
aakash.ac.in
AVR ATmega8 Based LFR :: Differential Drive.
extremeelectronics.co.in
what is the difference between production and productivity (4 Marks ...
brainly.in
Fractional Line Integral
mdpi.com
NCERT Exemplar: Wave Optics - Physics Class 12 - NEET PDF Download
edurev.in
Analog Electronics Circuits
vlabs.iitkgp.ac.in
Symmetrical Components and Fault Calculation - Electrical Engineering ...
edurev.in
Common law and Civil LAw diff path to same destination - 817 CIVIL LAW ...
studocu.com
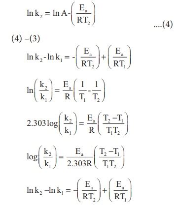
அர்ஹீனியஸ் சமன்பாடு - வினைவேகத்தின் மீது வெப்பநிலையின் விளைவு ...
brainkart.in
Phase Velocity and Group Velocity - Civil Engineering (CE) PDF Download
edurev.in
Difference between karyokinesis and cytokinesis - Brainly.in
brainly.in
Practical Maintenance » Blog Archive » Phase Diagrams (Part 1)
practicalmaintenance.net
Phase Velocity and Group Velocity - Civil Engineering (CE) PDF Download
edurev.in
C4 Phase and Group velocities M1 - Definitions: Phase velocity: The ...
studocu.com
Relation betwwen torque and angular acceleration - Brainly.in
brainly.in
record based - GATE Overflow
gateoverflow.in
If a cone of base radius x height y is inscribed in sphere of radius r ...
brainly.in
find out the difference between unitary and federal form of government ...
brainly.in
differences between central nervous and peripheral nervous system ...
brainly.in
Tax Deducted at Source| TDS: Meaning, Applicability, and Due Date
webtel.in
Understanding Diabetic Foot Complications: Neuropathic vs ...
diabeticshoe.in
derive the relation between mechanical advantage, velocity ratio and ...
brainly.in
Symmetrical Components and Fault Calculation - Electrical Engineering ...
edurev.in
what is the difference between work and power - Brainly.in
brainly.in
Overview of Acute Viral Hepatitis - Overview of Acute Viral Hepatitis ...
msdmanuals.com
Symbols for Various Equipments used in Substation
eee.poriyaan.in
The process of separation of an organic compound from its aqueous ...
tardigrade.in
Establish relation between u,v and f for a spherical mirror - Brainly.in
brainly.in
Relation between momentum and kinetic energy?? - Brainly.in
brainly.in
difference between AC and DC - Brainly.in
brainly.in
Distinguish between primary sector and secondary sector y stating four ...
brainly.in
Chapter 12: Differential amplifiers [Analog Devices Wiki]
wiki.analog.com
Relation Between Heat capacity at Constant Volume (CV) & Constant ...
aakash.ac.in
Relation Between Heat capacity at Constant Volume (CV) & Constant ...
aakash.ac.in
Give the points of differences between non-chordates and chordates ...
ask.learncbse.in
Derive expression for centripetal acceleration 1 - Brainly.in
brainly.in
thank u so muchdefine potential gradient. - Brainly.in
brainly.in
Types of solutions: Physical state of the solute and the solvent ...
yaclass.in
Phase Sequence | Explained - TheElectricalGuy
theelectricalguy.in
Map of Indo-Gangetic Plains (West)
iitk.ac.in
Distinguish between training and development - CBSE Class 12 Business ...
ask.learncbse.in
what is molality , molarity and normality in chemistry - Brainly.in
brainly.in
What are Data, Information, & Knowledge - Library Science
libraryscience.in
define various elastic constants and establish relation between them ...
brainly.in
Buy TB Diff. Equations & Integral Transforms | A.R. Vasishtha | 705 ...
amazon.in
Symmetrical Components & Fault Calculation - Notes | Study Electrical ...
edurev.in
The graph of Fig. shows the variation of photoelectric current with ...
allen.in
Symmetrical Components and Fault Calculation - Electrical Engineering ...
edurev.in
4 SIMPLE STEPS TO MIND MAP YOUR CAREER
innerplanet.in
Establish the following relation for total deviation sigma of a ray of ...
brainly.in
Symmetrical Components and Fault Calculation - Electrical Engineering ...
edurev.in
angular position | angular displacement | angular velocity | relation ...
raiedu.in
Phase Velocity and Group Velocity - Civil Engineering (CE) PDF Download
edurev.in
Establish a relationship between drift velocity and current density ...
brainly.in
Symmetrical Components and Fault Calculation - Electrical Engineering ...
edurev.in
Motor Protection Relays Manufacturer, Exporter, Supplier
emechem.in
DB Distribution Board Panel | Johns Electric Company
johnselectric.in
Complete Blood Count (CBC) Test: Normal Ranges, Procedure
bajajfinservhealth.in
Distinguish between diamagnetic and paramagnetic substances.
allen.in
Draw the graphs representing the variation of resistivity with ...
allen.in
derive the relation between drift velocity of electrons and electric ...
brainly.in
Establish relation between u,v and f for a spherical mirror - Brainly.in
brainly.in
Establish relation between current and drift velocity - Brainly.in
brainly.in
[Expert Verified] derive relation between linear velocity and angular ...
brainly.in
CADMAX - dgps survey | dgps receiver | dgps instrument | differential ...
cadmax.co.in
Evaluation and Management of Status Epilepticus in Children: IAP Guidelines
medicaldialogues.in
DIFFERENTIAL DIAGNOSIS OF BIPOLAR DISORDER ~ Nursing Path
nursingpath.in
Optical Path | Wave Optics | Class 12, JEE and NEET Physics
visualphysics.in
Force on a Moving Charge in a Magnetic Field | Class 12 Physics Notes
esaral.com
Symmetrical Components and Fault Calculation - Electrical Engineering ...
edurev.in
Find the expression for orbital speed and escape velocity for Sattelite ...
edurev.in
Optical Path | Wave Optics | Class 12, JEE and NEET Physics
visualphysics.in
Establish relation between u,v and f (mirrorequation) for concave ...
brainly.in
Pulse chase - Used fordetection of time of diff phase in cell cycle ...
studocu.com
PUBLIC INTERNATIONAL LAW notes - NOTES PIL. DATE The law relation diff ...
studocu.com
define various elastic constants and establish relation between them ...
brainly.in
SGPA vs CGPA: Difference Between SGPA and CGPA
shiksha.com
Symmetrical Components and Fault Calculation - Electrical Engineering ...
edurev.in
Derive a relation between magnetic permeability and susceptibility ...
brainly.in
Fig. shows an experimental set up simillar to Young's double slit ...
allen.in
establish the relation between sound wave frequency and wavelength of a ...
brainly.in
for a non relativistic particle The ratio of phase velocity to group ...
brainly.in
Search
×
Search
Loading...
No suggestions found