Find Your Style
Women
Men
Accessories
Search for clothing, brands, styles...
×
Women
Men
Accessories
Etf Inflows Is Rising Up Btc
Search
Loading...
No suggestions found
Currency Converter - Convert USD to INR, INR to EUR | Currency ...
economictimes.indiatimes.com
Bitcoin is recovering fast at $104,873.50, up 1.73%: Why is BTC surging ...
msn.com
Crypto funds surge: Bitcoin (BTC USD) and Ethereum (ETH) ETFs see ...
msn.com
Yesterday, the net inflow of BTC ETF was as high as $541m. | 机灵的杰尼君 on ...
binance.com
Gold ETFs see more than 6X YoY rise in September inflows amid ...
msn.com
Bitcoin ETF weekly inflow drops 60% to $600m despite BTC price recovery
cryptopanic.com
Bitcoin Spot ETF Inflows in 2025 Overtake Last Year’s Pace
cryptopanic.com
Weekly Bitcoin, Ethereum ETF Insights: The Highs, Lows, and Key Takeaways
cryptopanic.com
Bitcoin ETFs see $52.9 million outflow as Ethereum ETFs attract $19.8 ...
cryptopanic.com
Bitcoin ETFs see massive inflows in Trump’s first week — Will altcoins ...
cryptopanic.com
$BTC #ETF Net Inflow Apr 02, 2024: +39M! • The net inflo | X mucaN on ...
binance.com
Rising prices change the gold investment trend, ETF inflow gained by ...
divyabhaskar.co.in
Countdown Begins: Spot Bitcoin ETF Launch Imminent Within 3 Weeks
cryptopanic.com
The ETF Boom: What’s In Store for 2025 | Investing.com India
in.investing.com
Breaking: BlackRock Files For In-Kind Redemption For iShares Bitcoin Trust
cryptopanic.com
ICICI Prudential NIFTY Low Vol 30 ETF FoF: Should you invest ...
premium.capitalmind.in
Spot Bitcoin ETFs break 10-day inflow streak as BTC nears worst Q1 ...
cryptopanic.com
BlackRock’s Bitcoin ETF Rockets Past 800,000 BTC Milestone In Record ...
mexc.com
Gold ETF Boom: Assets top ₹1 lakh crore as Zerodha reports record surge ...
livemint.com
Best Gold ETFs of 2025: 4 funds with around 40% gains YTD, here’s their ...
msn.com
CryptoQuant CEO Sees Bitcoin Rallying Above $100,000 on the Back of ETF ...
cryptopanic.com
9 equity mutual fund categories witnessed inflows in April. Here is the ...
economictimes.indiatimes.com
Equity funds see third consecutive month of inflow in May | Articles ...
morningstar.in
Gold investment demand surges 170% in March 2025 quarter, driven by ETF ...
msn.com
What’s cooking with Gold ETFs in India?
finshots.in
Gold ETFs Inflows Surge Amid Rising Prices Ahead of Dhanteras - Goodreturns
goodreturns.in
9 equity mutual fund categories witnessed inflows in April. Here is the ...
economictimes.indiatimes.com
4 equity funds that received the highest inflows | Articles ...
morningstar.in
ETF: Sign of things to come? Indian ETF draws first inflow since July
economictimes.indiatimes.com
Gold Exchange Traded Funds (ETFs) | UPSC Current Affairs | IAS GYAN
iasgyan.in
Manufacturing Sector: A Rising Star - ithought
ithought.co.in
JUST IN! Hong Kong Prepares to Approve as SEC Opposes Staking in ...
cryptopanic.com
Decline of Indian Rupee
studyiq.com
Inflows into India's Equity Mutual Funds UPSC Current Affairs
iasgyan.in
Passive funds: Passive funds outrun active peers in chase for inflows ...
economictimes.indiatimes.com
Sustained rise in the number of SIP accounts - Mutual fund SIP inflows ...
economictimes.indiatimes.com
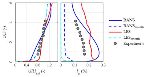
Effects of Inflow Condition on RANS and LES Predictions of the Flow ...
mdpi.com
NFOs, new investors driving inflows into index funds - The Economic Times
economictimes.indiatimes.com
2,364 BTC Stash Stuns World's Largest Crypto Exchange: Details By U.Today
in.investing.com
Effects of Inflow Condition on RANS and LES Predictions of the Flow ...
mdpi.com
India To Receive Record $100 Billion As Remittance Inflows From ...
indiatimes.com
Blogs on Money Transfer | Remit Guru
remitguru.com
India To Receive Record $100 Billion As Remittance Inflows From ...
indiatimes.com
Foreign Direct Investment (FDI) India: Foreign direct investment ...
government.economictimes.indiatimes.com
China Might Trigger Next Major Bitcoin (BTC) Bull Rally, Here’s Why
cryptopanic.com
Effects of Inflow Condition on RANS and LES Predictions of the Flow ...
mdpi.com
Effects of Inflow Condition on RANS and LES Predictions of the Flow ...
mdpi.com
Effects of Inflow Condition on RANS and LES Predictions of the Flow ...
mdpi.com
Effects of Inflow Condition on RANS and LES Predictions of the Flow ...
mdpi.com
Lower your return expectations from debt funds | Articles | Morningstar ...
morningstar.in
Effects of Inflow Condition on RANS and LES Predictions of the Flow ...
mdpi.com
Indian Rupee Stable, Forward Premiums Decline Ahead
businessoutreach.in
FDI INFLOWS
iasgyan.in
Ethereum ETF Incoming? Odds of ETH ETFs Skyrocket 75%
cryptopanic.com
Effects of Inflow Condition on RANS and LES Predictions of the Flow ...
mdpi.com
Stay Invested During Downturns for Bigger GainsInsights
fundsindia.com
Should You Invest in Silver in 2025? | FinEdge
finedge.in
Effects of Inflow Condition on RANS and LES Predictions of the Flow ...
mdpi.com
Bitcoin price to reach $5 million? Michael Saylor says it will soon ...
msn.com
PIB
pib.gov.in
BTC Skyrocketing Rally? Bitcoin Reserves on Exchanges Shrink To New Lows
cryptopanic.com
Equity Fund inflows jump 32% in February 2022 | Articles | Morningstar ...
morningstar.in
India To Receive Record $100 Billion As Remittance Inflows From ...
indiatimes.com
FDI IN INDIA | IAS GYAN
iasgyan.in
Kotak AMC launches REIT Funds of Funds scheme
currentaffairs.adda247.com
Donald Trump announces 26% 'discounted' reciprocal tariff on India ...
msn.com
Effects of Inflow Condition on RANS and LES Predictions of the Flow ...
mdpi.com
Bharat Bond ETF is here; What is a bond ETF? - The Economic Times
economictimes.indiatimes.com
Rewriting India’s growth story – the New Investment Destination
investindia.gov.in
Effects of Inflow Condition on RANS and LES Predictions of the Flow ...
mdpi.com
Govt Cash Balances Set To Rise Amid Tax Inflows: Report - BW Businessworld
businessworld.in
Gold and Silver Prices Today, 17th October: Check metals price here
newsd.in
Royalty And Fees for Technical Services
taxguru.in
Silver hits new record high at Rs 1.05L/kg
msn.com
cbic exchange rate today usd: Latest News & Videos, Photos about cbic ...
economictimes.indiatimes.com
FPIs: These 3 charts hold cues on what awaits D-Street in 2019 - The ...
economictimes.indiatimes.com
India Did Get Highest-ever FDI Inflow, But Record Rise in Outflow ...
factchecker.in
Equity Fund inflows jump 32% in February 2022 | Articles | Morningstar ...
morningstar.in
School of Stocks - The Majors
fyers.in
India’s bleeding telecom sector is also the hottest destination for ...
scroll.in
FDI inflow plays a vital role to shape the Indian economy
projectguru.in
Impact of reforms | India Before 1991
indiabefore91.in
Morningstar: Rise in mutual fund inflows through SIPs is a good sign ...
economictimes.indiatimes.com
Why mutual fund inflows are down even as the markets surge
livemint.com
RBI repo rate cut seen adding fuel to rupee rally as 2-year high reached
livemint.com
Publications - Reserve Bank of India
rbi.org.in
Binance's books are a black box, filings show, as it tries to rally ...
livemint.com
Nifty-50 Index Stock Companies List 2021 - Profiletraders.in
profiletraders.in
A LiDAR-Based Active Yaw Control Strategy for Optimal Wake Steering in ...
mdpi.com
What is Digital Gold Investment Plan and How to Invest in Digital Gold?
kreditbee.in
शेयर बाजार भारी उतार-चढ़ाव के बाद बंद, निफ्टी सिर्फ 3 अंक टूटा लेकिन ...
indiatv.in
The Rise of Active ETFs: Ist aktives Management im ETF-Format die ...
etf-blog.com
FDI: FDI inflows up 28 percent in Q1 to $16.3 bn
economictimes.indiatimes.com
India's forex reserves up by over $8 bn - IBTimes India
ibtimes.co.in
WHAUP Reports Q1/2025 Normalized Net Profit of 228 Million Baht and ...
wha-up.com
Finshots | Archive
finshots.in
BSE Sensex, NSE Nifty end at new all-time highs on investor ...
scroll.in
FDI Equity Inflows into India - Photos,Images,Gallery - 43132
ibtimes.co.in
World Bank migration report says India is once again the globe’s top ...
scroll.in
Economic Survey 2018-19: FDI equity inflows into service sector now US ...
timesnownews.com
Mutual fund industry clocks 3% rise in AUM in October on higher inflows ...
ibtimes.co.in
Impact of gross domestic product on inflow of foreign direct investment ...
projectguru.in
Michael Saylor Shares Evidence His Bitcoin (BTC) Strategy Is Good Play
cryptopanic.com
Services Contributed Over 50% to GDP
studycafe.in
A Symbol Of Love, Care, Passion: Mother Teresa Was The Humanitarian The ...
economictimes.indiatimes.com
Btc All Semester Internship Mulyankan Prapatr
lessonplanformat.in
Funds behind Indian Browsers
taxguru.in
Bharat Forge surges ahead of Q2 results; Class 8 truck order inflow at ...
ibtimes.co.in
The Rise of Active ETFs: Ist aktives Management im ETF-Format die ...
etf-blog.com
Gold ETFs gain as equities reel under global sell-off; gold prices hit ...
ibtimes.co.in
Markets News: Latest Markets exclusive stories on ETPrime
economictimes.indiatimes.com
Finshots | Archive
finshots.in
Top reasons to Invest in Bitcoin- The Week
theweek.in
Respiratory cases on the rise in hosps
dnaindia.com
US credit card interest rates surge to record-breaking highs of 23.4% ...
cryptopanic.com
மேட்டூர் அணைக்கு நீர்வரத்து 4,521 கன அடியாக அதிகரிப்பு: நீர்மட்டம் 41. ...
hindutamil.in
Bitcoin Gold (BTG) — Answr
answr.pro
Mapping Maha, Odisha floods through satellite images of Mahanadi ...
newsmeter.in
Precious Investment: Jewellers Gold Saving Scheme
preciousinvestment.blogspot.com
Related Searches
Btc Price In Inr
Btc Etf Inflows
1 Btc To Inr Chart
Btc Etf Inflow Chart
Btc To Inr
1 Btc To Inr
Btc Etf Flows Chart
Bitcoin To Inr
Btc Stock To Flow
Search
×
Search
Loading...
No suggestions found